Hierarchical Microstructure–Mechanical Property Correlations in Superior Strength 5 wt% Cr Cold-Work Tool Steel Manufactured by Direct Energy Deposition
Abstract
1. Introduction
2. Materials and Methods
2.1. Materials and DED Processing Conditions
2.2. Microstructural and Solidification Behavior Analysis
2.3. Mechanical Properties
3. Results
3.1. Microstructures of DED and Wrought 5 wt% Cr Cold-Work Tool Steels
3.2. Mechanical Properties
4. Discussion
4.1. Solidification Model of DED-Built Material
4.2. Microstructural Evolution During DED Processing and Post-Heat Treatment
4.3. Effect of Hierarchical Structure and Precipitate on Tensile Property
4.4. Strengthening Mechanism
5. Conclusions
- DED-built comprised fine lath martensite, retained austenite, and polygonal ferrite, and a carbide network characterized by the distribution of Cr-rich lamellar-type carbides around the Cr-, V-, and Mo-rich block-type carbides was identified. DED-HT and Wrought-HT exhibited a martensitic matrix, and small precipitates were uniformly distributed within the matrix. The average grain sizes of DED-built, DED-HT, and Wrought-HT were 7.37 ± 6.42, 1.29 ± 0.86, and 1.19 ± 0.88 μm, respectively.
- DED-built (YS: 779.6 MPa, UTS: 1340.4 MPa, EL: 1.2%) showed a significant strength increase after heat treatment (DED-HT-YS: 1480.3 MPa, UTS: 1949.4 MPa, EL: 0.7%). In contrast, in Wrought-HT, YS, UTS, and EL were obtained as 1520.7 MPa, 2229.6 MPa, and 1.0%, respectively, exhibiting slightly better properties than those of DED-HT.
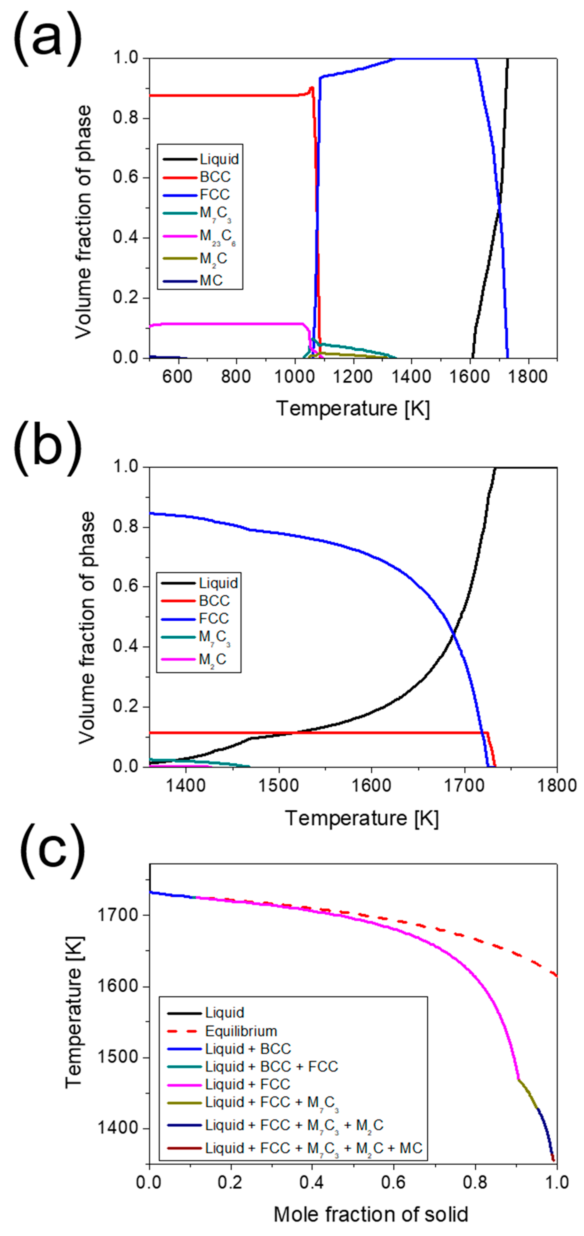
