Abstract
Accurate determination of sulfate content in phosphogypsum (PG) and cement-based materials is crucial for understanding the corrosion mechanisms of cement-based materials, developing corrosion models, establishing durability design methods, and implementing maintenance strategies. To overcome the limitations of traditional gravimetric and EDTA titration methods in accurately quantifying low-concentration SO42− in PG and cement-based materials, an IoT-enabled conductometric titration system was developed to improve precision and automation. First, the principle of conductivity titration is introduced, in which Ba(NO3)2 is used as the titrant. Second, a method for eliminating the effects of H+, Cl−, and Ca2+ ions is proposed. The impact of the titration rate, volume of liquid to be measured, titrant concentration, and other interfering ions on the results is discussed. Finally, the conductivity titration method was successfully applied to determine sulfate content in PG and cement-based materials. The results demonstrate that the self-developed conductivity titrator exhibits high testing accuracy, with a standard deviation of 0.013 for 15 repeated titrations, a coefficient of variation of 0.52%, and a recovery rate between 103.2% and 103.9%. The optimal solution volume to be determined was 5 mL. Ba(NO3)2, at approximately twice the sulfate concentration, enhances endpoint sensitivity and minimizes precipitation interference. Ag2O and CO2 significantly reduce the interference from H+, Cl−, and Ca2+ ions by generating weakly conductive substances, such as H2O, AgCl, Ag3PO4, CaF2, and CaCO3. Conductometric titration demonstrated accurate SO42− quantification in PG and cement-based materials, enabling standardized protocols. This approach provides both theoretical and technical support for rapid sulfate detection in complex systems, with significant implications for both industry and academia. For the industry, it offers a reliable and standardized method for sulfate detection, enhancing quality control and process efficiency. For academia, it establishes a foundation for further research in civil engineering and environmental material analysis, contributing to both practical applications and theoretical advancements.
1. Introduction
Phosphogypsum (PG) is a prevalent industrial by-product generated during the wet-process production of phosphoric acid. Its main component is calcium sulfate dihydrate (CaSO4⋅2H2O), accompanied by trace amounts of undecomposed phosphate rock, free phosphoric acid, fluoride, and heavy metal impurities [1]. As global demand for phosphate fertilizers increases, the continuous accumulation of PG stockpiles occupies land resources. It poses a potential threat to the ecological environment due to its soluble sulfate and acidic substances. With the rising global demand for phosphate fertilizers, the accumulation of PG stockpiles is becoming increasingly problematic, occupying land resources and posing environmental risks due to its soluble sulfates and acidic constituents.
In recent years, the utilization of PG as a secondary resource has garnered growing attention, particularly in the production of cement retarders, gypsum-based building products [2,3], and road-based materials [4]. Accurate determination of sulfate ions in PG and PG-based cementitious systems is essential, as sulfate content directly influences hydration kinetics, mechanical properties, and long-term durability [5]. Sulfate attacks remain a significant cause of durability degradation in concrete structures [6]. They involve complex chemical interactions between external sulfate ions and the hydration products of cement [7,8]. Therefore, a rapid and reliable method for quantifying sulfate content is crucial, not only for assessing material durability but also for developing predictive corrosion models and improving structural design against sulfate exposure [9].
In the construction and civil engineering industries, traditional methods for determining sulphate ions, such as the gravimetric method [10,11] and EDTA titration [12], are widely used in cement-based material testing. However, these techniques have significant limitations. The gravimetric method yields large errors at low sulphate concentrations. It is operationally complex, while the EDTA titration method, which uses chromothion blue T as an indicator, is prone to interference from Ca2+ and Mg2+ ions in the solution, making the endpoint color change difficult to identify, resulting in significant errors [13,14]. In summary, due to the distinct characteristics of SO42− content testing in PG and cement-based materials, traditional methods are difficult to adapt, and it is imperative to seek new testing methods with high accuracy, good adaptability, and fast speed.
As an ionic testing method, conductivity titration is applied in various fields due to its high efficiency and convenience [15,16,17,18], but its use in civil engineering remains limited. The study aims to address this gap by investigating the application of conductometric titration for the rapid and accurate measurement of SO42− in PG and cement-based materials. This study introduces the principle of conductometric titration for the analysis of PG and cement-based materials. It presents a detailed description of a custom-designed conductometric titration system developed for this purpose. The stability and analytical accuracy of the system are systematically evaluated. In addition, effective strategies are proposed to eliminate interference from H+, Cl−, and Ca2+ ions during the titration process. Optimal titration parameters are established, and the method is successfully applied to determine sulfate content in PG and cement-based materials. The findings are expected to provide valuable technical support for quality control and performance optimization in sulfate-bearing cementitious materials, as well as reliable data for durability assessment and design in sulfate-rich environments. Furthermore, this work may serve as a valuable reference for the broader application of conductometric titration techniques in complex material systems.
2. Conductivity Titration Theory
The principle of conductivity titration, a fundamental concept in analytical chemistry, is based on the fact that each ion in an electrolyte solution contributes to its overall conductivity [19,20,21]. When electrolyte solutions are mixed, reactions such as precipitation, redox, or neutralization may occur, altering ion concentrations and thus affecting the conductivity of the system. In conductivity titration, the gradual addition of a titrant changes the ionic composition of the solution. The endpoint of titration is the point at which the slope of the change in conductivity with titration volume undergoes a sudden change [22].
Conductometric titration is an electrochemical technique in which the endpoint is determined by monitoring the abrupt change in the conductivity of the reaction mixture. For precipitation reactions, such as the titration of SO42− with Ba2+, the conductivity curve typically follows six distinct stages, as illustrated in Figure 1: (1) Undersaturation stage: The added Ba2+ and existing SO42− remain below the solubility product; both exist as free ions, leading to an increase in conductivity. (2) Crystallization nucleation stage: The ion product exceeds the solubility limit, initiating BaSO4 precipitation. The rate of conductivity increase slows due to the removal of free ions. (3) Crystal growth stage: Ba2+ and SO42− react completely, resulting in a net decrease in conductivity as ionic species are consumed. (4) Quasi-end of reaction stage: Residual SO42− reacts with additional Ba2+, further decreasing conductivity, but at a slower rate. (5) End of reaction stage: Excess Ba2+ remains unreacted in ionic form, causing the conductivity to increase again. (6) Infinite titration stage: Continued addition of Ba(NO3)2 causes the conductivity to approach that of the pure titrant gradually.
Figure 1.
Typical curve of solution conductivity with the volume of titrant.
Conductivity titration offers a precise and reliable method for determining the ion concentration in a solution. This process involves monitoring the dynamic change in conductivity of a mixed solution during the titration. The sudden change in conductivity is then identified to determine the endpoint of the titration. This information accurately determines the concentration of specific ions in the solution.
In typical SO42− titrations, BaCl2 is often used as the titrant. However, in the presence of Ag+, Cl− can form AgCl precipitates, interfering with endpoint detection. To avoid such complications, Ba(NO3)2 was used in this study. Its reaction with SO42− forms BaSO4, producing a clear and distinct conductivity change that facilitates accurate endpoint identification.
3. Materials and Methods
3.1. Conductivity Titrators
In the early stages of electrochemical titration research, numerous conductivity titrators and associated methodologies were developed by investigators [23,24]. However, these systems exhibit limited accuracy and reproducibility, primarily attributed to the insufficient sensitivity of electrochemical sensors, the low resolution of signal acquisition systems, and inherent methodological deficiencies in endpoint determination protocols. Such technical constraints substantially hinder the reliability of experimental outcomes in precise quantitative analyses. For this reason, new conductivity titrators and titration systems have been designed and developed. The titration system is shown in Figure 2, which mainly consists of a goouuu-ESP32 MCU, conductivity electrode DJS, EC drive module, 42 stepper motor, DS18B20, A4899 stepper motor drive module, magnetic stirrer, and 6-roller peristaltic pump.
