Degradation Characteristics of Microstructure and Mechanical Properties on the Cross-Section of a Massive Casting Made of G17Mn5 Steel
Abstract
1. Introduction
2. Materials and Methods
3. Experimental Results
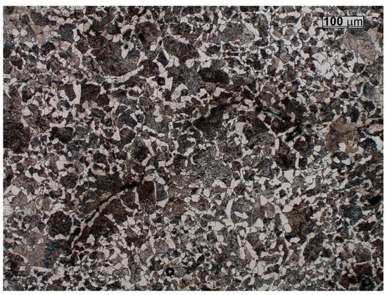
3.1. Changes in Microstructure Due to Operation
3.2. Hardness
3.3. Impact Energy
3.4. Tensile Strength
4. Conclusions
- -
- Segregation of carbon and sulphur occurred across the wall cross-section between the outer and inner areas and the wall centre, where the highest C and S contents were measured. This segregation led to changes in the microstructure. Pearlite dominated in the centre of the wall, while ferrite with pearlite lakes prevailed in the outer and inner layers. Numerous MnS inclusions, mainly type II with dendritic morphology, were also observed. Only on the inner side of the ladle wall, at the surface after previous grinding, was the presence of a network of cracks reaching deep into the wall observed. These cracks resulted from the ladle’s operation under the cyclical thermal loading and mechanical stresses induced by liquid slag.
- -
- In the central part of the wall (plate 4), the hardness of the tested cast steel reached approximately 140 HBW10, whereas in the remaining plates (numbered 1,2,3,5,6,7—Figure 1) the average hardness ranged from 125 to 130 HBW10.
- -
- The average values of the impact energy in plates 1–3 at the temperature of +20 °C exceeded 40 J, whereas in plates 5–7, it was approx. 30 J. The lowest values were obtained at the centre of the wall (plate 4), coinciding with the region of maximum hardness. A similar trend in impact energy across the wall cross-section was obtained at 0 °C; however, the values did not exceed 20 J for plates 2–7, while plate 1 reached 22 J. The low impact energy values at the test temperature of −10 °C are worth noting. The values of the impact energy at both 0 °C and −10 °C is below the minimum required value of 27 J in the Charpy test.
- -
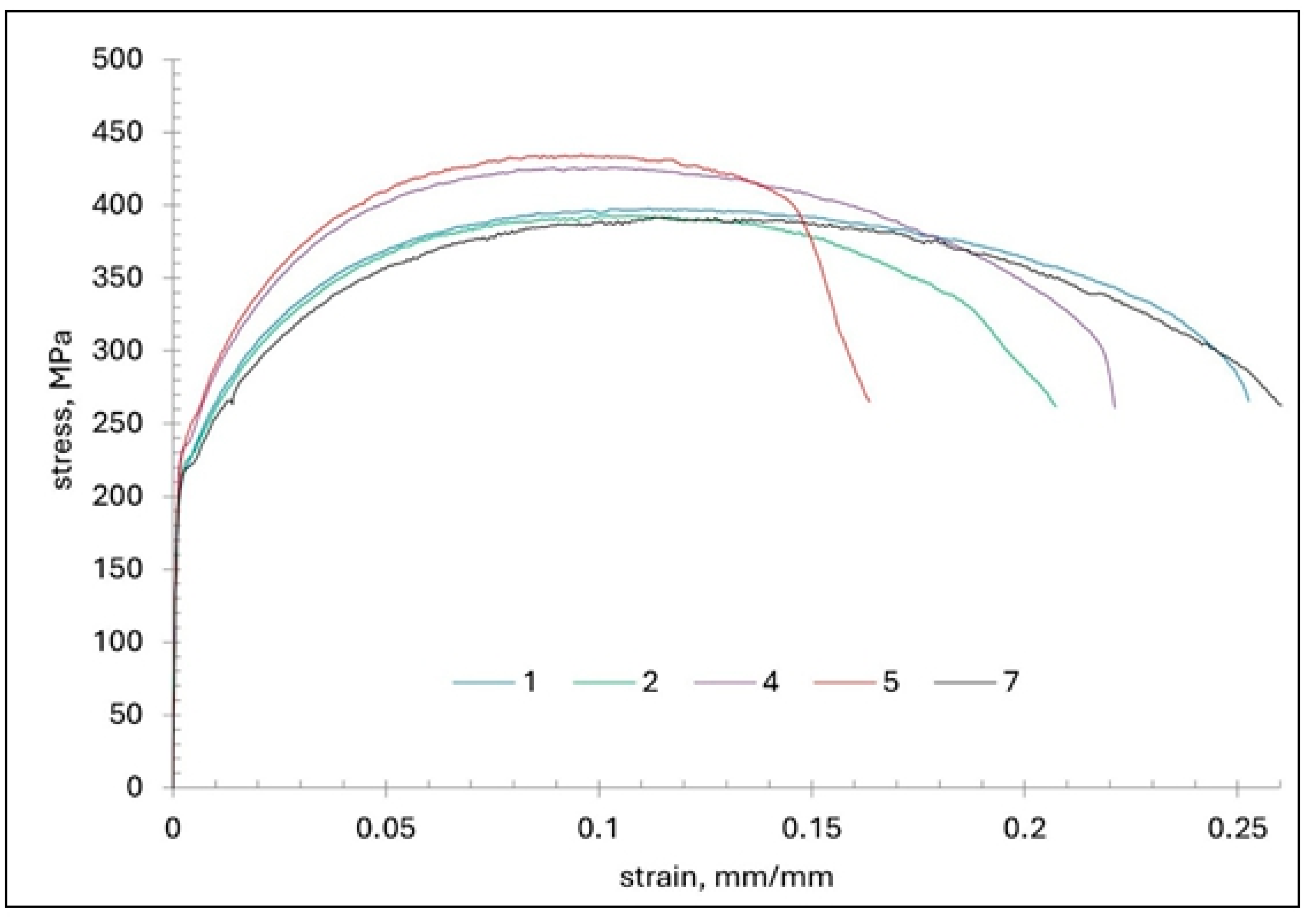
- Changes in yield strength (YS) and ultimate tensile strength (UTS) across the ladle wall cross-section were found to correlate with changes in microstructure.
- -
- The segregation of carbon and sulphur in the ladle wall cross-section was observed to have a significant effect on the strength characteristics, demonstrated, among others factors, by a markedly grater scatter of strength parameters in the wall centre (plate 4) compared with the outer plates (numbers 1 and 2) and inner plate (number 7). These variations may be attributed to the irregular distribution of non-metallic inclusions and the occurrence of microcracks.
- -
- A high scatter in the elongation (EL) values of the tested material was observed in the inner region of the ladle wall cross-section (plates 5 and 7), which may be due to the presence of microcracks in the ladle wall.
