Simulation of the Mesoscale Cracking Processes in Concrete Under Tensile Stress by Discrete Element Method
Abstract
1. Introduction
2. Materials and Methods
2.1. DEM (Discrete Element Method) Modeling
2.2. Materials
2.3. Model Establishment
3. Simulation Results
3.1. Simulation Scheme Settings
3.2. Failure Process and Morphology
3.3. Variation in Tensile Strength
4. Discussion
4.1. Influencing Mechanisms of Microstructure on Crack Propagation
4.2. Advantages and Limitations of DEM Simulation
4.3. Engineering Application and Optimization
5. Conclusions
- (1)
- A DEM-based numerical model incorporating mortar, aggregate, and the interfacial transition zone (ITZ) was developed in this study. The parallel bond model (PBM) was employed to simulate inter-particle mechanical behavior. By calibrating micromechanical parameters to match experimental tensile strength and failure modes, the model successfully reproduced the cracking mechanisms of concrete under tensile loading. These results demonstrate the effectiveness of DEM in investigating the cracking behavior of multiphase heterogeneous concrete structures. This study innovatively couples microstructural parameters (aggregate percentages and porosity) with macroscopic tensile properties, offering a new framework for meso-scale failure analysis.
- (2)
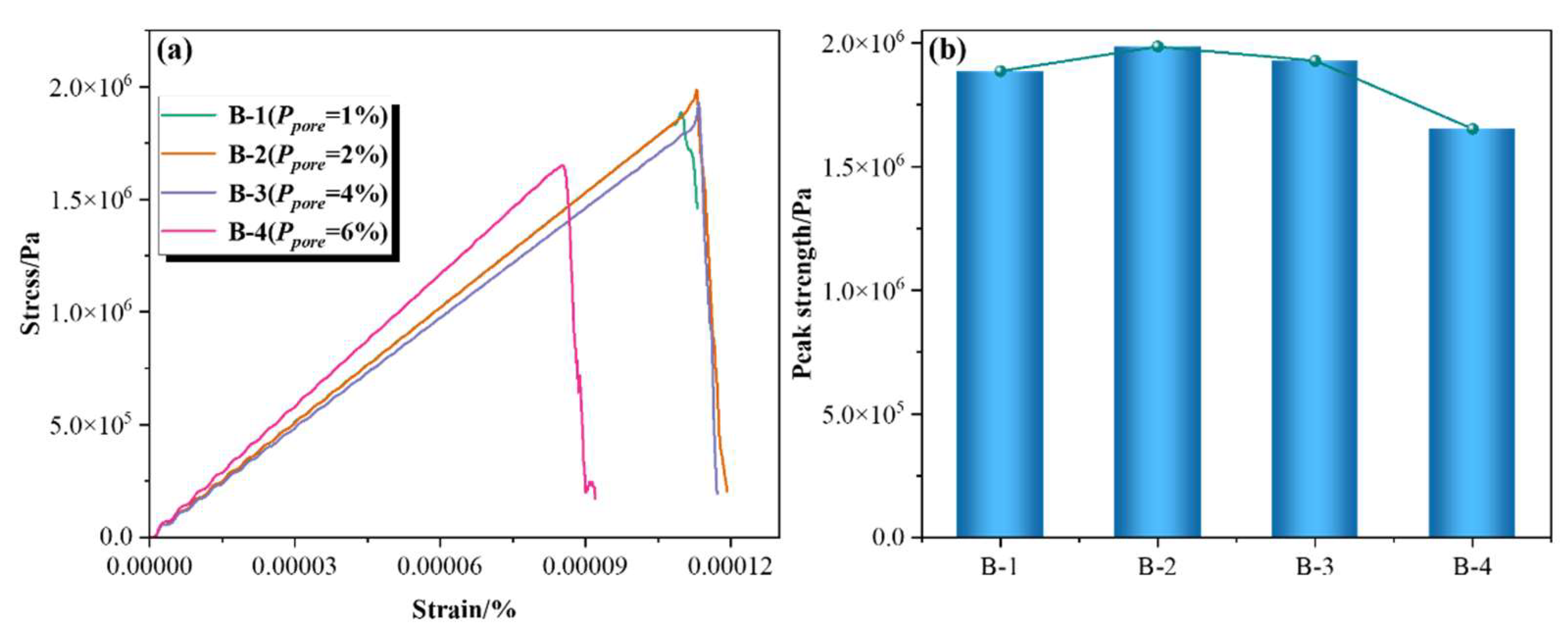
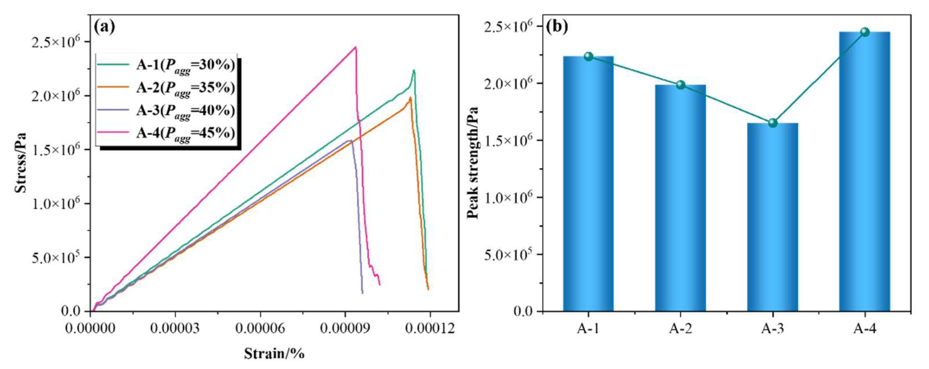
- A series of simulation schemes with varying aggregate and pore percentages were designed to explore concrete behavior under tensile loading. The results reveal that damage primarily initiates and propagates within the mortar and ITZ regions. Aggregates, acting as a high-strength skeleton, force cracks to deflect along the ITZ rather than penetrate the aggregates, while pores act as defects that induce crack initiation and coalescence. This leads to the formation of a horizontal macro-scale tensile fracture zone.
- (3)
- Tensile strength exhibits a non-linear response to aggregate content: a 26% decrease from 30% to 40% aggregate due to expanded ITZ weak interfaces, followed by a recovery at 45% due to the aggregate skeleton effect. While increasing pore percentage results in an opposite trend: 3% reduction at 4% pore strength and 14% at 6% pore strength, driven by defect connectivity.
- (4)
- This study reveals the effects of percentages of aggregate and pore on concrete failure using DEM, providing tangible guidance for engineering practice: (1) optimizing aggregate gradation to balance ITZ area and skeleton support; (2) controlling porosity during construction to minimize initial defects; (3) using DEM simulations as a cost-effective tool for mix design and structural safety evaluation. The results are particularly applicable to engineering projects requiring high tensile durability, such as bridge decks, tunnel linings, and offshore structures.