Figure 2.
Composition of the self-designed conductive titrator [25]. (a) DS18B20; (b) DJS−1C; (c) Gravity EC meter; (d) Goouuu−ESP32; (e) A4899; (f) Stepping motor.
3.1.1. Goouuu-ESP32 MCU
The Goouuu-ESP32 MCU (Ismart Electronic Co., Ltd., Shenzhen, China) is a powerful microcontroller module based on the ESP32 chip from Lexin for various IoT and embedded applications, as shown in Figure 2d. In the conductivity titrator, analog pins are used to precisely control the output of the conductivity driver module and collect the voltage signal fed back from the module in real time to calculate the conductivity of the solution. The digital pin is used to connect the temperature sensor and obtain the solution temperature data. Through the linkage of the A4899 stepper motor driver module (Yong Fukang Technology Co., Ltd., Shenzhen, China), the 42 stepper motors are precisely driven to complete the control of the liquid volume, thereby realizing the automation of the titration process.
3.1.2. Conductivity Sensor
The conductivity sensor used is the DJS series conductivity electrode produced by the Leici firm, with a driver of the Gravity EC meter, as shown in Figure 2b,c. The measurement range of the commonly used conductivity electrode of DJS-0.1C is about 0–0.2 mS/cm, the measurement range of DJS-1C is about 0–20 mS/cm, and the measurement range of DJS-10C is about 2–200 mS/cm. To ensure accurate conductivity measurements, electrodes with appropriate cell constants should be selected based on the concentration range of the solution.
3.1.3. A 42-Step Motor
A 42-step motor with six rollers driven by the A4899 module performs automatic titration during conductivity titrations, as shown in Figure 2e,f. The rotating rollers cyclically compress a flexible tube filled with liquid to control the volume of the titration solution and its flow rate.
3.1.4. Temperature Sensor
Since the titration process is sensitive to temperature, and fluctuations in temperature can significantly affect conductivity measurements, a DS18B20 temperature sensor (Shenzhen RBD Sensor Technology Co., Ltd., Shenzhen, China) was integrated into the system, as shown in Figure 2a, to monitor the solution temperature in real time. If the solution reaches the target temperature, the titration proceeds. Otherwise, a temperature correction is applied using a programmed calibration equation on the computer to ensure consistency in test conditions. The correction equation is presented in Equation (1).
3.1.5. CO2 Generator
A CO2 generator is employed to eliminate interfering ions such as H+, Cl−, and Ca2+ prior to conductivity titration. The configuration of the low-pressure CO2 generator is illustrated in Figure 3. It primarily comprises a pressure relief valve, pressure gauge, bubbler, control valve, outlet tube, sodium bicarbonate bottle, acid bottle, and waste container. The generator operates based on a pressure balance mechanism: the pressure differential between the acid reservoir and the sodium bicarbonate reaction chamber drives a self-regulating cycle of acid inflow and CO2 generation. The reaction between C6H8O7 and NaHCO3 that produces CO2 is shown in Equation (2).
Figure 3.
Carbon dioxide generator.
3.1.6. Other Tools
The composition of the conductive titration system is shown in Figure 4. Other tools include magnetic stirrers, an electronic balance with a range of 200 g and a sensitivity of 0.0001 g, volumetric flasks of 100 mL and 1000 mL, a triangular flask with a volume of 50 mL, brown glass bottles with volumes of 1000 mL and 100 mL, a transparent glass bottle with a volume of 1000 mL, measuring cylinders with ranges of 50 mL and 100 mL, a centrifuge tube with a volume of 20 mL, a plastic bottle with a volume of 50 mL, equipped with an asbestos mesh electric furnace, quantitative filter paper, dropper, pH test paper, beaker, etc.
Figure 4.
Composition of the conductive titration system. (a) front view; (b) rear view.
3.2. Software for Conductivity Titration
The titration system software comprises the operating system and control program. The operating system is based on the Arduino IDE2.3.2 (Arduino SA, Monza, Italy), which was developed in the C language. The Goouuu-ESP32 MCU is responsible for collecting conductivity and temperature data, controlling the stepper motor for titration, and transmitting data to the computer through the serial port. The control program was developed using MATLAB (R2022b) GUI and communicated with the ESP32 serial port through a dedicated support package to achieve the data acquisition and titration control shown in Figure 5. During operation, the device was connected, and the test could be started after inputting the powder mass, dissolved liquid volume, Ba(NO3)2 concentration, the liquid volume to be measured, the name of the sample, and the serial number of the computer, and the test data were automatically saved in the specified disk in the ‘Ion_test’ file.
Figure 5.
GUI interface of the titration system.
3.3. Preparation of Solutions
A total of 13.07 g of Ba(NO3)2 was weighed and dissolved in deionized water to a final volume of 1 L, obtaining a 0.05 mol/L solution. A titrant of 0.02, 0.05, or 0.1 mol/L was selected according to the concentration of sulfate. A total of 110 mL of concentrated hydrochloric acid was diluted to 1 L, making a 1.3 mol/L HCl solution. A total of 0.1 g of phenolphthalein was dissolved in ethanol and concentrated to 100 mL to prepare a phenolphthalein solution. A total of 1.42 g of Na2SO4 was dissolved in deionized water and concentrated to 1 L, resulting in a 0.01 mol/L solution. All solutions were mixed thoroughly and stored correctly.
3.4. Conductivity Titration Procedure
3.4.1. Conditions for Conductivity Titration
During sulfate ion titration, the room temperature was maintained at 20 °C to 25 °C, and the humidity was controlled at 50 ± 10%. The temperatures of the standard and test solutions were kept within the range of 20 °C to 25 °C [26].
3.4.2. Conductivity Electrode Calibration
To ensure the electrodes were in proper working condition, the conductive electrodes were calibrated according to the following steps: (1) The titrator was started, and the inlet of the buret was immersed in water. The “clean/fill” button on the GUI was clicked, and the water was allowed to flow out of the needle. The inlet was then emptied of water, and the peristaltic pump was kept running until the water in the tube was drained out, repeating the procedure three times. (2) A total of 5 mL of standard conductivity solution was taken in a 10 mL measuring cylinder and placed in a centrifuge tube. The standard conductivity solution used was a 0.01 mol/L KCl solution, with a conductivity of approximately 12.88 mS/cm at 25 °C. (3) The ethanol-cleaned electrode was suspended vertically in the solution, ensuring it was completely submerged and that the temperature sensor was synchronized with the current water temperature. (4) The “Start” button on the GUI was clicked to begin the test. The average of 100 data points was taken, and the ratio of the average to the standard deviation was calculated as the correction factor. (5) The correction factor was updated in the titration program to the current measured value. (6) The electrode was replaced or recalibrated after 72 h of accumulated use.
3.4.3. Titration Volume Correction
To account for errors caused by environmental changes, usage scenarios, and other factors, a volumetric calibration of the instrument was performed before each test to ensure it was in optimal working condition. The titration volume correction involved the following steps: (1) Step (1) from Section 3.4.2 was followed, and the burette was then filled with the titrant. (2) A total of 5 mL of 0.01 mol/L Na2SO4 standard solution was measured into the centrifugal tube. (3) A magnetic stirrer was placed into the centrifugal tube, and the tube was positioned at the center of the stirrer. (4) Step (3) from Section 3.4.2 was followed, and the burette was placed into the centrifuge tube below the page. (5) The magnetic stirrer was started to ensure that the magnetic rotor did not touch the collision process during stirring. (6) The “Start” button was clicked, and the conductivity titration curve was observed. When noticeable changes in the conductivity titration curve were observed, and the curve showed a linear change trend, titration continued with 0.1–0.2 mL of titrant. (7) The “Send” button was clicked to end the test according to Step (5) from Section 3.4.2.