- -
- In the production of massive cast steel castings, the melting technology, particularly the refining and modification of molten steel, is a key factor influencing the final properties, primarily by enhancing purity.
Author Contributions
Funding
Informed Consent Statement
Data Availability Statement
Acknowledgments
Conflicts of Interest
References
- PN-EN 10293; Steel Castings. Steel Casting for General Engineering Uses. European Committee for Standardization: Brussels, Belgium, 2015.
- ASTM A27/A27M; Specification for Steel Casting Carbon for General Application. ASTM: West Conshohocken, PA, USA, 2020.
- PN-EN 1563; Founding—Spheroidal Graphite Cast Irons. European Committee for Standardization: Brussels, Belgium, 2011.
- Sobczak, J. (Ed.) Cast steel. In Foundryman’s Guide—Modern Foundry Engineering; Publ. STOP: Kraków, Poland, 2013; pp. 306–421. [Google Scholar]
- Paszkiewicz, M.; Guzik, E.; Kopyciński, D.; Kalandyk, B.; Burbelko, A.; Gurgul, D.; Sobula, S.; Ziółko, A.; Piotrowski, K.; Bednarczyk, P. Innovation technology for the production of massive slag ladles at the Krakodlew S.A. foundry. Arch. Foundry Eng. 2020, 20, 67–71. [Google Scholar] [CrossRef]
- Guzik, E.; Kopyciński, D.; Kalandyk, B.; Burbelko, A.; Gurgul, D.; Sobula, S.; Piotrowski, K.; Paul, W.; Bednarczyk, P.; Paszkiewicz, M. Development of an innovative technology for the production of massive slag ladles with increased operation parameters (SLAG LADLE TECH) at the Krakodlew S.A. Foundry. In Proceedings of the 2 MCC: 2nd International Conference of Metals, Ceramics and Composites, Varna, Bulgaria, 25–27 September 2019; p. 117, ISBN 978-83-904306-5-2. [Google Scholar]
- Głownia, J. Fundamentals of Melting Processes. Metallurgy and Technology of Steel Castings; Sharjah Bentham Books: Sharjah, United Arab Emirates, 2017; pp. 12–35. [Google Scholar] [CrossRef]
- Sims, C.E. The nonmetallic constituents of steel. Trans. AIME 1959, 215, 367. [Google Scholar]
- Lyu, N.; Zhao, Y.; Xu, S.; Li, T.; Li, J.; Hao, J. Characteristics of Genetic Evolution of MnS Inclusions in Special. ISIJ Int. 2025, 65, 619–629. [Google Scholar] [CrossRef]
- Vitale, E.; Beghini, M. Thermal shock fracture experiments on large size plates of A533-B steel. Int. J. Press. Vessel. Pip. 1991, 46, 289–388. [Google Scholar] [CrossRef]
- Rojacz, H.; Neacşu, I.A.; Widder, L.; Varga, M.; Heiss, J. Thermal effects on wear and material degradation of slag pots operating in steel production. Wear 2016, 350–351, 35–45. [Google Scholar] [CrossRef]
- Głownia, J. Carbon Cast Steel. Alloy Steel Casting—Application; FotoBit: Krakow, Poland, 2002; pp. 16–27+35–47. [Google Scholar]
- PN-EN ISO 14556; Metallic Materials–Charpy Notch Pendulum Impact Test. Instrumented Test Method. Part 1: Test Method (ISO 148-1:2010). ISO: Geneva, Switzerland, 2023.
