Selection of High-Performance Sorbent for H2S Removal and Regulation of Reaction Products via Thermodynamic Simulation
Abstract
1. Introduction
2. H2S Removal and Regeneration Process by Metal Oxides
3. Thermodynamic Analysis
4. Results and Discussion
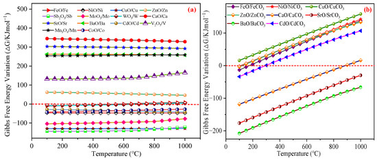
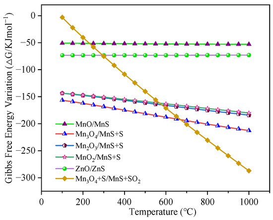
4.1. Fixing-Sulfur Potentiality
4.2. Reacting with CO and CO2
4.3. Reacting with H2O
4.4. Reacting with CH4
4.5. Comparison of the Zinc-Manganese-Based Oxides
5. Control of Reaction Products in the Regeneration Process of Desulfurizers
6. Conclusions
- (1)
- Thermodynamic evaluations of reactions between blast furnace gas components and candidate metal oxides identified manganese oxides as the most promising H2S sorbent. These materials exhibit advantages, including non-radioactive characteristics; cost-effectiveness; high sulfur retention capacity; chemical inertness toward CO2, CO, and CH4; and unique stability across multiple high-valence Mn oxide phases.
- (2)
- Comprehensive characterization of four manganese oxide phases revealed sulfur retention capacities in the following descending order: Mn3O4 > Mn2O3 > MnO2 > MnO. High-valence Mn oxides demonstrated superior oxidation potential, larger sulfur storage capacities, and the ability to generate elemental sulfur with high industrial utility. Notably, MnO2 underwent thermal decomposition at elevated temperatures and reacted with CO, necessitating stringent control of the reaction parameters to suppress undesirable side reactions.
- (3)
- Compositional analysis of MnS oxidation indicated that 1.5 kmol of O2 per kmol of MnS represents the optimal stoichiometry for producing MnO and SO2. Oxygen deficiency resulted in incomplete regeneration, whereas excess oxygen induced significant temperature excursions, leading to manganese oxide sintering and accelerated equipment degradation. Oxygen concentration dilution effectively mitigated thermal runaway while reducing regeneration temperatures. Under 1.5-fold stoichiometric conditions with 5% O2, complete MnS conversion was achieved above 700 °C, yielding MnO, SO2, and trace amounts of Mn3O4.
- (4)
- The present study primarily relied on thermodynamic equilibrium calculations, which do not account for kinetic factors (e.g., reaction rates and mass transfer limitations) that may influence practical H2S removal and regeneration processes. In our future work, experimental validation will be carried out to bridge the gap between thermodynamic predictions and practical applications, ensuring the reliability of Mn oxide-based desulfurizers in real blast furnace gas treatment systems.
Author Contributions
Funding
Institutional Review Board Statement
Informed Consent Statement
Data Availability Statement
Acknowledgments
Conflicts of Interest
References
- World Steel Association. World Steel in Figures 2024. 2024. Available online: https://worldsteel.org/data/world-steel-in-figures-2024 (accessed on 28 April 2025).