The titration volume was obtained from the point where the extension of the linearly varying segment at the late stage of the titration was tangent to the titration curve. The result was retained to three decimal places. The ratio of the theoretically expected volume of 1 mL to the titration volume of Ba(NO3)2 measured by the test was used as the titration volume correction factor. The correction factor was updated in the titration procedure to the current measured value.
3.4.4. Calculation of Sulfate Ion Test Results
The sulfate ion content was calculated according to the following Equation (3):
where is the sulphate ion content (%), retained to 3 decimal places, is the concentration of barium nitrate standard solution (mol/L), is the amount of barium nitrate standard solution (mL), is the amount of acid used to dissolve powder (mL), is the volume of solution to be measured (mL), and is the mass of dissolved powder (g).
4. Results and Discussion
4.1. Precision and Stability of Conductivity Titration
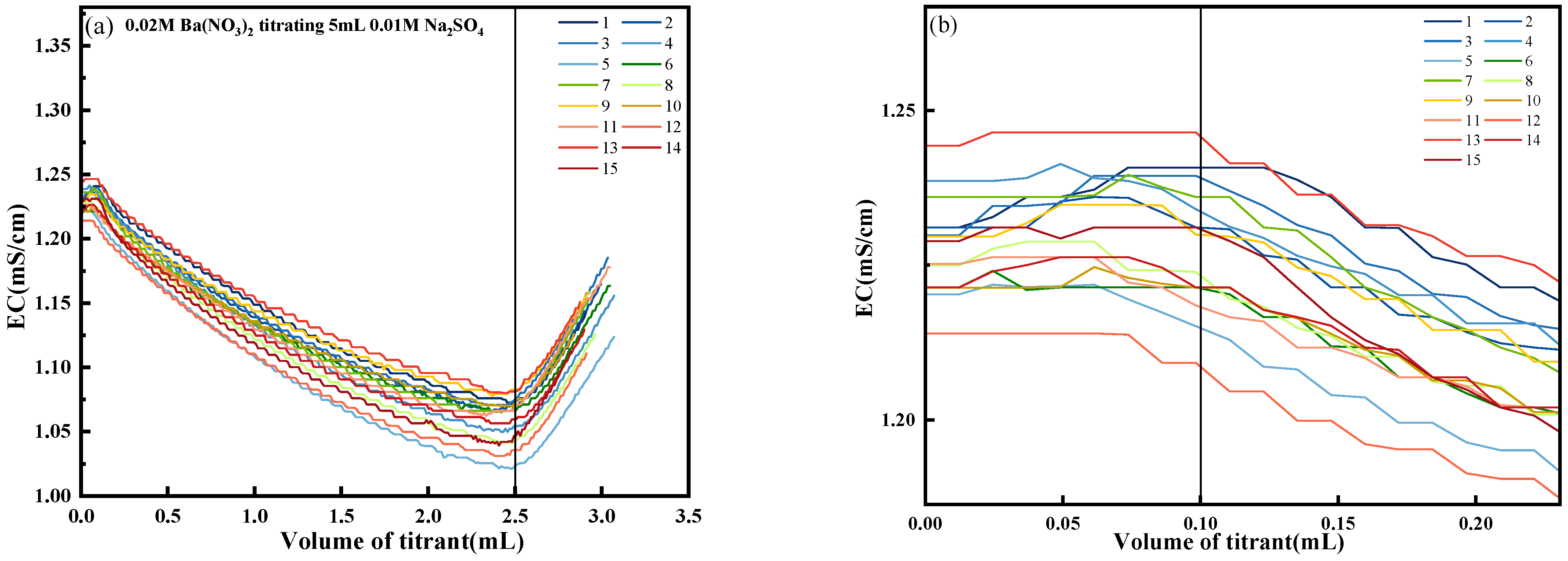
To further investigate the accuracy and stability of the conductivity titration method, it was validated via a recovery experiment and 15 sets of repeatability tests. In the repeatability tests, a 0.02 mol/L Ba(NO3)2 solution was used to titrate 5 mL of a 0.01 mol/L Na2SO4 solution, and the results of 15 repeated titrations are shown in Figure 6. Across 15 titration curves, the changes in this region exhibited a consistent magnitude.
Figure 6.
Change in solution conductivity with the drop volume of barium nitrate. (a) 15 series of titration curves; (b) Enlarged view of the starting point.
As illustrated in Figure 6b, the initial conductivity of the solution ranged from 1.214 to 1.244 mS/cm. During the titration process, the dividing point between the undersaturation and nucleation stages on the titration curve was indistinct. However, when approximately 0.1 mL of titrant was added, the transition from the nucleation to the crystal growth stage became evident.
As shown in Figure 7, the comparison between the actual and theoretical values from 15 titration trials reveals a high degree of consistency, indicating strong data stability. The average titration volume of Ba(NO3)2 was 2.498 mL, with a standard deviation of 0.013 mL, a coefficient of variation of 0.52%, and an average relative error of 0.32%. Compared with the 1.13% relative error reported by Garcia’s conductometric titration method [27] and the significantly higher 6.4% error reported by Anechiţei [28], the self-developed conductivity titration system exhibits significantly higher titration accuracy.
Figure 7.
The results of 15 repeated titration experiments.
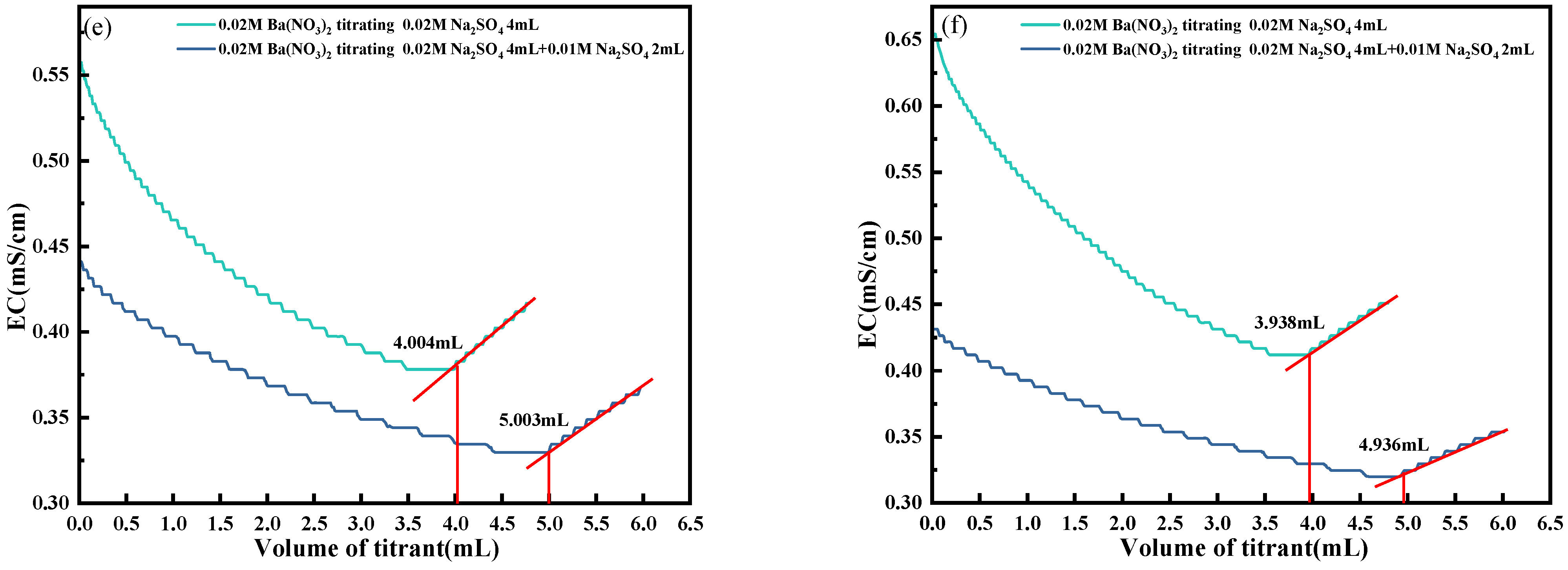
A 0.02 mol/L Ba(NO3)2 solution was used as the titrant in the recovery experiment. Two experimental groups, A and B, were designed. Group A titrated unspiked samples consisting of 4 mL of 0.01 mol/L Na2SO4, while Group B titrated spiked samples consisting of 4 mL of 0.02 mol/L Na2SO4. For the spiking process, 2 mL of 0.02 mol/L Na2SO4 was added to Group A, and 2 mL of 0.01 mol/L Na2SO4 was added to Group B. The experimental results are shown in Figure 8. The recovery was calculated using Equation (4):
where C1 is the concentration of titrant (mol/L), C2 is the concentration of the solution used for labeling (mol/L), V1 is the volume of the solution used for calibration (L), V2 is the volume of titrant consumed for the spiked solution (L), V3 is the volume of titrant consumed for the unspiked solution (L).