- PN-EN ISO 6506-1; Metallic Materials–Brinell Hardness Test–Part 1. Test Method. ISO: Geneva, Switzerland, 2014.
- Trepczyńska-Łent, M.; Boroński, D.; Maćkowiak, P. Mechanical properties and microstructure of directionally solidified Fe-4.25%C eutectic alloy. Mater. Sci. Eng. A 2021, 822, 141644. [Google Scholar] [CrossRef]
- Blicharski, M. Steal Material Ingennering; WNT: Warszawa, Poland, 2010; pp. 41–49. [Google Scholar]
- Lu, J.; Cheng, G.; Chen, L.; Xiong, G.; Wang, L. Distribution and morphology of MnS inclusions in resulfurized non-quenched and tempered steel with Zr addition. ISIJ Int. 2018, 58, 1307–1315. [Google Scholar] [CrossRef]
- Zhan, T.-Y.; Tian, J.; Li, X.-L.; Su, L.-J.; Hou, D.; Qu, T.-P.; Wang, D.-Y. Effects of Mg-Ca treatment and Ca treatment on impact toughness and morphology of sulfides in 45MnVS non-quenched and temperaed steel. J. Iron Steel Res. Int. 2024, 31, 2755–2773. [Google Scholar] [CrossRef]
- Yoichi, I.; Noriyuki, M.; Kaichi, M. Formation of MnS type inclusion in steel. Tetsu-to-Hagane 1980, 66, 647–656. [Google Scholar] [CrossRef] [PubMed]
- Ito, Y.; Masumitsu, N.; Matsubara, K. Formation of manganese sulfide in steel. Trans. Iron Steel Inst. Jpn. 1981, 21, 477–484. [Google Scholar] [CrossRef]
- Yu, Q.; Yang, X.; Lai, C.; Tong, Z. Study on MnS inclusion aggregation along continuous casting slab thickness of medium carbon structural steel. Metals 2022, 12, 56. [Google Scholar] [CrossRef]
- Zdonek, B.; Szypuła, I.; Kozłowski, J.; Szczęch, S. Secondary steel refining for continuous sequence bloom casting for high oxide cleanness final products. Arch. Metall. Mater. 2012, 57, 347–353. [Google Scholar] [CrossRef]
- Bartocha, D.; Suchoń, J.; Baron, C.; Szajnar, J. Influence of low-alloy cast steel modification on primary structure refinement, type and shape of non-metallic inclusions. Arch. Metall. Mater. 2015, 60, 77–83. [Google Scholar] [CrossRef]
- Kasińska, J. Morphology of Non-Metallic Inclusions. The Role of Non-Metallic Inclusions in the Fracture Process of GP240GH and G17CrMo5-5 Steel Modified with Mischmetal. Ph.D. Thesis, AGH University of Krakow, Kraków, Poland, 2011. [Google Scholar]
- Szajnar, J.; Studnicki, A.; Głownia, J.; Kondracki, M.; Suchoń, J.; Wróbel, T. Technological aspect of low alloyed cast steel massive casting manufacturing. Arch. Foundry Eng. 2013, 4, 97–102. [Google Scholar] [CrossRef]
- Hang, H.; Fengkang, W.; Wanlin, W.; Jie, Z. Precipitation Characteristic of sulfide in medium-carbon Sslfur-containing steel. Steel Res. Int. 2023, 94, 2300133. [Google Scholar] [CrossRef]
- Zhou, Q.; Yang, W.; Ren, Y.; Zhang, L. On the microstructure and MnS precipitation in a high sulfur steel based on directional solidification: The effect of cooling rate. Met. Mat. Trans. B 2024, 55, 337–351. [Google Scholar] [CrossRef]
- Lu, J.; Cheng, G.; Che, J.; Wang, L.; Xiong, G. Effect of oxides on characteristics of MnS and transverse mechanical properties in commercial Al-killed non—Quenched and tempered steel. Met. Mater. Int. 2019, 25, 473–486. [Google Scholar] [CrossRef]