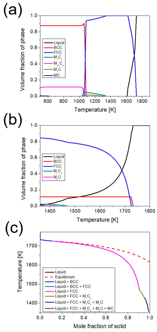
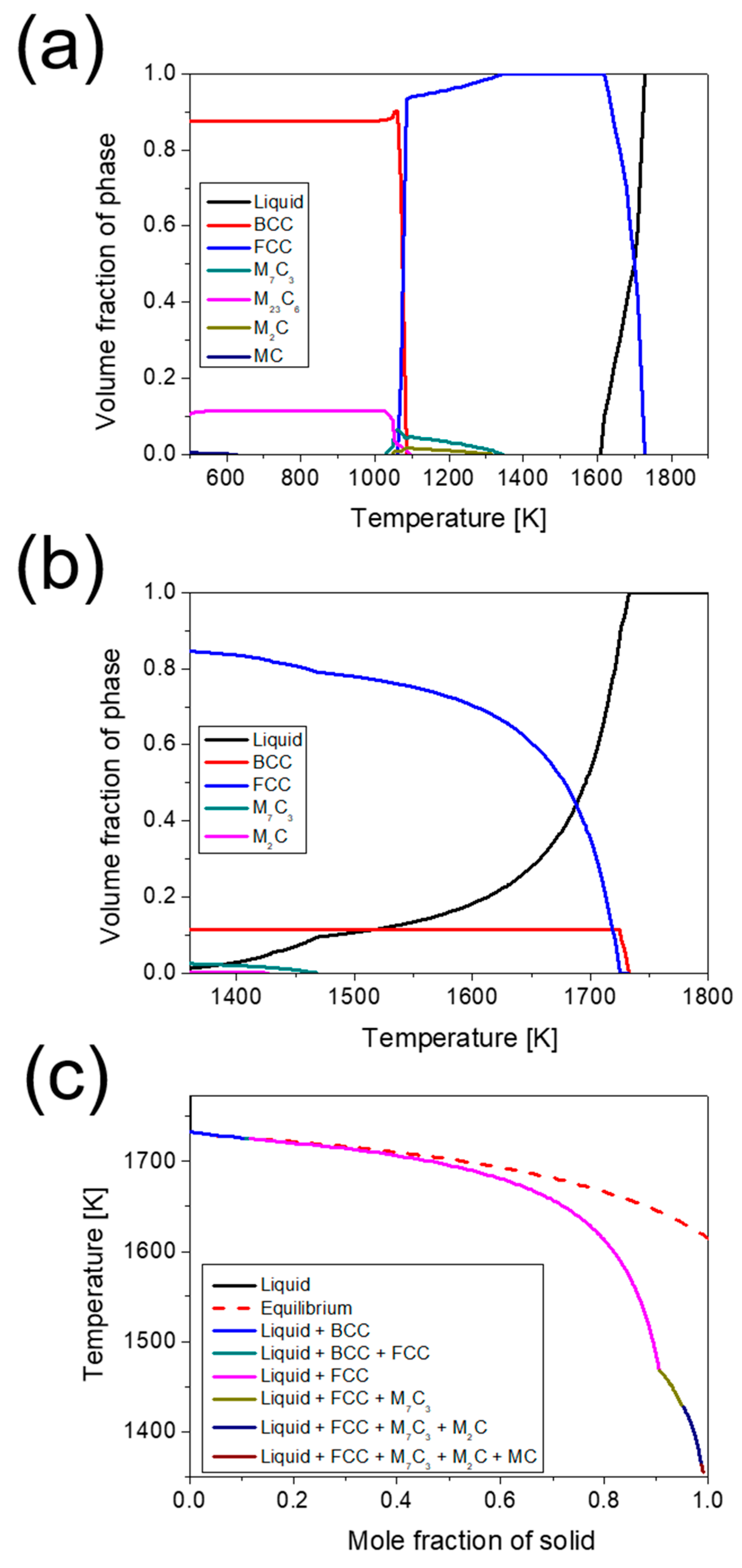
- The non-equilibrium solidification of 5 wt% Cr cold-work tool steel was predicted using the Scheil–Gulliver model. After austenite formation in the liquid-phase region, a eutectic reaction (austenite + Cr7C3) was proposed in the residual liquid-phase region. The subsequent formation of successive carbides increased the instability of austenite, and it was predicted that the eutectic austenite was transformed into ferrite by the repeated heat-treatment effect of in situ tempering during the process. It was proposed that the interior region, which is more unstable than the prior grain boundary in the prior austenite region, transformed into martensite during solidification.
- Wrought-HT exhibited relatively finer PAG, blocks, and laths, along with a more uniform distribution of Bain groups compared with DED-HT. In DED-HT, the low-angle grain boundaries between variants of the same Bain group facilitated crack propagation and brittle fracture. By contrast, Wrought-HT predominantly consisted of variants from different Bain groups, which inhibited crack propagation.
- In DED-HT, the strengthening factor due to high dislocation density was more dominant than that in Wrought-HT. Compared with DED-HT, the strengthening factor due to small grains, carbon interstitial strengthening in the martensite lath, and small carbides was higher in Wrought-HT. In the case of precipitation strengthening, the carbide size had a greater effect on the strengthening effect than the carbide fraction.