Figure 8.
Recovery experiment. (a) The first experiment of Group A; (b) The second experiment of Group A; (c) The third experiment of Group A; (d) The first experiment of Group B; (e) The second experiment of Group B; (f) The third experiment of Group B.
The recovery experiment results presented in Table 1 show a close agreement between the theoretical and measured values. In Group A, the theoretical titration volumes were 2 mL for the unspiked sample, which contained 4 mL of 0.01 mol/L Na2SO4, and 4 mL for the spiked sample, which was prepared by adding 2 mL of 0.02 mol/L Na2SO4 to the unspiked sample. The measured volume increment was 2.079 mL, corresponding to a recovery rate of 103.9%. In Group B, the theoretical volumes were 4 mL for the unspiked sample, composed of 4 mL of 0.02 mol/L Na2SO4, and 5 mL for the spiked sample, obtained by adding 2 mL of 0.01 mol/L Na2SO4. The measured increment was 1.032 mL, yielding a recovery of 103.2%. Both values fall within the acceptable range of 95–105% and are close to the ideal 100% recovery, confirming the high accuracy of the self-developed conductivity titration system in recovery testing.
Table 1.
Experimental data for recycling rate.
4.2. Effect of the Solution Volume to Be Measured
Selecting an appropriate volume of the sample solution prior to titration is essential for achieving accurate titration results. To investigate this, a series of experiments was conducted using Ba(NO3)2 solutions at concentrations of 0.01 mol/L, 0.02 mol/L, 0.05 mol/L, and 0.1 mol/L to titrate 0.01 mol/L Na2SO4 solutions, with sample volumes set at 5 mL, 7.5 mL, and 10 mL.
As illustrated in Figure 9, when titrating solutions of varying volumes, smaller sample volumes exhibited a lower slope in the initial conductivity–titrant volume curve and a steeper slope near the endpoint, facilitating a more precise identification of the titration endpoint. For a given volume of titrant, higher concentrations of Ba(NO3)2 consumed more SO42− ions, accelerating the reaction. As the sample volume increased, the conductivity response transitioned from an initially linear behavior to a more complex, nonlinear pattern. When the sample volume exceeded a certain threshold, the effect of the titrant on the overall conductivity of the system became more pronounced, complicating endpoint determination.
Figure 9.
Change in conductivity with the volume of titrant under different titrant concentrations and different titration volumes. (a) 0.01 M Ba(NO3)2 titrating 0.01 M Na2SO4; (b) 0.02 M Ba(NO3)2 titrating 0.01 M Na2SO4; (c) 0.05 M Ba(NO3)2 titrating 0.01 M Na2SO4; (d) 0.1 M Ba(NO3)2 titrating 0.01 M Na2SO4.
As shown in Figure 9a, the titration of 5 mL, 7.5 mL, and 10 mL of 0.01 mol/L Na2SO4 solution using 0.01 mol/L Ba(NO3)2 exhibited a consistent and interpretable conductivity response. Upon the gradual addition of Ba(NO3)2, Ba2+ ions reacted with SO42− to form insoluble BaSO4, resulting in a reduction in the ionic concentration and, consequently, a decline in the solution’s conductivity. The titration endpoints for the 5 mL, 7.5 mL, and 10 mL Na2SO4 solutions were identified at 5.063 mL, 7.663 mL, and 9.993 mL, respectively. Beyond the endpoint, further addition of Ba2+ increased the ionic concentration, causing a subsequent rise in conductivity. Figure 9b presents the results obtained using 0.02 mol/L Ba(NO3)2 as the titrant, where the corresponding endpoints were 2.498 mL, 3.856 mL, and 5.003 mL for the same Na2SO4 solution volumes. The higher titrant concentration led to a faster reaction rate and a steeper change in conductivity near the equivalence point, making the inflection point more distinguishable. Similar trends were observed with titrant concentrations of 0.05 mol/L and 0.1 mol/L, though the titrant volumes required to reach the endpoints were significantly reduced due to the higher molar concentration of Ba2+. The accelerated reaction rate further enhanced the conductivity gradient around the endpoint, facilitating its identification.
Additionally, as the total volume of titrant added increased, the overall ion concentration in the solution became more diluted, leading to a lower minimum conductivity. In theory, a smaller volume of titrant allows for a more complete and precise reaction, provided that the endpoint remains distinguishable. However, practical constraints such as the need for the solution to fully submerge the conductivity electrode impose a lower limit on the volume of the solution. Based on the experimental data, a sample volume of 5 mL was found to be optimal, offering clear endpoint identification while minimizing reagent consumption and maximizing test accuracy.
4.3. Effect of Titrant Concentration
The concentration of Na2SO4 directly affects the accuracy of SO42− titration. To investigate this effect, Na2SO4 solutions with concentrations of 0.01 mol/L, 0.005 mol/L, and 0.001 mol/L were titrated using Ba(NO3)2 solutions at 0.02 mol/L, 0.01 mol/L, and 0.005 mol/L, respectively. In all experiments, the volume of Na2SO4 was fixed at 5 mL. Details of the experimental setup are provided in Table 2.
Table 2.
Experimental setup for titrant concentration change.