Author Contributions
Funding
Institutional Review Board Statement
Informed Consent Statement
Data Availability Statement
Conflicts of Interest
References
- Attiyah, A.N.; Al-Wazni, S.; Al-Tameemi, A.A.; Al-Ansari, L. Structural Evaluation of Mass Concrete Damage: A Case Study of Concrete Mill Stands. J. Build. Pathol. Rehabil. 2024, 9, 149. [Google Scholar] [CrossRef]
- Zhao, C.; Lei, M.; Jia, C.; Wu, C.; Yang, Z.; Shi, Y. Influence Mechanism of Initial Mechanical Damage on Concrete Permeability and Tunnel Lining Leakage. Eng. Fract. Mech. 2024, 310, 110531. [Google Scholar] [CrossRef]
- Shahzad, Q.; Li, F. Interfacial Bond Effects on the Shear Strength and Damage in 3D-Printed Concrete Structures: A Combined Experimental and Numerical Study. Eng. Fract. Mech. 2025, 315, 110840. [Google Scholar] [CrossRef]
- Luan, T.M.; Khatir, S.; Cuong-Le, T. Concrete Damage Plastic Model for High Strength-Concrete: Applications in Reinforced Concrete Slab and CFT Columns. Iran. J. Sci. Technol. Trans. Civ. Eng. 2024. [Google Scholar] [CrossRef]
- Xia, P.; Hu, X.; Ying, C.; Wu, S.; Xu, C.; Wang, X.; Chen, H.; Duan, H. Study on Shear Strength Characteristics of Basalt-Concrete Bonding Interface Based on In-Situ Direct Shear Test. J. Earth Sci. 2024, 35, 553–567. [Google Scholar] [CrossRef]
- Asmara, Y.P. Types and Causes of Concrete Damage. In Concrete Reinforcement Degradation and Rehabilitation: Damages, Corrosion and Prevention; Asmara, Y.P., Ed.; Springer Nature: Singapore, 2024; pp. 25–44. [Google Scholar]
- Zhu, S.; Zhou, Z.; Zhang, Z.; Liu, Z.; Hou, X. Evaluation of Low-Temperature Fracture and Damage of Asphalt Concrete Using SCB Test Combined with DIC. Eng. Fract. Mech. 2025, 321, 111135. [Google Scholar] [CrossRef]
- Lv, Y.; Yang, R.; Niu, D.; Tian, W.; Wang, Y. Performance Degradation of Fatigue-Damaged Concrete under the Combined Effect of Freeze-Thaw Cycles and Chloride-Sulfate Attack. Constr. Build. Mater. 2025, 470, 140585. [Google Scholar] [CrossRef]
- Wang, Q.; Tang, H.; An, P.; Fang, K.; Zhang, J.; Miao, M.; Tan, Q.; Huang, L.; Hu, S. Insight into the Permeability and Microstructure Evolution Mechanism of the Sliding Zone Soil: A Case Study from the Huangtupo Landslide, Three Gorges Reservoir, China. J. Earth Sci. 2024, 35, 941–954. [Google Scholar] [CrossRef]
- Guo, C.; Li, J. A Unified Stochastic Damage Model for Concrete Based on Multi-Scale Energy Dissipation Analysis. Sci. China Technol. Sci. 2024, 67, 863–877. [Google Scholar] [CrossRef]
- Long, J. Experimental and Numerical Study on Uniaxial Tensile Fracture Characteristics of C80 High-Strength Concrete. Master’s Thesis, Guizhou University, Guiyang, China, 2023. [Google Scholar]
- Wang, M.; Wang, L.; Zhang, Y.; Li, Z.; Wang, Z.; Liu, Z. Study on Static Damage Behavior of Concrete Based on Meso-mechanical Model. Traffic Sci. Technol. Manag. 2025, 6, 115–118. [Google Scholar]
- Wang, Y. A Damage Constitutive Model for Concrete under Uniaxial Compression Capturing Strain Localization. Cem. Concr. Res. 2024, 178, 107457. [Google Scholar] [CrossRef]
- Yankelevsky, D.Z. The Uniaxial Compressive Strength of Concrete: Revisited. Mater. Struct. 2024, 57, 144. [Google Scholar] [CrossRef]