Author Contributions
Funding
Institutional Review Board Statement
Informed Consent Statement
Data Availability Statement
Conflicts of Interest
References
- Wang, C.; Chen, J.; Yu, X.; Xia, C.; Ren, F. Experimental Investigations on Wear Resistance Characteristics of Different Die Materials for Advanced High-Strength Steel Blanking in Close Section. Proc. Inst. Mech. Eng. Part B 2014, 228, 1515–1525. [Google Scholar] [CrossRef]
- Cora, Ö.N.; Koc, M. Experimental Investigations on Wear Resistance Characteristics of Alternative Die Materials for Stamping of Advanced High-Strength Steels (AHSS). Int. J. Mach. Tools Manuf. 2009, 49, 897–905. [Google Scholar] [CrossRef]
- Kirkhorn, L.; Bushlya, V.; Andersson, M.; Ståhl, J.-E. The Influence of Tool Steel Microstructure on Friction in Sheet Metal Forming. Wear 2013, 302, 1268–1278. [Google Scholar] [CrossRef]
- Kang, J.Y.; Kim, H.Y.; Son, D.M.; Lee, J.J.; Yun, H.Y.; Lee, T.H.; Park, S.K. Microstructures and Mechanical Characteristics of Advanced Cold-Work Tool Steels: Ledeburitic vs. Matrix-Type Alloy. J. Korean Soc. Heat Treat. 2015, 28, 181–189. [Google Scholar] [CrossRef][Green Version]
- Rehan, M.A.; Medvedeva, A.; Högman, B.; Svensson, L.E.; Karlsson, L. Effect of Austenitization and Tempering on the Microstructure and Mechanical Properties of a 5 wt% Cr Cold Work Tool Steel. Steel Res. Int. 2016, 87, 1609–1618. [Google Scholar] [CrossRef]
- Wang, S.; Zhu, L.; Fuh, J.Y.H.; Zhang, H.; Yan, W. Multi-Physics Modeling and Gaussian Process Regression Analysis of Cladding Track Geometry for Direct Energy Deposition. Opt. Lasers Eng. 2020, 127, 105950. [Google Scholar] [CrossRef]
- Wołosz, P.; Baran, A.; Polański, M. The Influence of Laser Engineered Net Shaping (LENSTM) Technological Parameters on the Laser Deposition Efficiency and Properties of H13 (AISI) Steel. J. Alloys Compd. 2020, 823, 153840. [Google Scholar] [CrossRef]
- Bhardwaj, T.; Shukla, M.; Paul, C.P.; Bindra, K.S. Direct Energy Deposition—Laser Additive Manufacturing of Titanium–Molybdenum Alloy: Parametric Studies, Microstructure and Mechanical Properties. J. Alloys Compd. 2019, 787, 1238–1248. [Google Scholar] [CrossRef]
- Liverani, E.; Ascari, A.; Fortunato, A. Multilayered WC–Co Coatings by Direct Energy Deposition-Based Cladding: Effect of Laser Remelting on Interface Defects. Surf. Coat. Technol. 2023, 464, 129556. [Google Scholar] [CrossRef]
- Careri, F.; Imbrogno, S.; Umbrello, D.; Attallah, M.M.; Outeiro, J.; Batista, A.C. Machining and Heat Treatment as Post-Processing Strategies for Ni-Superalloys Structures Fabricated Using Direct Energy Deposition. J. Manuf. Process 2021, 61, 236–244. [Google Scholar] [CrossRef]
- Shim, D.S.; Baek, G.Y.; Lee, E.M. Effect of substrate preheating by induction heater on direct energy deposition of AISI M4 powder. Mater. Sci. Eng. A 2017, 682, 550–562. [Google Scholar] [CrossRef]
- Rahman, N.U.; Capuano, L.; Cabeza, S.; Feinaeugle, M.; Garcia-Junceda, A.; de Rooij, M.B.; Matthews, D.T.A.; Walmag, G.; Gibson, I.; Römer, G.R.B.E. Directed energy deposition and characterization of high-carbon high-speed steels. Addit. Manuf. 2019, 30, 100838. [Google Scholar] [CrossRef]
- Lim, S.-H.; Ryou, K.-H.; Jang, K.; Choi, P.-P. Hot cracking behavior of additively manufactured D2 steel. Mater. Charact. 2021, 178, 111217. [Google Scholar] [CrossRef]
- Shrestha, S.; Rassi, J.E.; Kannan, M.; Morscher, G.; Gyekenyesi, A.L.; Emuakpor, O.E.S. Fracture Toughness and Fatigue Crack Growth Rate Properties of AM Repaired Ti–6Al–4V by Direct Energy Deposition. Mater. Sci. Eng. A 2021, 823, 141701. [Google Scholar] [CrossRef]
- Nguejio, J.; Szmytka, F.; Hallais, S.; Tanguy, A.; Nardone, S.; Martinez, M.G. Comparison of Microstructure Features and Mechanical Properties for Additive Manufactured and Wrought Nickel Alloys 625. Mater. Sci. Eng. A 2019, 764, 138214. [Google Scholar] [CrossRef]