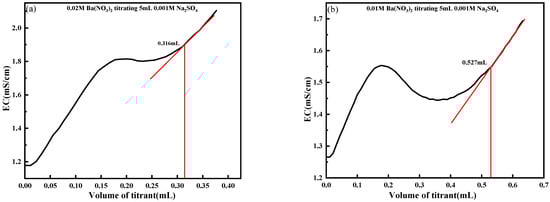
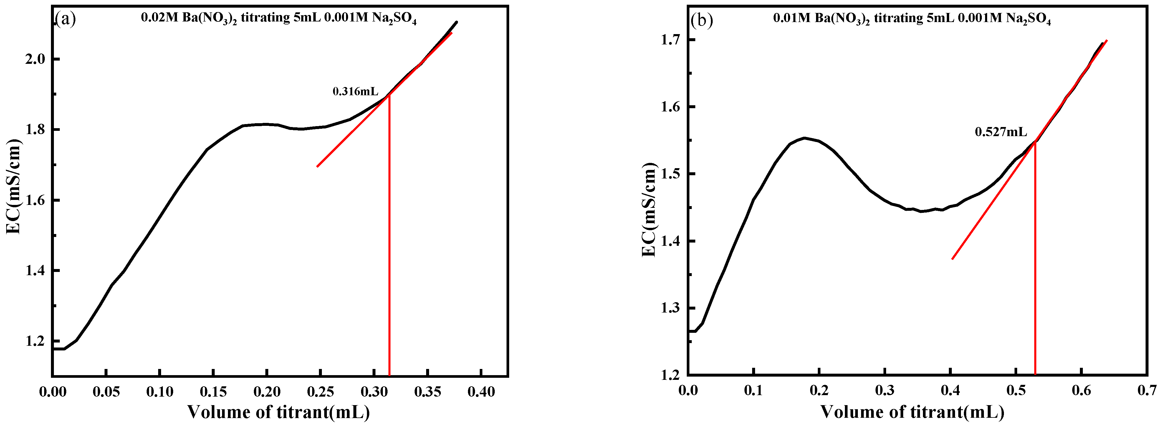
As shown in Figure 10a, when 0.001 mol/L Na2SO4 was titrated with 0.02 mol/L Ba(NO3)2, the minimum addition of titrant introduced excess Ba2+ ions into the solution, causing the reaction to proceed too rapidly and making it difficult to determine the titration endpoint accurately. The experimentally measured endpoint volume was 0.316 mL, which significantly deviated from the theoretical value of 0.25 mL. Strong nonlinearity was observed in Figure 10a–d, particularly in Figure 10d, where the titrant concentration was high. This phenomenon was primarily attributed to two factors: delayed nucleation of BaSO4 due to precipitation kinetics, and an asymmetric conductivity response resulting from the replacement of Na+ by Ba2+, which differ in both charge and mobility. These effects distorted the expected linear relationship between conductivity and the titrant volume, especially during the early titration phase and near the endpoint. This nonlinearity underscored the necessity of optimizing titrant concentration to ensure reliable endpoint detection.

Figure 10.
Influence of titrant concentration change on experimental accuracy. (a) 0.02 M Ba(NO3)2 titrating 0.001 M Na2SO4; (b) 0.01 M Ba(NO3)2 titrating 0.001 M Na2SO4; (c) 0.005M Ba(NO3)2 titrating 0.001M Na2SO4; (d) 0.02 M Ba(NO3)2 titrating 0.005 M Na2SO4; (e) 0.01M Ba(NO3)2 titrating 0.005 M Na2SO4; (f) 0.005 M Ba(NO3)2 titrating 0.005 M Na2SO4; (g) 0.02 M Ba(NO3)2 titrating 0.01 M Na2SO4; (h) 0.01 M Ba(NO3)2 titrating 0.01 M Na2SO4; (i) 0.005 M Ba(NO3)2 titrating 0.01 M Na2SO4.
In Figure 10g, during the titration of 0.01 mol/L Na2SO4 with 0.02 mol/L Ba(NO3)2, the minimum titration volume contains a moderate quantity of barium ions. Thus, a notable change in conductivity occurs at the titration endpoint, facilitating the determination of the endpoint. The experimentally measured value is 2.494 mL, which approximates the theoretical value of 2.5 mL. As illustrated in Figure 10h, when 0.01 mol/L Ba(NO3)2 is used to titrate 0.01 mol/L Na2SO4, the conductivity curve exhibits relatively gentle fluctuations. The BaSO4 precipitate generated progressively during the titration interferes with the conductivity measurement, and the variation in conductivity at the endpoint is relatively slight. Determining the titration endpoint via the slope method proves challenging under these circumstances. In Figure 10i, when the concentration of Ba(NO3)2 is lower than that of Na2SO4, the titration process extends over an excessively long duration. The continuous precipitation of BaSO4 accumulates and may encapsulate reaction ions, creating unfavorable conditions for the determination of the titration endpoint.
In summary, to obtain more accurate titration results, Ba(NO3)2 with a concentration approximately twice that of the unknown Na2SO4 solution is recommended as the titrant. This selection ensures a significant change in conductivity at the titration endpoint while avoiding interference in measurement caused by excessive precipitate formation.
4.4. Effect of H+ on Conductivity
The determination of total sulfate concentration in PG and cement-based materials requires leaching sulfate from corrosion products using high concentrations of HCl or HNO3. The leaching solution contains a high level of H+, whose molar conductivity is significantly higher than that of other ions, thereby causing substantial interference in the conductivity titration process. However, accurate sulfate titration demands lower solution conductivity without reducing the sulfate concentration itself. Thus, investigating the impact of H+ on the conductivity of Na2SO4 solutions is essential.
Given the inherently low sulfate concentrations in sulfate-eroded concrete, this study utilizes 0.01 mol/L and 0.02 mol/L Na2SO4 solutions to evaluate the influence of H+ on solution conductivity. Two experimental groups were designed: Group A involved titrating 5 mL of 0.01 mol/L Na2SO4 with 0.02 mol/L Ba(NO3)2, and Group B involved titrating 5 mL of 0.02 mol/L Na2SO4 with 0.05 mol/L Ba(NO3)2. For both groups, two types of HCl additions were tested: the first type was 0.005 mol/L HCl, with an initial addition of 0.5 mL and subsequent increments of 0.5 mL, resulting in five additions (0.5 mL, 1.0 mL, 1.5 mL, 2.0 mL, and 2.5 mL) to reach a final volume of 2.5 mL; the second type was a single addition of 1 mL of 1 mol/L HCl. Each group was subjected to these six HCl addition protocols.
Figure 11 demonstrates the effect of H+ on solution conductivity, and Table 3 presents the influence of H+ content in the solution on titration performance. For Group A, as illustrated in Figure 11a–f, H+ exerted a significant effect on the conductivity titration of SO42−. When the volume of added HCl exceeded 1 mL, the accuracy of titration endpoint determination was impaired. Specifically, H+ reduced the proportion of SO42− contribution to solution conductivity, thereby weakening the conductivity decrease induced by the substitution of Cl− for SO42− during titration. As shown in Figure 11f, the addition of 1 mL of 1 mol/L HCl caused severe disruption to the titration endpoint, making endpoint judgment impossible.

Figure 11.
Effect of H+ on the conductivity titration of SO42−. (a) With 0.5 mL 0.05 M HCl added; (b) With 1 mL 0.05 M HCl added; (c) With 1.5 mL 0.05 M HCl added; (d) With 2 mL 0.05 M HCl added; (e) With 2.5 mL 0.05 M HCl added; (f) With 1 mL 1 M HCl added; (g) With 0.5 mL 0.05 M HCl added; (h) With 1 mL 0.05 M HCl added; (i) With 1.5 mL 0.05 M HCl added; (j) With 2 mL 0.05 M HCl added; (k) With 2.5 mL 0.05 M HCl added; (l) With 1 mL 1 M HCl added.
Table 3.
Effect results of H+ on the conductivity titration of SO42−.
For Group B, as illustrated in Figure 11g–i, 0.02 mol/L Na2SO4 solutions were titrated with 0.05 mol/L Ba(NO3)2, with H+ concentrations adjusted via additions of HCl at varying volumes and concentrations. Experimental results confirm that H+ exerts a significant influence on the conductometric titration of SO42−. When the volume of added HCl exceeds 1 mL, the titration endpoint determination becomes markedly erroneous. During titration, H+ interference complicates the conductivity trend of the solution, impeding accurate data acquisition. In environments with lower H+ concentrations, the impact of H+ on experimental data is approximately 10%. However, when H+ concentrations reach a critical threshold, such as upon addition of 1 mL of 1 mol/L HCl, the conductivity curve exhibits significant distortion. This severe distortion substantially impairs titration endpoint determination, rendering the endpoint indistinguishable.