- Wang, P.T.; Xu, Q.C.; Wang, F.Y.; Xu, M. Study on the coupling of the iron and steel industry with renewable energy for low-carbon production: A case study of matching steel plants with photovoltaic power plants in China. Energy 2025, 320, 135381. [Google Scholar] [CrossRef]
- Yin, R.Y.; Shangguan, F.Q.; Cui, Z.F. Research on low-carbon development strategies in steel industry: Review and prospect. Chin. Metall. 2025, 35, 1–20. [Google Scholar]
- Du, X.W.; Sun, J.L.; Yang, W.M. Techno-economic simple analysis on desulfurization and its status of blast furnace gas. Guangdong Chem. Ind. 2023, 50, 88–90. [Google Scholar]
- Wei, F.J.; Zhang, X.X.; Liao, J.J.; Guo, J.W.; Bao, W.R.; Chang, L.P. Desulfurization mechanism of an excellent Cu/ZnO sorbent for ultra-deep removal of thiophene in simulated coke oven gas. Chem. Eng. J. 2022, 446, 137140. [Google Scholar] [CrossRef]
- Cao, R.; Ning, P.; Wang, X.Q.; Wang, L.L.; Ma, Y.X.; Xie, Y.B.; Zhang, H.; Qu, J.X. Low-temperature hydrolysis of carbonyl sulfide in blast furnace gas using Al2O3-based catalysts with high oxidation resistance. Fuel 2022, 310, 122295. [Google Scholar] [CrossRef]
- Guo, Y.H. Current station and tendency of purification and upgrading of blast furnace gas. J. Iron Steel Res. 2020, 32, 525–531. [Google Scholar]
- Li, X.; Wang, X.Q.; Wang, L.L.; Ning, P.; Ma, Y.X.; Zhong, L.; Wu, Y.; Yuan, L. Efficient removal of carbonyl sulfur and hydrogen sulfide from blast furnace gas by one-step catalytic process with modified activated carbon. Appl. Surf. Sci. 2022, 579, 152189. [Google Scholar] [CrossRef]
- Zhao, Y.Q.; Dou, J.X.; Li, H.; Dai, R.J.; Bai, H.C.; Rish, S.K.; Chen, X.X.; Xiao, X.X.; Yu, J.L. Low-cost Na2S-EG-MTPB deep eutectic solvents absorb SO2 effectively at a high temperature in flue gas. Sep. Purif. Technol. 2022, 303, 122283. [Google Scholar] [CrossRef]
- Jiang, L.L.; Zhao, Y.S.; Meng, Y.M.; Tu, S.H.; Chen, Z.Y.; Yu, H.T.; Hou, X.G. Numerical simulation of co-injection of pulverized coal and blast furnace gas separated by a membrane. Ironmak. Steelmak. 2021, 48, 324–333. [Google Scholar] [CrossRef]
- Gu, J.N.; Liang, J.X.; Wang, L.J.; Xue, Y.X.; Li, K.; Guo, M.M.; Sun, T.H.; Jia, J.P. Suppressed lattice oxygen mobility on Ag/FeOx catalyst enhances the sulfur selectivity of H2S selective oxidation. J. Hazard. Mater. 2025, 494, 138714. [Google Scholar] [CrossRef]
- Shah, M.S.; Tsapatsis, M.; Siepmann, J.I. Hydrogen sulfide capture: From absorption in polar liquids to oxide, zeolite, and metal–organic framework adsorbents and membranes. Chem. Rev. 2017, 117, 9755–9803. [Google Scholar] [CrossRef] [PubMed]
- Gupta, N.K.; Bae, J.; Kim, K.S. A novel one-step synthesis of Ce/Mn/Fe mixed metal oxide nanocomposites for oxidative removal of hydrogen sulfide at room temperature. RSC Adv. 2021, 11, 26739–26749. [Google Scholar] [CrossRef] [PubMed]
- Meng, F.N.; Di, X.P.; Dong, H.W.; Zhang, Y.; Zhu, C.L.; Li, C.Y.; Chen, Y.J. Ppb H2S gas sensing characteristics of Cu2O/CuO sub-microspheres at low-temperature. Sens. Actuators 2013, 182, 197–204. [Google Scholar] [CrossRef]
- Lin, Y.T.; Li, Y.R.; Wang, B.; Tian, J.L.; Liu, H.Q.; Li, Y.R.; Xu, Z.C.; Cao, Q.; Zhu, T.Y. Pilot-scale testing on catalytic hydrolysis of carbonyl sulfur combined with absorption-oxidation of H2S for blast furnace gas purification. J. Environ. Sci. 2025, 151, 360–372. [Google Scholar] [CrossRef]
- Xiong, Y.R.; Wang, L.L.; Ning, P.; Luo, J.F.; Li, X.; Yuan, L.; Xie, Y.B.; Ma, Y.X.; Wang, X.Q. Constructing oxygen vacancy-enriched Fe3O4@MnO2 core-shell nanoplates for highly efficient catalytic oxidation of H2S in blast furnace gas. Sep. Purif. Technol. 2024, 336, 126234. [Google Scholar] [CrossRef]
- Cao, E.P.; Zheng, Y.H.; Zhang, H.; Wang, J.S.; Li, Y.R.; Zhu, T.Y.; Zhang, Z.G.; Xu, G.W.; Cui, Y.B. In-situ regenerable Cu/Zeolite adsorbent with excellent H2S adsorption capacity for blast furnace gas. Sep. Purif. Technol. 2024, 336, 126305. [Google Scholar] [CrossRef]