- Masana, I. Consideration on distribution and size of dendritic type II MnS inclusions in steel dendrite structure. ISIJ Int. 1994, 34, 992–996. [Google Scholar] [CrossRef]


















| Cast steel G17Mn5 (1.1131), [1] | C | Si | Mn | P | S | Cr | Al | Other |
| Content wt. % | ||||||||
| 0.15 0.20 | max. 0.60 | 1.00 1.60 | max. 0.020 | max. 0.020 | <0.3 | <0.3% Cu <0.4% Ni | ||
| Melt | 0.19 | 0.45 | 1.07 | 0.016 | 0.008 | 0.13 | 0.014 | 0.06% Cu 0.08% Ni |
| Plate No. | Vol Fraction, % | <1 µm | 1–10 µm | 10–100 µm | >100 µm |
|---|---|---|---|---|---|
| 1 | 0.26 | 873 | 689 | 276 | 28 |
| 2 | 0.20 | 227 | 125 | 231 | 32 |
| 3 | 0.22 | 888 | 519 | 288 | 22 |
| 4 | 0.30 | 392 | 224 | 243 | 44 |
| 5 | 0.60 | 156 | 132 | 308 | 118 |
| 6 | 0.20 | 352 | 179 | 212 | 25 |
| 7 | 0.20 | 138 | 199 | 184 | 20 |
| Parameter | Number of Plate on the Casting Wall Cross-Section | ||||
|---|---|---|---|---|---|
| 1 | 2 | 4 | 5 | 7 | |
| UTS, MPa | 397 ± 2 | 397 ± 2.5 | 434 ± 30.5 | 427 ± 20 | 391 ± 15 |
| YS, MPa | 222 ± 0 | 222 ± 3 | 232 ± 7 | 238 ± 8.5 | 224 ± 6 |
| E, MPa | 202,572 ± 767.5 | 206,357 ± 889.5 | 204,891 ± 1271 | 204,965 ± 3022.5 | 203,785 ± 2790.5 |
| EL, % | 27 ± 1.5 | 24 ± 1 | 25 ± 1 | 20 ± 5.5 | 23 ± 6.5 |
Disclaimer/Publisher’s Note: The statements, opinions and data contained in all publications are solely those of the individual author(s) and contributor(s) and not of MDPI and/or the editor(s). MDPI and/or the editor(s) disclaim responsibility for any injury to people or property resulting from any ideas, methods, instructions or products referred to in the content. |
© 2025 by the authors. Licensee MDPI, Basel, Switzerland. This article is an open access article distributed under the terms and conditions of the Creative Commons Attribution (CC BY) license (https://creativecommons.org/licenses/by/4.0/).
Share and Cite
Kalandyk, B.E.; Boroński, D.; Maćkowiak, P.; Trepczyńska-Łent, M.; Kasińska, J.; Sobula, S. Degradation Characteristics of Microstructure and Mechanical Properties on the Cross-Section of a Massive Casting Made of G17Mn5 Steel. Materials 2025, 18, 3877. https://doi.org/10.3390/ma18163877
Kalandyk BE, Boroński D, Maćkowiak P, Trepczyńska-Łent M, Kasińska J, Sobula S. Degradation Characteristics of Microstructure and Mechanical Properties on the Cross-Section of a Massive Casting Made of G17Mn5 Steel. Materials. 2025; 18(16):3877. https://doi.org/10.3390/ma18163877
Chicago/Turabian StyleKalandyk, Barbara Elżbieta, Dariusz Boroński, Paweł Maćkowiak, Małgorzata Trepczyńska-Łent, Justyna Kasińska, and Sebastian Sobula. 2025. "Degradation Characteristics of Microstructure and Mechanical Properties on the Cross-Section of a Massive Casting Made of G17Mn5 Steel" Materials 18, no. 16: 3877. https://doi.org/10.3390/ma18163877
APA StyleKalandyk, B. E., Boroński, D., Maćkowiak, P., Trepczyńska-Łent, M., Kasińska, J., & Sobula, S. (2025). Degradation Characteristics of Microstructure and Mechanical Properties on the Cross-Section of a Massive Casting Made of G17Mn5 Steel. Materials, 18(16), 3877. https://doi.org/10.3390/ma18163877