- Zhang, S.; Song, Z.; Hu, Y.; Yan, Z.; Di, R.; Lei, J. 18Ni300/Inconel 625 Alloy Gradient Materials Fabricated by Directed Energy Deposition. Mater. Today Commun. 2023, 37, 107185. [Google Scholar] [CrossRef]
- Jardin, R.T.; Tuninetti, V.; Tchuindjang, J.T.; Duchêne, L.; Hashemi, N.; Tran, H.S.; Carrus, R.; Mertens, A.; Habraken, A.M. Optimizing Laser Power of Directed Energy Deposition Process for Homogeneous AISI M4 Steel Microstructure. Opt. Laser Technol. 2023, 163, 109426. [Google Scholar] [CrossRef]
- Zhao, X.; Lv, Y.; Dong, S.; Yan, S.; He, P.; Liu, X.; Liu, Y.; Lin, T.; Xu, B. The Effect of Thermal Cycling on Direct Laser-Deposited Gradient H13 Tool Steel: Microstructure Evolution, Nanoprecipitation Behaviour, and Mechanical Properties. Mater. Today Commun. 2020, 25, 101390. [Google Scholar] [CrossRef]
- Geenen, K.; Röttger, A.; Feld, F.; Theisen, W. Microstructure, Mechanical, and Tribological Properties of M3:2 High-Speed Steel Processed by Selective Laser Melting, Hot-Isostatic Pressing, and Casting. Addit. Manuf. 2019, 28, 585–599. [Google Scholar] [CrossRef]
- Wang, B.; Zhang, H.; Mi, P.; Zhang, G.; Hao, L.; Xu, B.; Sun, M.; Li, D. Revealing the Evolution Behavior of Multiple Carbides Precipitation and Mechanical Response in M54 Secondary Hardening Steel. Mater. Charact. 2024, 211, 113856. [Google Scholar] [CrossRef]
- Dudko, V.; Yuzbekova, D.; Gaidar, S.; Vetrova, S.; Kaibyshev, R. Tempering Behavior of Novel Low-Alloy High-Strength Steel. Metals 2022, 12, 2177. [Google Scholar] [CrossRef]
- Luo, H.; Wang, X.; Liu, Z.; Yang, Z. Influence of Refined Hierarchical Martensitic Microstructures on Yield Strength and Impact Toughness of Ultra-High Strength Stainless Steel. J. Mater. Sci. Technol. 2020, 51, 130–136. [Google Scholar] [CrossRef]
- Shim, D.S.; Baek, G.Y.; Lee, S.B.; Yu, J.H.; Choi, Y.S.; Park, S.H. Influence of Heat Treatment on Wear Behavior and Impact Toughness of AISI M4 Coated by Laser Melting Deposition. Surf. Coat. Technol. 2017, 328, 219–230. [Google Scholar] [CrossRef]
- Chen, J.; Xue, L. Laser Cladding of CPM Tool Steels on Hardened H13 Hot-Work Steel for Low-Cost High-Performance Automotive Tooling. JOM 2012, 64, 688–693. [Google Scholar] [CrossRef]
- Jeong, Y.E.; Lee, J.Y.; Lee, E.K.; Shim, D.S. Microstructures and Mechanical Properties of Deposited Fe-8Cr-3V-2Mo-2W on SCM420 Substrate Using Directed Energy Deposition and Effect of Post-Heat Treatment. Materials 2021, 14, 1231. [Google Scholar] [CrossRef]
- Park, J.S.; Lee, M.G.; Cho, Y.J.; Sung, J.H.; Jeong, M.S.; Lee, S.K.; Choi, Y.J.; Kim, D.H. Effect of Heat Treatment on the Characteristics of Tool Steel Deposited by the Directed Energy Deposition Process. Met. Mater. Int. 2016, 22, 143–147. [Google Scholar] [CrossRef]
- Ankara, A.; Ari, H.B. Determination of Hot Crack Susceptibility in Various Kinds of Steels. Mater. Des. 1996, 17, 261–265. [Google Scholar] [CrossRef]
- Wieczerzak, K.; Bala, P.; Dziurka, R.; Tokarski, T.; Cios, G.; Koziel, T.; Gondek, L. The Effect of Temperature on the Evolution of Eutectic Carbides and M7C3→M23C6 Carbides Reaction in the Rapidly Solidified Fe-Cr-C Alloy. J. Alloys Compd. 2017, 698, 673–684. [Google Scholar] [CrossRef]
- Rehan, M.A.; Thuvander, M.; Högman, B.; Skogholm, P.E. EBSD Analysis of Blocky Structures in Hardened and Tempered Microstructures of a 5 wt.% Cr Cold Work Tool Steel. Metallogr. Microstruct. Anal. 2021, 10, 862–875. [Google Scholar] [CrossRef]
- Shrestha, S.L.; Breen, A.J.; Trimby, P.; Proust, G.; Ringer, S.P.; Cairney, J.M. An Automated Method of Quantifying Ferrite Microstructures Using Electron Backscatter Diffraction (EBSD) Data. Ultramicroscopy 2014, 137, 40–47. [Google Scholar] [CrossRef]