- Permatasari, P.; Hendrik, G.P.; Sholihah, F.; Jibran, M. Chemical scrubbing for removal of carbon dioxide and hydrogen sulfide in biogas purification process. In Proceedings of the 6th International Conference on Applied Engineering, ICAE, Batam, Riau Islands, Indonesia, 7 November 2023. [Google Scholar]
- Tarek, M.; Santos, J.S.; Márquez, V.; Fereidooni, M.; Yazdanpanah, M.; Praserthdam, S.; Praserthdam, P. A critical review towards the causes of the iron-based catalysts deactivation mechanisms in the selective oxidation of hydrogen sulfide to elemental sulfur from biogas. J. Energy Chem. 2024, 90, 388–411. [Google Scholar] [CrossRef]
- Jirasansawat, K.; Chiemchaisri, W.; Chiemchaisri, C. Enhancement of sulfide removal and sulfur recovery in piggery wastewater via lighting-anaerobic digestion with bioaugmentation of phototrophic green sulfur bacteria. Environ. Sci. Pollut. Res. 2024, 31, 13414–13425. [Google Scholar] [CrossRef]
- Bhatt, P.M.; Belmabkhout, Y.; Assen, A.H.; Weseliński, Ł.J.; Jiang, H.; Cadiau, A.; Xue, D.X.; Eddaoudi, M. Isoreticular rare earth fcu-MOFs for the selective removal of H2S from CO2 containing gases. Chem. Eng. J. 2017, 324, 392–396. [Google Scholar] [CrossRef]
- Ren, M.L.; Fan, F.C.; Zhou, B.; Liang, X.Y.; Yang, Z. Dynamic simulation of adsorption desulfurization from diesel fuel over activated carbon in the fixed bed. Chem. Eng. Res. Des. 2022, 183, 274–284. [Google Scholar] [CrossRef]
- Paz, L.; Gentil, S.; Fierro, V.; Celzard, A. Activated carbons outperform other sorbents for biogas desulfurization. Chem. Eng. J. 2025, 506, 160304. [Google Scholar] [CrossRef]
- Sun, R.J. Research on New Technology of Blast Furnace Gas Desulfurization. Master’s Thesis, Beijing University of Chemical Technology, Beijing, China, 2020. [Google Scholar]
- Min, G.H.; Park, H.J.; Bhatti, U.H.; Jang, J.T.; Baek, I.H.; Nam, S.C. Hydrogen sulfide removal from low concentration gas streams using metal supported mesoporous silica SBA-15 adsorbent. Microporous Mesoporous Mater. 2023, 362, 112763. [Google Scholar] [CrossRef]
- Watanabe, S. Chemistry of H2S over the surface of common solid sorbents in industrial natural gas desulfurization. Catal. Today 2021, 371, 204–220. [Google Scholar] [CrossRef]
- Yang, C.; Yang, S.; Fan, H.L.; Wang, J.; Wang, H.; Shangguan, J. A sustainable design of ZnO-based adsorbent for robust H2S uptake and secondary utilization as hydrogenation catalyst. Chem. Eng. J. 2020, 382, 122892. [Google Scholar] [CrossRef]
- Guo, Z.C. Basic Research on Microcrystalline Materials and Phase Transfer Catalysts Used to Crude Benzene Desulfurization. Master’s Thesis, Wuhan University of Science and Technology, Wuhan, China, 2024. [Google Scholar]
- Kanca, A.; Alpsoy, Z.; Ata, O.N. Sulfidation performance of unsupported and SBA 15-supported Ca-based mixed metal oxides. Int. J. Hydrogen Energy 2023, 48, 39690–39703. [Google Scholar] [CrossRef]
- Zhan, Y.Y.; Shen, L.J.; Xu, C.B.; Zhao, W.T.; Cao, Y.N.; Jiang, L.L. MOF-derived porous Fe2O3 with controllable shapes and improved catalytic activities in H2S selective oxidation. Crystengcomm 2018, 20, 3449–3454. [Google Scholar] [CrossRef]
- Liu, X.; Zhai, X.X.; Zhao, Y.H.; Shan, L.; Liu, Z.Q.; Liu, Y.F. Sulfur modified N-doped carbocatalysts promote the selectivity for H2S selective oxidation. Appl. Catal. B 2025, 362, 124717. [Google Scholar] [CrossRef]
- Yashina, L.V.; Zyubin, A.S.; Püttner, R.; Zyubina, T.S.; Neudachina, V.S.; Stojanov, P.; Riley, J.; Dedyulin, S.N.; Brzhezinskaya, M.M.; Shtanov, V.I. The oxidation of the PbS (001) surface with O2 and air studied with photoelectron spectroscopy and ab initio modeling. Surf. Sci. 2011, 605, 473–482. [Google Scholar] [CrossRef]
