Stress Relaxation Behavior of Azido Propellant Based on BAMO-THF at High Temperatures
Abstract
1. Introduction
2. Experimental Section
2.1. Materials
2.2. Sample Preparation
2.3. Experimental Setup
3. Results and Discussion
3.1. Basic Physical Properties of the Propellants
3.1.1. Theoretical Energetic Performance Calculation of the Propellants
3.1.2. Internal Morphology of the Propellants
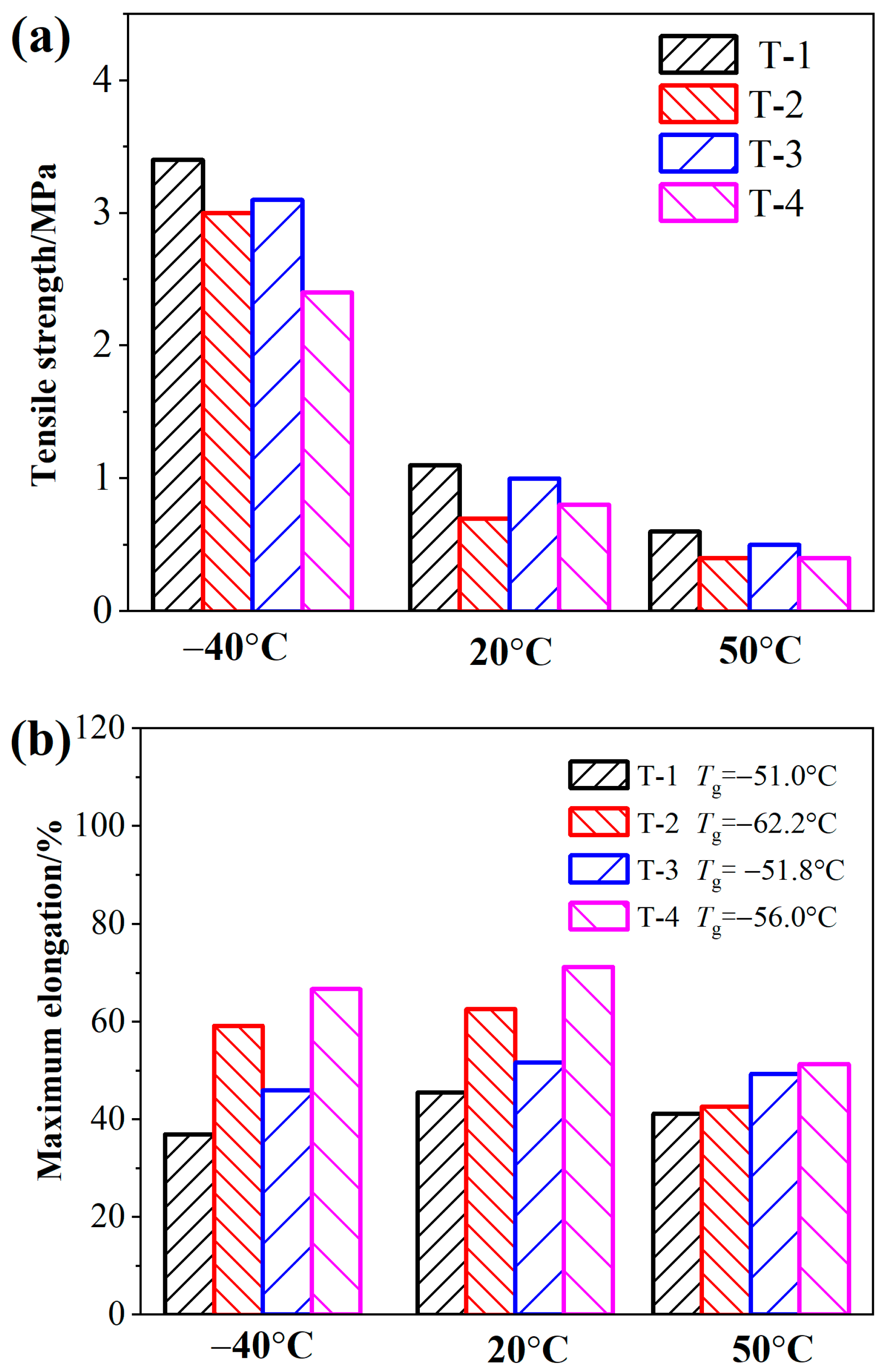
3.1.3. Mechanical Performance of the Propellants
3.2. Stress Relaxation Behavior of the Propellants
3.2.1. Strain Rate Dependence of the Propellant
3.2.2. Temperature Dependence of the Propellant
3.2.3. Formulation Dependence of the Propellants
4. Conclusions
Author Contributions
Funding
Institutional Review Board Statement
Informed Consent Statement
Data Availability Statement
Conflicts of Interest
References
- Davenas, A. Development of Modern Solid Propellants. J. Propuls. Power 2003, 19, 1108–1128. [Google Scholar] [CrossRef]
- Zhai, J.X.; Yang, R.J.; Li, J.M. Catalytic thermal decomposition and combustion of composite BAMO–THF propellants. Combust. Flame 2008, 154, 473–477. [Google Scholar] [CrossRef]
- Chen, T.; Li, W.H.; Jiang, W.; Hao, G.Z.; Xiao, L.; Ke, X.; Liu, J.; Gao, H. Preparation and characterization of RDX/BAMO-THF energetic nanocomposites. J. Energetic Mater. 2018, 36, 424–434. [Google Scholar] [CrossRef]
- Zhai, J.; Zhao, H.; Guo, X.; Li, X.; Song, T. Influence of Temperature on Mechanical Properties of P(BAMO-r-THF) Elastomer. Polymers 2020, 12, 2507. [Google Scholar] [CrossRef]
- Zhai, J.X.; Jia, H.H.; Guo, X.Y. Sequence Structure, Morphology and Viscosity Behavior of 3,3-Bis(azidomethyl)oxetane-Tetrahydrofuran Random Copolyether. Propellants Explos. Pyrotech. 2017, 42, 643–648. [Google Scholar] [CrossRef]
- Kohga, M. Mechanical properties and burning characteristics of AP/HTPB composite propellant using polytetrahydrofuran as a plasticizer. Sci. Technol. Energetic Mater. 2010, 71, 145–150. [Google Scholar]
- Tang, G.; Zhang, Z.; Li, X.; Luo, Y. BAMO-THF copolymer-based energetic thermoplastic polyurethanes with a decent bonding property. Energetic Mater. Front. 2020, 2, 32–39. [Google Scholar] [CrossRef]