- Zhou, C.; Jiang, C.; Jin, Y.; Zhou, H.; Qiu, Q.; Hu, Y.; Xie, Y.; Zhang, L.; Zheng, J. The regulation of dislocation and precipitated phase improving hydrogen embrittlement resistance of pipeline steel in high-pressure hydrogen environment. Int. J. Fatigue 2025, 190, 108657. [Google Scholar] [CrossRef]
- Li, S.; Zhu, G.; Kang, Y. Effect of substructure on mechanical properties and fracture behavior of lath martensite in 0.1 C–1.1 Si–1.7 Mn steel. J. Alloys Compd. 2016, 675, 104–115. [Google Scholar] [CrossRef]
- Wu, C.; Zhang, T.; Chen, J.; Peng, W.; Cao, Y.; Xin, D. Microstructure evolution and enhanced cryogenic toughness of laser-welded dissimilar SA645/AISI 304L joints via intercritical tempering. J. Mater. Res. Technol. 2024, 29, 5517–5529. [Google Scholar] [CrossRef]
- Long, S.-L.; Liang, Y.-L.; Jiang, Y.; Liang, Y.; Yang, M.; Yi, Y.-L. Effect of quenching temperature on martensite multi-level microstructures and properties of strength and toughness in 20CrNi2Mo steel. Mater. Sci. Eng. A 2016, 676, 38–47. [Google Scholar] [CrossRef]
- Telasang, G.; Majumdar, J.D.; Wasekar, N.; Padmanabham, G.; Manna, I. Microstructure and Mechanical Properties of Laser Clad and Post-Cladding Tempered AISI H13 Tool Steel. Metall. Mater. Trans. A 2015, 46, 2309–2321. [Google Scholar] [CrossRef]
- Rashid, R.A.R.; Barr, C.J.; Palanisamy, S.; Nazari, K.A.; Orchowski, N.; Matthews, N.; Dargusch, M.S. Effect of Clad Orientation on the Mechanical Properties of Laser-Clad Repaired Ultra-High Strength 300M Steel. Surf. Coat. Technol. 2019, 380, 125090. [Google Scholar] [CrossRef]
- Park, J.H.; Kim, K.S.; Kim, J.Y.; Jeon, J.B.; Koo, Y.M.; Lee, K.A. Microstructure and Tensile Properties of Bulk AISI D2 Tool Steel Fabricated by Direct Energy Deposition. Mater. Charact. 2022, 194, 112355. [Google Scholar] [CrossRef]
- Park, Y.K.; Ha, K.; Shin, K.Y.; Lee, K.Y.; Kim, D.J.; Kwon, S.H.; Lee, W. Wear Resistance of Direct-Energy–Deposited AISI M2 Tool Steel with and without Post-Heat Treatment. J. Adv. Manuf. Technol. 2021, 116, 3917–3931. [Google Scholar] [CrossRef]
- Torkamani, H.; Raygan, S.; Rassizadehghani, J. Comparing Microstructure and Mechanical Properties of AISI D2 Steel after Bright Hardening and Oil Quenching. Mater. Des. 2014, 54, 1049–1055. [Google Scholar] [CrossRef]
- Das, D.; Sarkar, R.; Dutta, A.K.; Ray, K.K. Influence of Sub-Zero Treatments on Fracture Toughness of AISI D2 Steel. Mater. Sci. Eng. A 2010, 528, 589–603. [Google Scholar] [CrossRef]
- Li, K.; Klecka, M.A.; Chen, S.; Xiong, W. Wire-Arc Additive Manufacturing and Post-Heat Treatment Optimization on Microstructure and Mechanical Properties of Grade 91 Steel. Addit. Manuf. 2021, 37, 101734. [Google Scholar] [CrossRef]
- Chou, C.Y.; Pattersson, N.H.; Durga, A.; Zhang, F.; Oikonomou, C.; Borgenstam, A.; Odqvist, J.; Lindwall, G. Influence of Solidification Structure on Austenite to Martensite Transformation in Additively Manufactured Hot-Work Tool Steels. Acta Mater. 2021, 215, 117044. [Google Scholar] [CrossRef]
- Röttger, A.; Boes, J.; Großwendt, F.; Weber, S. Description of a New Concept for the Development of Adapted Hot-Work Tool Steels for Laser-Powder Bed Fusion. Addit. Manuf. 2023, 61, 103292. [Google Scholar] [CrossRef]
- Ziesing, U.; Lentz, J.; Röttger, A.; Theisen, W.; Weber, S. Processing of a Martensitic Tool Steel by Wire-Arc Additive Manufacturing. Materials 2022, 15, 7408. [Google Scholar] [CrossRef]
- König, H.H.; Pettersson, N.H.; Durga, A.; Petegem, S.V.; Grolimund, D.; Chuang, A.C.; Guo, Q.; Chen, L.; Oikonomou, C.; Zhang, F.; et al. Solidification Modes During Additive Manufacturing of Steel Revealed by High-Speed X-ray Diffraction. Acta Mater. 2023, 246, 118713. [Google Scholar] [CrossRef]
- Altiparmak, S.C.; Yardley, V.A.; Shi, Z.; Lin, J. Challenges in Additive Manufacturing of High-Strength Aluminium Alloys and Current Developments in Hybrid Additive Manufacturing. Int. J. Lightweight Mater. Manuf. 2021, 4, 246–261. [Google Scholar] [CrossRef]