- Umek, P.; Gloter, A.; Pregelj, M.; Dominko, R.; Jagodic, M.; Jaglicic, Z.; Zimina, A.; Brzhezinskaya, M.; Potocnik, A.; Filipic, C.; et al. Synthesis of 3D hierarchical self-assembled microstructures formed from α-MnO2 nanotubes and their conducting and magnetic properties. J. Phys. Chem. C 2009, 113, 14798–14803. [Google Scholar] [CrossRef]
- Wu, M.M.; Su, Z.B.; Fan, H.L.; Mi, J. New way of removing hydrogen sulfide at a high temperature: Microwave desulfurization using an iron-based sorbent supported on active coke. Energy Fuel 2017, 31, 4263–4272. [Google Scholar] [CrossRef]
- Rezaei, S.; Jarligo, M.O.D.; Wu, L.; Kuznicki, S.M. Breakthrough performances of metal-exchanged nanotitanate ETS-2 adsorbents for room temperature desulfurization. Chem. Eng. Sci. 2015, 123, 444–449. [Google Scholar] [CrossRef]
- Oh, W.D.; Lei, J.X.; Veksha, A.; Giannis, A.; Lisak, G.; Chang, V.W.C.; Hu, X.; Lim, T.T. Influence of surface morphology on the performance of nanostructured ZnO-loaded ceramic honeycomb for syngas desulfurization. Fuel 2018, 211, 591–599. [Google Scholar] [CrossRef]
- Feng, Y.; Shi, L.; Zhang, S.S.; Wu, M.M.; Mi, J. Kinetics study of zinc oxide sorbent prepared by different methods for hot coal gas desulfurization. Chem. Ind. Eng. Prog. 2017, 36, 2994–3001. [Google Scholar]
- Wang, J.; Guo, J.; Parnas, R.; Liang, B. Calcium-based regenerable sorbents for high temperature H2S removal. Fuel 2015, 154, 17–23. [Google Scholar] [CrossRef]
- Li, H.F.; Su, S.; Hu, S.; Xu, K.; Jiang, L.; Wang, Y.; Xu, J.; Xiang, J. Effect of preparation conditions on MnxOy/Al2O3 sorbent for H2S removal from high-temperature synthesis gas. Fuel 2018, 223, 115–124. [Google Scholar] [CrossRef]
- Cimino, S.; Lisi, L.; Falco, G.D.; Montagnaro, F.; Balsamo, M.; Erto, A. Highlighting the effect of the support during H2S adsorption at low temperature over composite Zn-Cu sorbents. Fuel 2018, 221, 374–379. [Google Scholar] [CrossRef]
- Sánchez-Hervás, J.M.; Maroño, M.; Fernández-Martínez, R.; Ortiz, I.; Ortiz, R.; Gómez-Mancebo, M.B. Novel ZnO-NiO-graphene-based sorbents for removal of hydrogen sulfide at intermediate temperature. Fuel 2022, 314, 122724. [Google Scholar] [CrossRef]
- Kim, S.; Gupta, N.K.; Bae, J.; Kim, K.S. Fabrication of coral-like Mn2O3/Fe2O3 nanocomposite for room temperature removal of hydrogen sulfide. J. Environ. Chem. Eng. 2021, 9, 105216. [Google Scholar] [CrossRef]
- Xuan, Y.N.; Yu, Q.B.; Qin, Q.; Wang, K.; Duan, W.J.; Liu, K.J.; Zhang, P. Selection of desulfurizer and control of reaction products on flue-gas desulfurization using chemical-looping technology. Energy Fuel 2018, 32, 889–900. [Google Scholar] [CrossRef]
- Xuan, Y.N.; Yu, Q.B.; Gao, H.T.; Wang, K.; Duan, W.J. Modular manganese/diatomite-Santa Barbara Amorphous-15 sorbent for moderate-temperature flue gas desulfurization. Chem. Eng. J. 2020, 395, 124984. [Google Scholar] [CrossRef]
- Li, H.F. The Experimental Research and Mechanism on Composite Sorbent for H2S Removal from Coal Gas. Ph.D. Thesis, Huazhong University of Science and Technology, Wuhan, China, 2020. [Google Scholar]
- Ko, T.H.; Chu, H.; Lin, H.P.; Peng, C.Y. Red soil as a regenerable sorbent for high temperature removal of hydrogen sulfide from coal gas. J. Hazard. Mater. 2006, 136, 776–783. [Google Scholar] [CrossRef] [PubMed]
- Ko, T.H.; Chu, H.; Tseng, J.J. Feasibility study on high-temperature sorption of hydrogen sulfide by natural soils. Chemosphere 2006, 64, 881–891. [Google Scholar] [CrossRef]
- Subsadsana, M.; Kham-or, P.; Sangdara, P.; Suwannasom, P.; Ruangviriyachai, C. Synthesis and catalytic performance of bimetallic NiMo-and NiW-ZSM-5/MCM-41 composites for production of liquid biofuels. J. Fuel Chem. Technol. 2017, 45, 805–816. [Google Scholar] [CrossRef]