- Doi, R.; Kuwahara, T.; Yamamoto, K.; Fukuchi, A.B. Burning characteristics of agglomerated aluminum particles in the reaction zone and the luminous flame of AP composite propellants. Sci. Technol. Energetic Mater. 2016, 77, 13–17. [Google Scholar]
- Jian, X.X.; Hu, Y.W.; Zheng, Q.L. Effect of thermal processing temperature on the microphase separation and mechanical properties of BAMO/THF polyurethane. J. Polym. Eng. 2016, 37, 169–176. [Google Scholar]
- Li, M.M.; Shen, R.Q.; Li, F.S. Molecular Dynamics Simulation of Binding Energies, Mechanical Properties and Energetic Performance of the RDX/BAMO Propellant. Acta Phys.-Chim. Sin. 2011, 27, 1379–1385. [Google Scholar]
- Wada, Y.; Tsutsumi, A.; Seike, Y.; Nishioka, M.; Hori, K. Combustion mechanism of tetra-ol glycidyl azide polymer. Sci. Technol. Energetic Mater. 2008, 69, 143–148. [Google Scholar]
- Barbieri, U.; Polacco, G.; Keicher, T.; Massimi, R. Preliminary Characterization of Propellants Based on p(GA/BAMO) and pAMMO Binders. Propellants Explos. Pyrotech. 2010, 34, 427–435. [Google Scholar] [CrossRef]
- Li, Y.; Zheng, W.; Yin, S.; Pan, R.; Li, W.; Lin, X. Click Chemistry for Linker-Free BAMO-Based Energetic Sequence-Controlled Copolymers. ACS Appl. Polym. Mater. 2024, 6, 287–297. [Google Scholar] [CrossRef]
- Musanic, M.S.; Suceska, M. Dynamic mechanical properties of artificially aged double base rocket propellant and possibilities for prediction of their service lifetime. Cent. Eur. J. Energetic Mater. 2013, 10, 225–244. [Google Scholar]
- Lv, X.; Zhou, W.Y.; Shen, Z.B.; Cui, H.R. Equivalent Principle of Time-Temperature-Strain Rate for Poisson’s Ratio of Composite Solid Propellant. Propellants Explos. Pyrotech. 2020, 45, 118–127. [Google Scholar] [CrossRef]
- Xu, R.; Li, Z.; Chen, Y.; Pei, J.; Zhang, J. Enthalpy of Formation of p(BAMO)-b-GAP and Energetic Characteristics of Solid Propellants Based on the Copolymer. Propellants Explos. Pyrotech. 2021, 46, 969–974. [Google Scholar] [CrossRef]