- Yu, A.; Chen, Z.; Zhang, L.; Li, X.; Shi, J.; Fu, F. Study on AE Characteristics of Concrete with Different w/c Ratio under Uniaxial Compression. Structures 2023, 58, 105443. [Google Scholar] [CrossRef]
- Yang, F.; Yang, S.; Fu, Y.; Zhang, Y. Stress-Strain Relationship and Damage Constitutive Model of Wet Concrete under Uniaxial Compression. Case Stud. Constr. Mater. 2023, 18, e02154. [Google Scholar] [CrossRef]
- Liu, M.; Wang, F. Numerical Simulation of Influence of Coarse Aggregate Crushing on Mechanical Properties of Concrete under Uniaxial Compression. Constr. Build. Mater. 2022, 342, 128081. [Google Scholar] [CrossRef]
- Li, M.; Tan, W.; Xu, M.; Yue, G.; Shao, Y. Microscopic Discrete Element Study of Aggregate Size on Uniaxial Compression Failure Process of Recycled Aggregate Concrete. Arab. J. Sci. Eng. 2025. [Google Scholar] [CrossRef]
- Gowrikanthan, N.; Lees, J.M. Direct Tensile Testing of Concrete: A Review. In Proceedings of the 4th FIB International Conference on Concrete Sustainability (ICCS2024), Guimarães, Portugal, 11–13 September 2024; Barros, J.A.O., Cunha, V.M.C.F., Sousa, H.S., Matos, J.C., Sena-Cruz, J.M., Eds.; Lecture Notes in Civil Engineering. Springer: Cham, Switzerland, 2025; Volume 573, pp. 19–27. [Google Scholar]
- Naseri, A.; Fattahi, S.M.; Shokri, F.; Hosseinnia, A.; Fahimifar, A. Exploring the Influence of Sample Geometry on the Tensile Strength of Rock and Concrete: An Integrated Experimental and Numerical Analysis. Iran. J. Sci. Technol. Trans. Civ. Eng. 2025, 49, 1761–1775. [Google Scholar] [CrossRef]
- Zhao, Y.; Chen, Q.; Wang, L.; Wei, W. Study on Uniaxial Tension and Compression Failure Law and Mechanical Properties of Concrete after High Temperature. Bull. Chin. Ceram. Soc. 2024, 43, 2451–2460. [Google Scholar]
- Chen, T.; Li, K.; Xiao, S. Mesoscale Mechanical Properties and Influencing Factors of Concrete under Uniaxial Tension. J. Wuhan Univ. Technol. Mater. Sci. Ed. 2024, 39, 1156–1168. [Google Scholar] [CrossRef]
- Nguyen, D.H.; Dao, V.T.N.; Lura, P. Tensile Properties of Concrete at Very Early Ages. Constr. Build. Mater. 2017, 134, 563–573. [Google Scholar] [CrossRef]
- Wang, J.; Zheng, J.; Guo, J.; Lv, Q.; Deng, J. A Method for Evaluating the Maximum Bending Degree of Flexural Toppling Rock Masses Based on the Rock Tensile Strain-Softening Model. J. Earth Sci. 2024, 35, 1243–1253. [Google Scholar] [CrossRef]
- Žarković, D.; Jovanović, Đ. A New Constitutive Model of Concrete Developed in the Framework of Damage and Multi-Surface Plasticity: Theory and Verification. Int. J. Solids Struct. 2025, 312, 113281. [Google Scholar] [CrossRef]
- Wang, Y.; Li, J. Stochastic Fatigue Damage Model for Concrete under Complex Stress States. Sci. China Technol. Sci. 2022, 65, 2641–2648. [Google Scholar] [CrossRef]
- Miehe, C.; Hofacker, M.; Welschinger, F. A Phase Field Model for Rate-Independent Crack Propagation: Robust Algorithmic Implementation Based on Operator Splits. Comput. Methods Appl. Mech. Eng. 2010, 199, 2765–2778. [Google Scholar] [CrossRef]
- Zhao, N.; Rui, D.; Yuan, K. Investigations on the Microscopic Fracture Behavior of Concrete and Anchor Systems Based on the Elastoplastic Phase Field Model. Structures 2025, 74, 108485. [Google Scholar] [CrossRef]