- Chang, S.; Ren, G.X.; Gui, Y.H.; Li, Y.M.; Wang, Z.D. Thermodynamic Analysis of 316L Embedded Chromium Infiltration Process Based on HSC-Chemistry. Metal Mater. Metal. Eng. 2023, 51, 16–25. [Google Scholar]
- Wei, J.; Deng, Q.; Liu, X.M.; Gu, X.F.; Wang, W.Z. Application of HSC chemistry software in the determination of chemical thermodynamic function by measuring electromotance. Guangdong Chem. Ind. 2017, 44, 279–280+283. [Google Scholar]
- Westmoreland, P.R.; Harrison, D.P. Evaluation of candidate solids for high-temperature desulfurization of low-Btu gases. Environ. Sci. Technol. 1976, 10, 659–661. [Google Scholar] [CrossRef]
- Abdalla, A.; Farooqui, A.; Mohamedali, M.; Mahinpey, N. Copper-based chemical looping air separation process: Thermo-dynamics, kinetic modeling, and simulation of the fluidized beds. Sep. Purif. Technol. 2024, 335, 126149. [Google Scholar] [CrossRef]
- López-Ortiz, A.; González-Vargas, P.E.; Meléndez-Zaragoza, M.J.; Collins-Martínez, V. Thermodynamic analysis and process simulation of syngas production from methane using CoWO4 as oxygen carrier. Int. J. Hydrogen Energy 2017, 42, 30223–30236. [Google Scholar] [CrossRef]
- Jerndal, E.; Mattisson, T.; Lyngfelt, A. Thermal analysis of chemical-looping combustion. Chem. Eng. Res. Des. 2006, 84, 795–806. [Google Scholar] [CrossRef]
- Wang, Y.K. Application of HSC chemistry software in university chemical scientific research. J. Henan Inst. Edu. 2013, 22, 28–30. [Google Scholar]
- Du, J.F.; Wu, G.H.; Feng, X.H.; Jin, H.; Huang, F.; Wang, H.B. Research on fine desulfurization process route of blast furnace gas in steel industry. Ind. Furn. 2024, 46, 57–61. [Google Scholar]
- Xia, H.; Chang, X.Q.; Liu, B.S. High-temperature H2S removal performance over ordered mesoporous La-Mn-supported Al2O3-CaO sorbents. Chem. Eng. J. 2017, 321, 277–285. [Google Scholar] [CrossRef]
- Mi, J.; Zhang, Y.Y.; Zhu, Y.S.; Guo, T.; Fan, H.L. Semi-coke-supported mixed metal oxides for hydrogen sulfide removal at high temperatures. Environ. Eng. Sci. 2011, 29, 611–616. [Google Scholar]
- Li, T.; Ren, X.R.; Bao, L.X.; Wang, M.J.; Bao, W.R.; Chang, L.P. Effect of lignite as support precursor on deep desulfurization performance of semicoke supported zinc oxide sorbent in hot coal gas. RSC Adv. 2020, 10, 12780–12787. [Google Scholar] [CrossRef]
- Garces, H.F.; Galindo, H.M.; Garces, L.J.; Hunt, J.; Morey, A.; Suib, S.L. Low temperature H2S dry-desulfurization with zinc oxide. Microporous Mesoporous Mater. 2010, 127, 190–197. [Google Scholar] [CrossRef]
- Guo, L.F.; Pan, K.L.; Lee, H.M.; Chang, M.B. High-temperature gaseous H2S removal by Zn–Mn-based sorbent. Ind. Eng. Chem. Res. 2015, 54, 11040–11047. [Google Scholar] [CrossRef]
- Li, R.; Krcha, M.D.; Janik, M.J.; Roy, A.D.; Dooley, K.M. Ce-Mn oxides for high-temperature gasifier effluent desulfurization. Energy Fuel 2012, 26, 6765–6776. [Google Scholar] [CrossRef]
- Vamvuka, D.; Arvanitidis, C.; Zachariadis, D. Flue gas desulfurization at high temperatures: A Review. Environ. Eng. Sci. 2004, 21, 525–547. [Google Scholar] [CrossRef]
- Fang, H.B.; Zhao, J.T.; Fang, Y.T.; Huang, J.J.; Wang, Y. Selective oxidation of hydrogen sulfide to sulfur over activated carbon-supported metal oxides. Fuel 2013, 108, 143–148. [Google Scholar] [CrossRef]
- Wang, J.; Wang, L.L.; Fan, H.L.; Wang, H.; Hu, Y.F.; Wang, Z.D. Highly porous copper oxide sorbent for H2S capture at ambient temperature. Fuel 2017, 209, 329–338. [Google Scholar] [CrossRef]
- Cristiano, D.M.; Mohedano, R.D.A.; Nadaleti, W.C.; Junior, A.B.D.C.; Lourenço, V.A.; Gonçalves, D.F.H.; Filho, P.B. H2S adsorption on nanostructured iron oxide at room temperature for biogas purification: Application of renewable energy. Renew. Energy 2020, 154, 151–160. [Google Scholar] [CrossRef]
- Price of Metal Powder, China Power Network. 2025. Available online: www.cnpowder.com.cn (accessed on 28 April 2025).