- Duca, A.D.; Kenel, C.; Griffiths, S.; Joglekar, S.S.; Leinenbach, C.; Dunand, D.C. Microstructure and Defects in a Ni-Cr-Al-Ti γ/γ′ Model Superalloy Processed by Laser Powder Bed Fusion. Mater. Des. 2021, 201, 109531. [Google Scholar]
- Zhang, J.; Li, J.; Shi, C.; Huang, J. Growth and Agglomeration Behaviors of Eutectic M7C3 Carbide in Electroslag Remelted Martensitic Stainless Steel. J. Mater. Res. Technol. 2021, 11, 1490–1505. [Google Scholar] [CrossRef]
- Nurbanasari, M.; Tsakiropoulos, P.; Palmiere, E.J. Solidification Behaviour of a H21 Tool Steel. Adv. Mater. Res. 2014, 1043, 159–164. [Google Scholar] [CrossRef]
- Hearn, W.; Lindgren, K.; Persson, J.; Hryha, E. In Situ Tempering of Martensite During Laser Powder Bed Fusion of Fe-0.45C Steel. Materialia 2022, 23, 101459. [Google Scholar] [CrossRef]
- Barr, C.; Sun, S.D.; Easton, M.; Orchowski, N.; Matthews, N.; Brandt, M. Influence of Delay Strategies and Residual Heat on In-Situ Tempering in the Laser Metal Deposition of 300M High Strength Steel. Surf. Coat. Technol. 2020, 383, 125279. [Google Scholar] [CrossRef]
- Haghdadi, N.; Ledermueller, C.; Chen, H.; Chen, Z.; Liu, Q.; Li, X.; Rohrer, G.; Liao, X.; Ringer, S.; Primig, S. Evolution of Microstructure and Mechanical Properties in 2205 Duplex Stainless Steels During Additive Manufacturing and Heat Treatment. Mater. Sci. Eng. A 2022, 835, 142695. [Google Scholar] [CrossRef]
- Hu, X.; Nycz, A.; Lee, Y.; Shassere, B.; Simunovic, S.; Noakes, M.; Ren, Y.; Sun, X. Towards an Integrated Experimental and Computational Framework for Large-Scale Metal Additive Manufacturing. Mater. Sci. Eng. A 2019, 761, 138057. [Google Scholar] [CrossRef]
- Morito, S.; Pham, A.H.; Ohba, T.; Hayashi, T.; Furuhara, T.; Miyamoto, G. Three-Dimensional Observations of Morphology of Low-Angle Boundaries in Ultra-Low Carbon Lath Martensite. Microscopy 2017, 66, 380–387. [Google Scholar] [CrossRef]
- Zhou, S.B.; Hu, C.Y.; Hu, F.; Cheng, L.; Isayev, O.; Yershov, S.; Xiang, H.J.; Wu, K.M. Insight into the Impact of Microstructure on Crack Initiation/Propagation Behavior in Carbide-Free Bainitic Steel During Tensile Deformation. Mater. Sci. Eng. A 2022, 846, 143175. [Google Scholar] [CrossRef]
- Yamamoto, Y.; Ortolani, M. Micrograin Structure Evolution Associated with Grain Boundary Characteristics in Grade 91 Steel During Long-Term Creep Exposure. Mater. Sci. Eng. A 2021, 826, 141993. [Google Scholar] [CrossRef]
- Morito, S.; Saito, H.; Ogawa, T.; Furuhara, T.; Maki, T. Effect of Austenite Grain Size on the Morphology and Crystallography of Lath Martensite in Low Carbon Steels. ISIJ Int. 2005, 45, 91–94. [Google Scholar] [CrossRef]
- Simm, T.; Sun, L.; McAdam, S.; Hill, P.; Rawson, M.; Perkins, K. The Influence of Lath, Block and Prior Austenite Grain (PAG) Size on the Tensile, Creep and Fatigue Properties of Novel Maraging Steel. Materials 2017, 10, 730. [Google Scholar] [CrossRef]
- Long, X.; Liu, W.; Zhu, R.; Zhang, Y.; Zhang, F.; Yang, Z.; Li, Y. Effect of the Cooling Rate in the Medium Temperature Zone on the Phase Transformation and Microstructure of Carbide-Free Bainitic Steel. J. Mater. Res. Technol. 2024, 29, 50–66. [Google Scholar] [CrossRef]
- Yin, T.W.; Shen, Y.F.; Jia, N.; Li, Y.J.; Xue, W.Y. Controllable Selection of Martensitic Variant Enables Concurrent Enhancement of Strength and Ductility in a Low-Carbon Steel. Int. J. Plast. 2023, 168, 103704. [Google Scholar] [CrossRef]
- Morsdorf, L.; Kashiwar, A.; Kübel, C.; Tasan, C.C. Carbon Segregation and Cementite Precipitation at Grain Boundaries in Quenched and Tempered Lath Martensite. Mater. Sci. Eng. A 2023, 862, 144369. [Google Scholar] [CrossRef]
- Ramachandran, D.C.; Moon, J.; Lee, C.H.; Kim, S.D.; Chung, J.H.; Biro, E.; Park, Y.D. Role of Bainitic Microstructures with M-A Constituent on the Toughness of an HSLA Steel for Seismic Resistant Structural Applications. Mater. Sci. Eng. A 2021, 801, 140390. [Google Scholar] [CrossRef]