- Wu, J.Y.; Li, J.; Faria, R. An Energy Release Rate-Based Plastic-Damage Model for Concrete. Int. J. Solids Struct. 2006, 43, 583–612. [Google Scholar] [CrossRef]
- Li, F.-Y.; Hu, X.; Shahzad, Q. Anisotropic Behavior in 3D Printed Concrete: Finite Element Simulation Approach. J. Mater. Eng. Perform. 2025, 34, 8848–8859. [Google Scholar] [CrossRef]
- Pan, G.; Song, T.; Li, P.; Jia, W.; Deng, Y. Review on Finite Element Analysis of Meso-Structure Model of Concrete. J. Mater. Sci. 2025, 60, 32–62. [Google Scholar] [CrossRef]
- Flack, C.; Dinkler, D. A Multifield Discrete Element Model for Concrete. Comput. Part. Mech. 2025, 12, 1335–1347. [Google Scholar] [CrossRef]
- Dethof, F.; Keßler, S. Design of Concrete Mock-Ups with Complex Defect Scenarios Using Numerical Simulations. J. Nondestruct. Eval. 2024, 43, 59. [Google Scholar] [CrossRef]
- Li, X.; Du, C.; Li, C.; Xu, Y.; Gong, W. Effects of Initial Defects on Effective Elastic Modulus of Concrete with Mesostructure. J. Wuhan Univ. Technol.-Mater. Sci. Ed. 2024, 39, 1484–1495. [Google Scholar] [CrossRef]
- Yu, K.; Qing, L.; Hu, Y. The Effects of Specimen Size and Aggregate on the Evolution of the Fracture Process Zone in Concrete: A Mesoscale Investigation. Compos. Struct. 2025, 355, 118852. [Google Scholar] [CrossRef]
- Wu, Z.; Zhang, J.; Yu, H.; Wu, Q.; Da, B. Computer-Aided Investigation of the Tensile Behavior of Concrete: Relationship between Direct and Splitting Tensile Strength. Structures 2023, 55, 453–467. [Google Scholar] [CrossRef]
- Li, Y.; Hao, Z.; Shen, Z.; Fu, P.; Zhang, J. Mesoscopic Modeling and Simulation of Tensile Properties of Cracked Concrete Using Cohesive Model. Case Stud. Constr. Mater. 2023, 18, e02186. [Google Scholar] [CrossRef]
- Zhao, H.; Zhou, A. Effects of Recycled Aggregates on Mechanical and Fractural Properties of Concrete: Insights from DEM Modelling. Compos. Part A Appl. Sci. Manuf. 2024, 186, 108395. [Google Scholar] [CrossRef]
- Nitka, M.; Tejchman, J. Comparative DEM Calculations of Fracture Process in Concrete Considering Real Angular and Artificial Spherical Aggregates. Eng. Fract. Mech. 2020, 239, 107309. [Google Scholar] [CrossRef]
- Nitka, M.; Rucka, M. 3D DEM Modelling of Acoustic Emission in Concrete: Insights into Elastic Waves Initiated by Microcracks. Ultrasonics 2025, 150, 107599. [Google Scholar] [CrossRef]
- Yang, L.; Li, K.; Hu, X.; Peng, Z.; Liu, Q.-F.; Shi, C. Mesoscopic discrete modeling of compression and fracture behavior of concrete: Effects of aggregate size distribution and interface transition zone. Cem. Concr. Compos. 2024, 147, 105411. [Google Scholar] [CrossRef]
- Zhao, H.; Zhang, L.; Wu, Z.; Liu, A.; Imran, M. Aggregate effect on the mechanical and fracture behaviours of concrete. Int. J. Mech. Sci. 2023, 243, 108067. [Google Scholar] [CrossRef]
- Li, X. Three-Dimensional Meso-Scale Numerical Simulation of Fracture Process of Hydraulic Concrete with Initial Defects. Master’s Thesis, Hohai University, Nanjing, China, 2021. [Google Scholar]
- Wu, F. Experimental Study on Whole Stress-Strain Curves of Concrete Under Axial Tension. Master’s Thesis, Hunan University, Changsha, China, 2006. [Google Scholar]