4.5. Elimination of H+, Cl− and Ca2+
In the chemical analysis of cement-based materials, accurately determining the SO42− content is essential for assessing material performance and durability. The influx of large amounts of SO42− ions into concrete induces a series of expansion reactions, with the following main reactions occurring:
The expansion products, such as CaSO4 and CaO, generated by the above reaction, will create stress concentrations in the micropore structure, eventually leading to the deterioration and cracking of concrete. To detect SO42− in concrete, traditional methods often utilize nitric acid or HCl to dissolve the powder; however, Cl− is more easily removed by precipitation than NO3−. Therefore, we selected 1 mol/L HCl to extract SO42− in this study. A series of reactions accompany the extraction process:
In the above reaction, some of the H+ in HCl reacts with CaCO3, C-S-H, and Ca(OH)2 to form Ca2+, but excess H+ remains in the solution after this reaction. Effective removal of interfering ions from the solution is necessary to enhance the contribution of SO42− to the solution’s conductivity and better assess the titration endpoint.
The combination of Ag2O and continuous CO2 passage can effectively decrease the concentrations of H+, Cl−, and Ca2+ in the solution, thereby reducing the interference of these ions on the SO42− contribution to conductivity. Firstly, upon adding Ag2O to the solution, some H+ reacts with Ag2O to generate water molecules, decreasing conductivity. This reaction causes the conductivity to trend downward. Simultaneously, the Cl− in the solution reacts with Ag+ released from dissolving Ag2O to produce water-insoluble AgCl precipitate, effectively removing Cl−. With the addition of Ag2O, the following reactions occur:
When the H+ in the solution is completely consumed, the solution gradually changes from acidic to neutral. At this point, Ag2O undergoes a hydrolysis reaction in aqueous solution. The Ag+ produced by hydrolysis continues to combine with Cl− in solution to produce an AgCl precipitate.
The hydrolysis of Ag2O changes the nature of the solution from neutral to basic. Since a large amount of Ca2+ is still present in the solution, a large amount of CaCO3 precipitate is produced when CO2 is passed into the solution under test.
Upon injection of CO2, the solution will change from basic to neutral. Ag+ and OH− can be generated again by adding additional Ag2O or by shaking the Ag2O-containing solution so that it continues to hydrolyze. In this case, Ag+ and Cl− will continue to react to produce an AgCl precipitate. After the above step-by-step treatment, the concentrations of H+, Cl−, and Ca2+ in the solution under test are significantly reduced. The supernatant can then be taken for neutralization and conductivity titration of SO42−.
As a sparingly soluble solid, Ag2O tends to have AgCl precipitates adhering to its surface, which inhibits further hydrolysis. Ultrasonic cleaning is therefore recommended to remove surface-bound AgCl, enabling sustained reaction or hydrolysis of Ag2O.
To investigate the effect of the content of H+, Cl−, and Ca2+ in the solution on the conductivity of the solution and to verify the effectiveness of the synergistic method in removing the interfering ions, three sets of experiments were set up by preparing 5 mL of Na2SO4 at a concentration of 0.01 mol/L as the baseline solution and preparing HCl at a concentration of 0.1 mol/L and CaCl2 at a concentration of 0.015 mol/L as the experimental solution. A CO2 generator generated CO2 and was continuously fed during the reaction.
The concentration of Na2SO4 was controlled to remain constant during the experiment, and a specific volume and concentration of CaCl2 and HCl were added, and the amount of Ag2O varied. The results of the experiment are shown in Figure 12. As can be seen from Figure 12b, when the amount of Ag2O was 1 g, the titration endpoint of the solution was easy to judge, and the actual values obtained from the titration were 2.586, 2.501, and 2.482 mL, respectively, close to the theoretical value of 2.5 mL. It demonstrates that an appropriate amount of Ag2O can effectively remove Cl− and H+ from the solution, reducing their interference with solution conductivity. This enhancement in SO42− contribution to solution conductivity improves the accuracy of titration endpoint determination. Figure 12c shows that when the Ag2O amount was 1.5 g, the actual titration values were 2.562, 2.453, and 2.513 mL, respectively, still close to the theoretical 2.5 mL. However, excess Ag2O addition caused the curve change to become non-smooth, complicating endpoint determination. This phenomenon may arise because excess Ag2O, after reacting with H+ to form Ag⁺ ions, further reacts with water to hydrolyze, generating additional Ag⁺ and OH−. The increased OH− concentration raises the solution pH, and under weakly alkaline conditions, SO42− reacts with Ag+ to form soluble complexes, thereby altering solution conductivity.
Figure 12.
Results of titration under elimination of H+, Cl−, and Ca2+ from solution to be tested. (a) No Ag2O added; (b) With 1g Ag2O added; (c) With 1.5g Ag2O added.
The precipitates obtained from the titration of the composite solution after pretreatment were analyzed using XRD and SEM to verify the rationality of the synergistic method for removing H+, Ca2+, and Cl− from the solution. SEM tests were performed using a 3D FEG SEM from the FEI company, equipped with an EDAX Genesis energy spectrometer, and with NanoSEM450 from the AMETEK company. The accelerating voltage of the electron gun was 15 kV. The target material was platinum.
As can be seen from Figure 13, the precipitates obtained by titration after treatment of solutions containing H+, Ca2+, and Cl− are by the theory, and only AgCl and CaCO3 precipitates were produced in the test solutions containing H+, Ca2+, and Cl−. The precipitate SEM after pretreatment by adding Ag2O and CO2 to remove H+, Ca2+, and Cl− is shown in Figure 14. Fine AgCl particles were present in the precipitates, and Ag2O in the precipitates was difficult to observe due to the covering of AgCl. In addition, CaCO3 in the cubic style was present between the precipitates, and no other precipitates were generated, except for AgCl and CaCO3.
Figure 13.
XRD of precipitation after treatment to eliminate H+, Ca2+, and Cl−.
Figure 14.
SEMs of precipitation after pretreatment to eliminate H+ and Cl− by adding Ag2O and CO2. (a) SEM Image of Ag2O Precipitate; (b) SEM Image of CaCO3 and AgCl Precipitates.
4.6. Determination of SO42− Concentration in PG and Cement-Based Materials by Conductivity Titration
Directly detecting SO42− concentration in cement-based materials using embedded sensors is not feasible. Instead, sulfate must be extracted from the hardened cementitious materials before it can be detected. The process of determining SO42− content in cementitious materials via conductivity titration involves several key steps: powder extraction, dissolution, filtration, and titration.
Experimentally prepared mortar specimen blocks with dimensions of 100 mm × 100 mm × 100 mm, a water–cement ratio of 0.5, a sand–cement ratio of 3, a 7 d compressive strength of 32.47 MPa, and a 28 d compressive strength of 37.66 MPa were tested by immersing the prepared mortar specimen blocks in a 5% Na2SO4 solution for 9 months.
The cement-based materials subjected to sulfate leaching were graded and ground using a powder extractor at grinding depths of 0–2 mm, 2–4 mm, 4–6 mm, 6–8 mm, 8–10 mm, and 10–12 mm, The ground powder with a particle size of less than 0.075 mm was obtained through sieving. For each depth, 3 g of the powder was immersed in 30 mL of 1 mol/L HCl for 24 h. A vibrating sieve was used to accelerate the dissolution of SO42− in the material. The leachate was deionized through slow filter paper, and 5 mL of the filtrate was titrated to detect sulfate. The Ba(NO3)2 concentration used in the titration was 0.05 mol/L, and 1.5 g of Ag2O was added. The titration procedure is shown in Figure 15.
Figure 15.
Titration procedure.