- Wang, B.; Chen, N.; Cai, Y.; Guo, W.; Wang, M. Effect of Crystallographic Features on Low-Temperature Fatigue Ductile-to-Brittle Transition for Simulated Coarse-Grained Heat-Affected Zone of Bainite Steel Weld. Int. J. Fatigue 2023, 170, 107523. [Google Scholar] [CrossRef]
- Wang, H.; Li, H.; Feng, H.; Jiao, W.; Zhu, H.; Zhang, S.; Jiang, Z. A Novel High Nitrogen Hot-Work Die Steel 3Cr5Mo2SiVN Achieving Excellent Hardness-Strength-Toughness Balance. Mater. Charact. 2023, 203, 113154. [Google Scholar] [CrossRef]
- Pan, X.; Huang, B.; Zhang, C.; Sun, W.; Zheng, K.; Hu, J. Strengthening Mechanism and Precipitate Evolution of a Multiapplication Special Engineering Steel Designed Based on a Hybrid Idea. J. Alloys Compd. 2023, 942, 169053. [Google Scholar] [CrossRef]
- Lu, Q.; Xu, W.; van der Zwaag, S. The Design of a Compositionally Robust Martensitic Creep-Resistant Steel with an Optimized Combination of Precipitation Hardening and Solid-Solution Strengthening for High-Temperature Use. Acta Mater. 2014, 77, 310–323. [Google Scholar] [CrossRef]
- Gholamalipour, S.; Jamaati, R.; Hosseinipour, S.J. Achieving balanced mechanical properties in Fe–0.16C plain low-carbon steel by trimodal microstructure and fine cementite. J. Mater. Res. Technol. 2024, 33, 4992–5006. [Google Scholar] [CrossRef]
- Zhu, Z.; Liang, Y.; Yin, C.; Ren, X.; Yang, M.; Zou, J. Influence of friction-induced retained austenite transformation to martensite on the wear properties of a carburized layer of 23CrNi3MoA steel. Appl. Surf. Sci. 2022, 595, 153548. [Google Scholar] [CrossRef]
- Hansen, N. Hall–Petch Relation and Boundary Strengthening. Scr. Mater. 2004, 51, 801–806. [Google Scholar] [CrossRef]
- Wang, Y.; Sun, J.; Jiang, T.; Sun, Y.; Guo, S.; Liu, Y. A Low-Alloy High-Carbon Martensite Steel with 2.6 GPa Tensile Strength and Good Ductility. Acta Mater. 2018, 158, 247–256. [Google Scholar] [CrossRef]
- Zeng, T.; Zhang, S.; Shi, X.; Wang, W.; Yan, W.; Yang, K. Effect of NbC and VC Carbides on Microstructure and Strength of High-Strength Low-Alloyed Steels for Oil Country Tubular Goods. Mater. Sci. Eng. A 2021, 824, 141845. [Google Scholar] [CrossRef]
- Kim, B.; Bouccard, E.; Sourmail, T.; Martin, D.S.; Gey, N.; Rivera-Díaz-del-Castillo, P.E.J. The Influence of Silicon in Tempered Martensite: Understanding the Microstructure–Properties Relationship in 0.5–0.6 wt.% C Steels. Acta Mater. 2014, 68, 169–178. [Google Scholar] [CrossRef]
- Liu, H.; Shang, X.K.; He, B.B.; Liang, Z.Y. Strain Rate Dependence of Strengthening Mechanisms in Ultrahigh Strength Lath Martensite. Int. J. Plast. 2023, 161, 103495. [Google Scholar] [CrossRef]
- Ding, H.; Cheng, X.; Liu, T.; Cao, F.; Chen, L.; Luo, R.; Zhang, Y.; Zhang, B. Microstructure and High-Temperature Tensile Behavior of Spray-Formed Modified 2000 MPa H13 Hot Work Die Steel with 0.5 wt% Carbon. Mater. Sci. Eng. A 2022, 842, 143102. [Google Scholar] [CrossRef]
- Park, J.H.; Bang, G.B.; Lee, K.A.; Son, Y.; Song, Y.H.; Lee, B.S.; Kim, W.R.; Kim, H.G. Effect of Preheating Temperature on Microstructural and Mechanical Properties of Inconel 718 Fabricated by Selective Laser Melting. Met. Mater. Int. 2022, 28, 2836–2848. [Google Scholar] [CrossRef]
- Liu, Q.; Jensen, D.J.; Hansen, N. Effect of Grain Orientation on Deformation Structure in Cold-Rolled Polycrystalline Aluminium. Acta Mater. 1998, 46, 5819–5838. [Google Scholar] [CrossRef]
- Jiang, B.; Wu, M.; Zhang, M.; Zhao, F.; Zhao, Z.; Liu, Y. Microstructural Characterization, Strengthening and Toughening Mechanisms of a Quenched and Tempered Steel: Effect of Heat Treatment Parameters. Mater. Sci. Eng. A 2017, 707, 306–314. [Google Scholar] [CrossRef]