- Zhao, R.Z.; Gao, G.P.; Wang, K.; Chen, X.Q.; Ji, W.Q. Current situation and tendency of blast furnace gas fine desulferization technology in iron and steel industry. Environ. Sci. Manag. 2024, 49, 83–88. [Google Scholar]
- Hasegawa, Y.I.; Maki, R.U.; Sano, M.; Miyake, T. Preferential oxidation of CO on copper-containing manganese oxides. Appl. Catal. A-Gen. 2009, 371, 67–72. [Google Scholar] [CrossRef]
- Hu, H.; Wang, S.X.; Zhang, X.L.; Zhao, Q.Z.; Li, J. Study on simultaneous catalytic reduction of sulfur dioxide and nitric oxide on rare earth mixed compounds. J. Rare Earths 2006, 24, 695–698. [Google Scholar] [CrossRef]
- André, L.; Abanades, S.; Cassayre, L. High-temperature thermochemical energy storage based on redox reactions using Co-Fe and Mn-Fe mixed metal oxides. J. Solid State Chem. 2017, 253, 6–14. [Google Scholar] [CrossRef]
- Chanapattharapol, K.C.; Krachuamram, S.; Youngme, S. Study of CO2 adsorption on iron oxide doped MCM-41. Microporous Mesoporous Mater. 2017, 245, 8–15. [Google Scholar] [CrossRef]
- Hiremath, V.; Shavi, R.; Seo, J.G. Controlled oxidation state of Ti in MgO-TiO2 composite for CO2 capture. Chem. Eng. J. 2017, 308, 177–183. [Google Scholar] [CrossRef]
- Kariya, J.; Ryu, J.; Kato, Y. Development of thermal storage material using vermiculite and calcium hydroxide. Appl. Therm. Eng. 2016, 94, 186–192. [Google Scholar] [CrossRef]
- Darband, G.B.; Aliofkhazraei, M.; Hamghalam, P.; Valizade, N. Plasma electrolytic oxidation of magnesium and its alloys: Mechanism, properties and applications. J. Magn. Alloy 2017, 5, 74–132. [Google Scholar] [CrossRef]
- Wang, X.F.; Liu, Y.Y.; Ge, W.; Xu, Y.; Jia, H.L.; Li, Q.B. Complete oxidation of lean methane over metal oxide supported Pd catalysts: Current advancement and future perspectives. J. Environ. Chem. Eng. 2023, 11, 110712. [Google Scholar] [CrossRef]
- Alalwan, H.A.; Alminshid, A.H.; Mohammed, M.M.; Mohammed, M.F. Methane activation on metal oxide nanoparticles: Spectroscopic identification of reaction mechanism. Part. Sci. Technol. 2023, 41, 653–660. [Google Scholar] [CrossRef]
- Zhang, X.L. Synthesis of Manganese Based Catalyst for Desulfurization and Denitrification from Low-Temperature Flue Gas. Master’s Thesis, University of Chinese Academy of Sciences, Beijing, China, 2020. [Google Scholar]
- Maroño, M.; Ortiz, I.; Sánchez, J.M.; Alcaraz, L.; Alguacil, F.J.; López, F.A. Effective removal of hydrogen sulfide using Mn-based recovered oxides from recycled batteries. Chem. Eng. J. 2021, 419, 129669. [Google Scholar] [CrossRef]
- Li, J.; Chang, J.C.; Ma, C.Y.; Feng, T.; Zhang, L.Q.; Wang, T.; Song, Z.L. Innovative research on one-step regeneration and reduction of saturated desulfurization coke: Reactivating desulfurization performance and sulfur recovery. Fuel 2025, 382, 133846. [Google Scholar] [CrossRef]
- Lee, J.; Ahn, Y.; Cho, H.; Kim, J. Economic performance assessment of elemental sulfur recovery with carbonate melt desulfurization process. Process. Saf. Environ. 2022, 158, 123–133. [Google Scholar] [CrossRef]
- Song, J.X.; Liu, M.Y.; Ma, X.C.; Tian, Q.W.; Feng, J.K.; Zhong, X.T.; Duan, F. Thermal decomposition behavior and computational analysis of alpha and beta manganese dioxide nanorods. J. Alloys Compd. 2023, 962, 171208. [Google Scholar] [CrossRef]