- Albogami, A.; Fayed, S.; Ghalla, M.; Nawar, M.E.; Badr el-din, A. Effects of Type and Gradation of Coarse Aggregates on Tensile Strength of Concrete with Different Grades: An Experimental Investigation. Innov. Infrastruct. Solut. 2025, 10, 236. [Google Scholar] [CrossRef]









| Parameters of Aggregates | Parameters of Mortar | ||
|---|---|---|---|
| Emod (Pa) | 555 × 108 | Emod (Pa) | 130 × 108 |
| Pb_emod (Pa) | 555 × 108 | Pb_emod (Pa) | 130 × 108 |
| Pb_ten (Pa) | 20 × 106 | Pb_ten (Pa) | 5 × 106 |
| Pb_coh (Pa) | 25 × 106 | Pb_coh (Pa) | 6 × 106 |
| Pb_fa (°) | 40 | Pb_fa (°) | 45 |
| Kratio | 1.5 | Kratio | 2 |
| Comparing Dimensions | Related Studies | Difference and Correlation Analysis |
|---|---|---|
| Research method | FEM simulation is the main approach, with most focusing on compression failure [37,38]. | Traditional research often focuses on uniaxial compression, but this study achieves stretch simulation under bivariate control. |
| Influences of aggregate percentages | Zhao et al. [39] observed that an increase in aggregate percentage led to a monotonic increase in strength. | This study revealed through parameter calibration that 40% is the turning point between the ITZ weak interface effect and aggregate skeleton effect. |
| Influences of pore percentages | Li et al. [31] found that the strength decreases linearly with the increase in pore percentage. | Pore connectivity (rather than just percentage) is a key factor determining the failure mode. |
| Crack propagation mechanism | Nitka et al. [37] found that cracks propagate along the aggregate mortar interface, without quantifying the impact of ITZ. | This study quantified the competitive effects of ITZ area and pore connectivity on crack paths. |
Disclaimer/Publisher’s Note: The statements, opinions and data contained in all publications are solely those of the individual author(s) and contributor(s) and not of MDPI and/or the editor(s). MDPI and/or the editor(s) disclaim responsibility for any injury to people or property resulting from any ideas, methods, instructions or products referred to in the content. |
© 2025 by the authors. Licensee MDPI, Basel, Switzerland. This article is an open access article distributed under the terms and conditions of the Creative Commons Attribution (CC BY) license (https://creativecommons.org/licenses/by/4.0/).
Share and Cite
Zhu, Z.; Mediamartha, B.M.; Yu, S.; Li, Y.; Xu, J.; Gu, P. Simulation of the Mesoscale Cracking Processes in Concrete Under Tensile Stress by Discrete Element Method. Materials 2025, 18, 2981. https://doi.org/10.3390/ma18132981
Zhu Z, Mediamartha BM, Yu S, Li Y, Xu J, Gu P. Simulation of the Mesoscale Cracking Processes in Concrete Under Tensile Stress by Discrete Element Method. Materials. 2025; 18(13):2981. https://doi.org/10.3390/ma18132981
Chicago/Turabian StyleZhu, Zhenyu, Bintang Mas Mediamartha, Shuyang Yu, Yifei Li, Jian Xu, and Pingping Gu. 2025. "Simulation of the Mesoscale Cracking Processes in Concrete Under Tensile Stress by Discrete Element Method" Materials 18, no. 13: 2981. https://doi.org/10.3390/ma18132981
APA StyleZhu, Z., Mediamartha, B. M., Yu, S., Li, Y., Xu, J., & Gu, P. (2025). Simulation of the Mesoscale Cracking Processes in Concrete Under Tensile Stress by Discrete Element Method. Materials, 18(13), 2981. https://doi.org/10.3390/ma18132981