The conductivity titration curves of SO42− in a 0–12 mm thickness mortar subjected to a sulfate attack and its titration endpoint are shown in Figure 16. The sulfate content in the cementitious materials at different grinding depths is different; the conductivity of the solution decreases with the increase in the depth of corrosion, and the volume of barium nitrate consumed in the titration with the increase in the grinding solubility is 1.212, 0.620, 0.451, 0.312, 0.364, and 0.424 mL, respectively. The sulfate content of the samples measured was 1.16%, 0.60%, 0.43%, 0.30%, 0.35%, and 0.41%. The sulfate content of the samples decreases with the increasing grinding depth, with a 64% decrease from 10 to 12 mm depth of grinding compared to 0 to 2 mm depth of grinding.
Figure 16.
Determination of sulfate content in cement-based materials at different depths by conductometric titration. (a) 0–2 mm; (b) 2–4 mm; (c) 4–6 mm; (d) 6–8 mm; (e) 8–10 mm; (f) 10–12 mm.
Many harmful impurities, including soluble phosphorus, eutectic phosphorus, soluble fluorine, and organic matter, complicate the direct utilization of PG. However, PG holds significant potential for development as an engineering material. It has been used as a raw material in various applications, including high-performance concrete [29], gypsum board manufacturing [30], retardant production, and lime manufacturing [31]. To evaluate the practicality of the self-developed conductivity titrator and assess the feasibility of reusing PG, the sulfate ion content in six different PG-based gelling materials was determined. The main steps involved in the determination included five stages: powder extraction, dissolution, filtration, and titration, as illustrated in Figure 17.
Figure 17.
Main steps of titration of PG-based cementitious materials.
Firstly, the PG-based cementitious material was graded and ground using a powder extractor, and the ground powder with a particle size of less than 0.075 mm was obtained through a sieve; m1 g of the powder was immersed in V1 mL of dilute HCl for 24 h, and a vibrating sieve was used at the same time to accelerate the solubilization of SO42− in the material; the leaching solution was filtered through a slow filter paper, and V2 mL of the filtrate was taken for titration for the detection of sulfate. The concentration of Ba(NO3)2 used for the titration was . When the titration reached the endpoint, the volume of Ba(NO3)2 consumed was recorded as X mL.
In this experimental study, the grinding thickness of PG-based cementitious material was 2 mm, the mass of powder used for leaching was 2 g, the weighing accuracy was 0.0001 g, the volume was 20 mL, the volume of titration solution was 5 mL, and the concentration of Ba(NO3)2 was 0.05 mol/L. The titration results are shown in Figure 18, where the volume of Ba(NO3)2 solution consumed for titration, measured by conductometric titration, was different for different samples in this experiment. For the test samples, M stands for hydrophobically modified, UPG for as-received phosphogypsum, WPG for washed phosphogypsum, and CPG for calcined phosphogypsum. The volumes of titrant consumed for each sample, according to Figure 18a–f, were 2.233, 0.758, 1.469, 2.769, 3.908, and 2.196 mL.

Figure 18.
Titration of different types of PG-based cementitious materials. (a) MUPG; (b) MWPG; (c) MCPG; (d) UPG; (e) WPG; (f) CPG.
5. Conclusions
This study proposed a self-developed high-precision conductometric titration system, systematically evaluated, and ultimately used for the quantitative determination of SO42− in cement-based and PG-based materials. This system facilitates the sustainable utilization of industrial by-products such as phosphogypsum and provides a promising analytical tool for assessing the durability of concrete in sulfate-containing environments. Through systematic research, the following conclusions can be obtained:
- A conductivity titration system based on the Goouuu-ESP32 microcontroller was developed for the quantitative detection of sulfate ions. Experimental validation yielded an average Ba(NO3)2 titration volume of 2.498 mL, with a standard deviation of 0.013 mL, a coefficient of variation of 0.52%, an average relative error of 0.32%, and recovery rates ranging from 103.2% to 103.9%, indicating excellent accuracy and reproducibility of the system.
- The influence of key titration parameters, including the solution volume and titrant concentration, was comprehensively analyzed. The results suggest that a test solution volume of 5 mL and a Ba(NO3)2 concentration approximately twice that of the SO42− content yielded optimal endpoint clarity. These optimized conditions enhance conductivity responses and mitigate endpoint ambiguity caused by excess or insufficient titrant addition.
- To address the interference of high-conductivity ions such as H+, Cl−, and Ca2+, a synergistic elimination method involving Ag2O and CO2 was developed. This approach effectively reduced ionic interference by promoting the formation of weakly conductive precipitates, including AgCl and CaCO3, thereby restoring the dominant contribution of SO42− to solution conductivity and ensuring accurate endpoint detection.
- The leaching–filtering–treatment of the filtration–titration process accurately detected SO42− in the sulfate determination of cement-based and PG-based materials, which verified the applicability of the method for industrial solid waste resource utilization and concrete durability assessment.
Author Contributions
Conceptualization, D.W.; Software, J.R. and Z.L.; Validation, Y.S.; Resources, J.R. and X.L.; Data curation, J.Z. (Jieming Zhang), J.Z. (Jingting Zhou) and Y.S.; Writing—original draft, J.Z. (Jieming Zhang); Writing—review & editing, D.W.; Visualization, J.Z. (Jingting Zhou); Supervision, X.L. and Z.L.; Project administration, X.L.; Funding acquisition, D.W. All authors have read and agreed to the published version of the manuscript.
Funding
This work was financially supported by Natural Science Foundation of China (52408299, 52308237), Open Foundation of Yunnan Key Laboratory of Building Structure and New Materials(2024-JKKF-02), the National Key R&D Program (2023YFB3711401), Supported by the open research fund of Jiangsu Key Laboratory of Construction Materials, Southeast University (202501), National Natural Science Foundation of China (52168038), Yunnan Fundamental Research Projects (202301AT070192).
Institutional Review Board Statement
Not applicable.
Informed Consent Statement
Not applicable.
Data Availability Statement
The original contributions presented in this study are included in the article. Further inquiries can be directed to the corresponding author.
Conflicts of Interest
The authors declare that they have no known competing financial interests or personal relationships that could have appeared to influence the work reported in this paper.