- Zhang, X.; Matsuura, K.; Ohno, M. Abnormal Grain Growth in Austenite Structure Reversely Transformed from Ferrite/Pearlite-Banded Structure. Metall. Mater. Trans. A 2014, 45, 4623–4634. [Google Scholar] [CrossRef]













| Element (wt%) | Fe | C | Si | Mn | Cr | Mo | V |
|---|---|---|---|---|---|---|---|
| As-built | Bal. | 0.65 | 0.21 | 0.54 | 4.64 | 2.29 | 0.42 |
| Wrought | Bal. | 0.64 | 0.19 | 0.48 | 4.72 | 2.26 | 0.42 |
| Material | Precipitate Type | Chemical Composition/(Phase) | Size Distribution (μm) |
|---|---|---|---|
| DED-HT | Type 1 | C, Cr, Mo, V | 0.70~1.20 |
| Type 2 | C, Cr (Cr23C6) | 0.15~0.25 | |
| Wrought-HT | Type 3 | C, Cr (Cr7C3) | 0.40~1.20 |
| Type 4 | C, Mo, V (Mo2C, VC) | 0.10~0.20 |
| Vickers Hardness [HV] | Yield Strength [MPa] | Ultimate Tensile Strength [MPa] | Elongation [%] | |
|---|---|---|---|---|
| DED-built | 702.5 ± 13.7 | 779.6 ± 14.4 | 1340.4 ± 17.0 | 1.2 ± 0.2 |
| DED-HT | 650.5 ± 12.0 | 1480.3 ± 28.2 | 1949.4 ± 31.6 | 0.7 ± 0.1 |
| Wrought-HT | 698.2 ± 10.2 | 1520.7 ± 19.1 | 2229.6 ± 24.2 | 1.0 ± 0.1 |
| Variant No. | Plane Parallel | Direction Parallel | Bain Group | CP Group | Misorientation from V1 (°) |
|---|---|---|---|---|---|
| V1 | ()γ//(0)α | []γ//[]α | B1 | CP1 | - |
| V2 | []γ//[]α | B2 | 60.0 | ||
| V3 | []γ//[]α | B3 | 60.0 | ||
| V4 | []γ//[]α | B1 | 10.5 | ||
| V5 | [1]γ//[]α | B2 | 60.0 | ||
| V6 | [1]γ//[]α | B3 | 49.5 | ||
| V7 | ()γ//(0)α | []γ//[]α | B2 | CP2 | 49.5 |
| V8 | []γ//[]α | B1 | 10.5 | ||
| V9 | []γ//[]α | B3 | 50.5 | ||
| V10 | []γ//[]α | B2 | 50.5 | ||
| V11 | []γ//[]α | B1 | 14.9 | ||
| V12 | []γ//[]α | B3 | 57.2 | ||
| V13 | ()γ//(0)α | [1]γ//[]α | B1 | CP3 | 14.9 |
| V14 | [1]γ//[]α | B3 | 50.5 | ||
| V15 | []γ//[]α | B2 | 57.2 | ||
| V16 | []γ//[]α | B1 | 20.6 | ||
| V17 | []γ//[]α | B3 | 51.7 | ||
| V18 | []γ//[]α | B2 | 47.1 | ||
| V19 | ()γ//(0)α | []γ//[]α | B3 | CP4 | 50.5 |
| V20 | []γ//[]α | B2 | 57.2 | ||
| V21 | []γ//[]α | B1 | 20.6 | ||
| V22 | []γ//[]α | B3 | 47.1 | ||
| V23 | []γ//[]α | B2 | 57.2 | ||
| V24 | [1]γ//[]α | B1 | 21.1 |
Disclaimer/Publisher’s Note: The statements, opinions and data contained in all publications are solely those of the individual author(s) and contributor(s) and not of MDPI and/or the editor(s). MDPI and/or the editor(s) disclaim responsibility for any injury to people or property resulting from any ideas, methods, instructions or products referred to in the content. |
© 2025 by the authors. Licensee MDPI, Basel, Switzerland. This article is an open access article distributed under the terms and conditions of the Creative Commons Attribution (CC BY) license (https://creativecommons.org/licenses/by/4.0/).
Share and Cite
Park, J.-H.; Kim, Y.-K.; Kim, J.-Y.; Jung, H.-Y.; Park, S.-J.; Lee, K.-A. Hierarchical Microstructure–Mechanical Property Correlations in Superior Strength 5 wt% Cr Cold-Work Tool Steel Manufactured by Direct Energy Deposition. Materials 2025, 18, 3113. https://doi.org/10.3390/ma18133113
Park J-H, Kim Y-K, Kim J-Y, Jung H-Y, Park S-J, Lee K-A. Hierarchical Microstructure–Mechanical Property Correlations in Superior Strength 5 wt% Cr Cold-Work Tool Steel Manufactured by Direct Energy Deposition. Materials. 2025; 18(13):3113. https://doi.org/10.3390/ma18133113
Chicago/Turabian StylePark, Jung-Hyun, Young-Kyun Kim, Jin-Young Kim, Hyo-Yun Jung, Sung-Jin Park, and Kee-Ahn Lee. 2025. "Hierarchical Microstructure–Mechanical Property Correlations in Superior Strength 5 wt% Cr Cold-Work Tool Steel Manufactured by Direct Energy Deposition" Materials 18, no. 13: 3113. https://doi.org/10.3390/ma18133113
APA StylePark, J.-H., Kim, Y.-K., Kim, J.-Y., Jung, H.-Y., Park, S.-J., & Lee, K.-A. (2025). Hierarchical Microstructure–Mechanical Property Correlations in Superior Strength 5 wt% Cr Cold-Work Tool Steel Manufactured by Direct Energy Deposition. Materials, 18(13), 3113. https://doi.org/10.3390/ma18133113