- Li, L.; He, M.Z.; Zhang, A.H.; Zhou, J. A study on non-isothermal kinetics of the thermal decompositions of β-manganese dioxide. Thermochim. Acta 2011, 523, 207–213. [Google Scholar] [CrossRef]
- Dearden, B.R.; Edwards, A.C.; Evans, Z.T.; Woolsey, B.; Blair, C.R.; Harrison, N.G.; Harrison, R.G. Synthesis of zinc oxide nanoplates and their use for hydrogen sulfide adsorption. J. Sol-Gel Sci. Technol. 2022, 101, 279–286. [Google Scholar] [CrossRef]
- Hu, J.W.; Poelman, H.; Theofanidis, S.A.; Joos, J.J.; Detavernier, C.; Poelman, D.; Wei, W.; Galvita, V.V. High temperature H2S removal via CO2-assisted chemical looping over ZrO2-modified Fe2O3. Appl. Catal. B 2023, 330, 122591. [Google Scholar] [CrossRef]
- Li, Y.K.; Yang, C.; Fan, H.L.; Wang, Y.S.; Duan, M.X.; Feng, Y.T.; Lin, J.Y. Enhanced sulfur selectivity for H2S catalytic oxidation over Fe2O3@UiO-66 catalyst. Sep. Purif. Technol. 2022, 289, 120791. [Google Scholar] [CrossRef]
- Long, N.; Loc, T. Experimental and modeling study on room-temperature removal of hydrogen sulfide using a low-cost extruded Fe2O3-based adsorbent. Adsorption 2016, 22, 397–408. [Google Scholar] [CrossRef]
- Wang, Y.J.; Liao, J.J.; Chang, L.P.; Bao, W.R.; Ma, J.H. Research progress of the fine desulfurization technology for blast furnace gas. Mod. Chem. Ind. 2025, in press. [Google Scholar]
- Du, S.; Liu, X.; Liu, Y.; Wang, J.H.; Liu, D.X.; Yang, J.X.; Zhang, X. Bamboo derived activated carbon as a highly efficient catalyst for the oxidation and adsorption of hydrogen sulfide at room temperature. Environ. Sci. Nano 2023, 10, 1907–1919. [Google Scholar] [CrossRef]
- Azamuddin, M.F.A.; Abdullah, N.; Nor, N.M. Physicochemical characteristics of activated carbon impregnated with different type of metal oxide nanoparticles towards hydrogen sulfide removal. IOP Conf. Ser. Earth Environ. Sci. 2021, 765, 012030. [Google Scholar] [CrossRef]
- Sun, D.; Yang, L.; Liu, N.; Jiang, W.J.; Jiang, X.; Li, J.J.; Yang, Z.Y.; Song, Z.P. Sulfur resource recovery based on electrolytic manganese residue calcination and manganese oxide ore desulfurization for the clean production of electrolytic manganese. Chin. J. Chem. Eng. 2020, 28, 864–870. [Google Scholar] [CrossRef]
- Alsehli, B.R. Toward sustainable environmental cleanup: Metal–organic frameworks in adsorption-a review. Desalination Water Treat. 2023, 316, 44–70. [Google Scholar] [CrossRef]
- Li, J.N.; Yuan, Y.B.; Zhang, J.D.; Li, N.; Guo, Q.; Yu, Y.Y.; Huang, Q.Q.; Wei, X.P.; Jiang, J. Activation of oxygen by manganese sulfide to produce reactive oxygen: Species, kinetics and reaction mechanisms. J. Civil Environ. Eng. 2025, 47, 221–231. [Google Scholar]
- Song, Y.; Zhang, H.N.; Ren, L. A review of research on MnS inclusions in high-quality steel. Eng. Rep. 2024, 6, e12892. [Google Scholar] [CrossRef]
- Wadhawan, A.R.; Livi, K.J.; Stone, A.T.; Bouwer, E.J. Influence of oxygenation on chromium redox reactions with manganese sulfide (MnS(s)). Environ. Sci. Technol. 2015, 49, 3263–3986. [Google Scholar] [CrossRef]