References
- Qu, F.; Zhang, Y.; Li, M.; Dong, W.; Li, W.; Tsang, D.C.W. Resource recycling of industrial waste phosphogypsum in cementitious materials: Pretreatment, properties, and applications. J. Environ. Manag. 2025, 376, 124291. [Google Scholar] [CrossRef]
- Ren, H.; Mao, R.; Wu, H.; Liang, X.; Zhou, J.; Zhang, Z. Preparation and properties of phosphogypsum-based calcined coal gangue composite cementitious materials. Case Stud. Constr. Mater. 2024, 21, e03963. [Google Scholar] [CrossRef]
- Deng, Q.; Bai, J.; Luo, C.; Liao, X.; He, Q.; Tan, H.; Dong, F.; Chen, W.; Jiang, J. Preparation of calcium-based cementitious material by decomposing phosphogypsum as the sole calcium source utilizing biomass synergized with iron accelerators. Process Saf. Environ. Prot. 2025, 195, 106775. [Google Scholar] [CrossRef]
- Ji, Z.R.; Chen, K.S.; Chen, J.X. Research on strength characteristics and mechanism of cement stabilized phosphogypsum materials under dry and wet cycles. Sci. Rep. 2025, 15, 20. [Google Scholar] [CrossRef]
- Tang, L.; Yu, Z.; He, Z.; Pei, S. Evaluation of the workability, mechanical strength, leaching toxicity and durability of sulfate solid waste composite cementitious materials. Sustain. Chem. Pharm. 2024, 42, 101847. [Google Scholar] [CrossRef]
- Chen, Z.; Wu, L.; Bindiganavile, V.; Yi, C. Coupled models to describe the combined diffusion-reaction behaviour of chloride and sulphate ions in cement-based systems. Constr. Build. Mater. 2020, 243, 118232. [Google Scholar] [CrossRef]
- Wang, D.; Zhang, Y.; Liu, C.; Liu, Z. A mechanistic model of the degradation of cement-based materials subjected to sulfate attack. Constr. Build. Mater. 2024, 421, 135654. [Google Scholar] [CrossRef]
- Wu, L.; Yi, C.; Feng, Q.; Huang, X.; Mao, Z. Numerical simulation of sulfate attack in cement based materials: Considering dynamic boundary calcium concentration. Case Stud. Constr. Mater. 2024, 21, e04091. [Google Scholar] [CrossRef]
- Chen, D.; Guo, W.; Chen, D.; Guo, L.; Cai, B.; Ye, T. Mechanistic modeling for coupled chloride-sulfate attack in cement-based materials. Constr. Build. Mater. 2024, 455, 139231. [Google Scholar] [CrossRef]
- Gao, R.D.; Li, Q.B.; Zhao, S.B. Concrete Deterioration Mechanisms under Combined Sulfate Attack and Flexural Loading. J. Mater. Civ. Eng. 2013, 25, 39–44. [Google Scholar] [CrossRef]
- Gao, R.D.; Li, Q.B.; Zhao, S.B.; Yang, X.M. Deterioration Mechanisms of Sulfate Attack on Concrete under Alternate Action. J. Wuhan Univ. Technol. Mater. Sci. Ed. 2010, 25, 355–359. [Google Scholar] [CrossRef]
- Zhang, F.H.; Zhang, L.; Yang, L.G.; Feng, T.G.; Chen, L.; Zhong, X.C. The Cement Content Measurement of Cement Mixing Piles with EDTA Titration Method. Ksce J. Civ. Eng. 2018, 22, 4306–4315. [Google Scholar] [CrossRef]
- Cheng, H.; Liu, T.; Zou, D.; Zhou, A. Compressive strength assessment of sulfate-attacked concrete by using sulfate ions distributions. Constr. Build. Mater. 2021, 293, 123550. [Google Scholar] [CrossRef]
- Zou, D.; Qin, S.; Liu, T.; Jivkov, A. Experimental and numerical study of the effects of solution concentration and temperature on concrete under external sulfate attack. Cem. Concr. Res. 2021, 139, 106284. [Google Scholar] [CrossRef]
- Cheewasedtham, A.W.; Kovuttikulrangsie, S. Determining Proportion of Soap Constituent in Latex Sample Involves Processing Latex Sample to Prevent Coagulation and Subsequent Conductometric Titration for Eventually Determining Proportion of Soap Constituent in the Latex Sample. MY142005-A, 16 August 2010. [Google Scholar]
- Liu, X.-M.; He, D.-Q.; Fang, K.-J. Adsorption of cationic copolymer nanoparticles onto bamboo fiber surfaces measured by conductometric titration. Chin. Chem. Lett. 2015, 26, 1174–1178. [Google Scholar] [CrossRef]
- Xu, F.; Ma, G. Determination of Sulfur Trioxide in Fly Ash by Conductometric Titration and Analysis of Influence Factors. Bull. Chin. Ceram. Soc. 2003, 22, 43. [Google Scholar]
- Azmat, R.; Saleem, A.; Ahmed, T.; Ahmed, W. A new, innovative, simple method to determine the concentration of phosphate and sulphate ions in an aqueous extract of plants using conductometric titration. Pure Appl. Chem. 2025, 97, 427–438. [Google Scholar] [CrossRef]
- Farris, S.; Mora, L.; Capretti, G.; Piergiovanni, L. Charge Density Quantification of Polyelectrolyte Polysaccharides by Conductometric Titration: An Analytical Chemistry Experiment. J. Chem. Educ. 2012, 89, 121–124. [Google Scholar] [CrossRef]
- Volmer, D.A.; Curbani, L.; Parker, T.A.; Garcia, J.; Schultz, L.D.; Borges, E.M. Determination of Titratable Acidity in Wine Using Potentiometric, Conductometric, and Photometric Methods. J. Chem. Educ. 2017, 94, 1296–1302. [Google Scholar] [CrossRef]
- Raymond, L.; Morin, F.G.; Marchessault, R.H. Degree of deacetylation of chitosan using conductometric titration and solid-state NMR. Carbohydr. Res. 1993, 246, 331–336. [Google Scholar] [CrossRef]
- Katz, D.A.; Willis, C. Two Safe Student Conductivity Apparatus. J. Chem. Educ. 1994, 71, 330. [Google Scholar] [CrossRef]
- Smith, K.C.; Edionwe, E.; Michel, B. Conductimetric Titrations: A Predict−Observe−Explain Activity for General Chemistry. J. Chem. Educ. 2010, 87, 1217–1221. [Google Scholar] [CrossRef]
- Colvin, D.W.; Propst, R.C. A recording conductometric titrator. Anal. Chem. 1960, 32, 1858–1861. [Google Scholar] [CrossRef]
- Wang, D.; Zhang, Y.; Pang, B.; Liu, C.; Liu, Z. Study on the optimal conductivity titration parameters for SO42− in cement-based materials. Measurement 2024, 237, 115277. [Google Scholar] [CrossRef]
- T/CECS 10433-2024; Determination of Sulfate Ion Content in Concrete—Conductivity Titration Method. China Engineering Construction Standardization Association: Beijing, China, 2024.
- Garcia, J.; Schultz, L.D. Determination of Sulfate by Conductometric Titration: An Undergraduate Laboratory Experiment. J. Chem. Educ. 2016, 93, 910–914. [Google Scholar] [CrossRef]
- Anechiţei, L.; Cojocaru, T.; Munteanu, G.; Bulgariu, L. Simple methods for quantitative determination of sulphate ions from aqueous media with industrial applications. Bull. Polytech. Inst. Jassy Constructions. Archit. Sect. 2019, 65, 27–37. [Google Scholar]
- Dong, E.L.; Fu, S.Y.; Wu, C.Q.; Lv, W.; Liu, X.; Zhang, L.Y.; Feng, Y.; Shui, Z.H.; Yu, R. Value-added utilization of phosphogypsum industrial by-products in producing green Ultra-High performance Concrete: Detailed reaction kinetics and microstructure evolution mechanism. Constr. Build. Mater. 2023, 389, 16. [Google Scholar] [CrossRef]
- Ren, J.; Yang, H.H.; Du, S.M.; Wang, D.F.; Shao, J.H.; Dong, Z.Q.; Xiao, M.L.; Cao, Y.B.; Mao, J.H.; Zhang, Z.H. Fabrication of bulk hydrophobic building gypsum using modified phosphogypsum additives: Preparation, performance, and mechanism. Constr. Build. Mater. 2025, 463, 16. [Google Scholar] [CrossRef]
- Degirmenci, N. Utilization of phosphogypsum as raw and calcined material in manufacturing of building products. Constr. Build. Mater. 2008, 22, 1857–1862. [Google Scholar] [CrossRef]
Disclaimer/Publisher’s Note: The statements, opinions and data contained in all publications are solely those of the individual author(s) and contributor(s) and not of MDPI and/or the editor(s). MDPI and/or the editor(s) disclaim responsibility for any injury to people or property resulting from any ideas, methods, instructions or products referred to in the content. |
© 2025 by the authors. Licensee MDPI, Basel, Switzerland. This article is an open access article distributed under the terms and conditions of the Creative Commons Attribution (CC BY) license (https://creativecommons.org/licenses/by/4.0/).