- Gorynski, C.; Geiß, J.; Anselmi-Tamburini, U.; Winterer, M. Structural and compositional gradients in alternating current sintered aluminum-doped zinc oxide. Acta Mater. 2024, 270, 119855. [Google Scholar] [CrossRef]
- Gnanasagaran, C.L.; Ramachandran, K.; Ramesh, S.; Ubenthiran, S.; Jamadon, N.H. Effect of co-doping manganese oxide and titania on sintering behaviour and mechanical properties of alumina. Ceram. Int. 2023, 49, 5110–5118. [Google Scholar] [CrossRef]











| Component | Hydrogen Sulfide (H2S) | Carbon Based Sulfur (COS) | Methyl Mercaptan (CH3SH) | Thiophene (C4H4S) | Other |
|---|---|---|---|---|---|
| Content | 30.7 | 73.8 | 0.0323 | 0.0176 | <0.01 |
| Metal Oxide | Desulfurization Efficiency/% | Sulfur Capacity /(mg/g-Sorbent) | Experimental Temperature/°C | H2S Concentration /vol.% | Desulfurizer Cost /(Yuan/Kg-Sorbent) | Refs. |
|---|---|---|---|---|---|---|
| Manganese oxide | >99 | 142 | 180 | 0.3 | 12 | [64] |
| Vanadium oxide | 98 | 6.05 | 180 | 0.3 | 88 | [65] |
| Copper oxide | >99 | 94–137 | 30–80 | 0.035 | 150 | [65] |
| Iron oxide | 100 | 1.0–2.5 | 25 | 0.02–0.05 | 790 | [66] |
| Magnesium oxide | 99 | 32.7 | 30 | 0.06 | 180 | [27] |
| Zinc oxide | 99 | 38.5 | 30 | 0.06 | 35 | [27] |
| Sorbents | Efficiency (%) | Capacity (mg/g) | Reusability | Comprehensive Cost | Refs. |
|---|---|---|---|---|---|
| Zinc-based | >99% | 48.7 | No | Difficult to regenerate, hazardous waste | [26,36,60,84] |
| Iron-based | >99% | 16 | No | High replacement | [16,85,86,87,88] |
| Activated carbon | ~95% | 3 | No | Prone to blockage | [9,27,89,90] |
| Manganese-based | ~99% | 142 | Yes | Long service life | [61,64,79] |
Disclaimer/Publisher’s Note: The statements, opinions and data contained in all publications are solely those of the individual author(s) and contributor(s) and not of MDPI and/or the editor(s). MDPI and/or the editor(s) disclaim responsibility for any injury to people or property resulting from any ideas, methods, instructions or products referred to in the content. |
© 2025 by the authors. Licensee MDPI, Basel, Switzerland. This article is an open access article distributed under the terms and conditions of the Creative Commons Attribution (CC BY) license (https://creativecommons.org/licenses/by/4.0/).
Share and Cite
Xuan, Y.; Peng, S.; Tian, H.; Hu, Z.; Yin, Y.; Gao, H. Selection of High-Performance Sorbent for H2S Removal and Regulation of Reaction Products via Thermodynamic Simulation. Materials 2025, 18, 2918. https://doi.org/10.3390/ma18122918
Xuan Y, Peng S, Tian H, Hu Z, Yin Y, Gao H. Selection of High-Performance Sorbent for H2S Removal and Regulation of Reaction Products via Thermodynamic Simulation. Materials. 2025; 18(12):2918. https://doi.org/10.3390/ma18122918
Chicago/Turabian StyleXuan, Yanni, Shuaicheng Peng, Hong Tian, Zhangmao Hu, Yanshan Yin, and Haitao Gao. 2025. "Selection of High-Performance Sorbent for H2S Removal and Regulation of Reaction Products via Thermodynamic Simulation" Materials 18, no. 12: 2918. https://doi.org/10.3390/ma18122918
APA StyleXuan, Y., Peng, S., Tian, H., Hu, Z., Yin, Y., & Gao, H. (2025). Selection of High-Performance Sorbent for H2S Removal and Regulation of Reaction Products via Thermodynamic Simulation. Materials, 18(12), 2918. https://doi.org/10.3390/ma18122918