- Li, Y.; Zheng, W.; Li, W.; Pan, R.; Yin, S.; Lin, X. Energetic binder—P(AMMO-ab-EG) alternate block copolyethers with strict controlled segment length. J. Mol. Struct. 2024, 1300, 137299. [Google Scholar] [CrossRef]
- Walid, M.A.; Liang, G.Z. Different Methods for Developing Relaxation Modulus Master Curves of AP-HTPB Solid Propellant. Chin. J. Energetic Mater. 2017, 25, 810–816. [Google Scholar]
- Miller, T.C.; Wojnar, C.S.; Louke, J.A. Measuring Propellant Stress Relaxation Modulus Using Dynamic Mechanical Analyzer. J. Propuls. Power 2017, 33, 1252–1259. [Google Scholar] [CrossRef]
- Kim, S.H.; Im, Y.T. Experimental study of material behavior of AP-HTPB base composite solid propellant. J. Mech. Sci. Technol. 2019, 33, 3355–3361. [Google Scholar] [CrossRef]
- Bihari, B.K.; Wani, V.S.; Rao, N.P.N.; Singh, P.P.; Bhattacharya, B. Determination of Activation Energy of Relaxation Events in Composite Solid Propellants by Dynamic Mechanical Analysis. Def. Sci. J. 2014, 64, 173–178. [Google Scholar] [CrossRef]
- Lan, Y.H.; Zhai, J.X.; Li, D.H.; Yang, R.J. Multiscale Simulation on the Influence of Dimethyl Hydantoin on Mechanical Properties of GAP/RDX Propellants. Propellants Explos. Pyrotech. 2014, 39, 18–23. [Google Scholar] [CrossRef]
- Deng, J.K.; Wang, X.Q.; Li, G.P.; Luo, Y.J. Effect of Bonding Agent on the Mechanical Properties of GAP High-Energy Propellant. Propellants Explos. Pyrotech. 2017, 42, 394–400. [Google Scholar] [CrossRef]
- Li, M.M.; Li, F.S.; Shen, R.Q.; Guo, X.D. Molecular dynamics study of the structures and properties of RDX/GAP propellant. J. Hazard. Mater. 2011, 186, 2031–2036. [Google Scholar] [CrossRef] [PubMed]
- Hua, C.; Zhang, P.J.; Lu, X.J.; Huang, M.; Dai, B.; Fu, H. Research on the Size of Defects inside RDX/HMX Crystal and Shock Sensitivity. Propellants Explos. Pyrotech. 2013, 38, 775–780. [Google Scholar] [CrossRef]
- Zheng, Q.L.; Liu, H.T.; Hu, Y.W.; Jian, X.X.; Xiao, L.Q.; Zhou, W.L. Impact Damage and Dynamic Mechanical Behaviors of Azido Polyether Propellant at Low Temperature. Chin. J. Energetic Mater. 2017, 25, 354–359. [Google Scholar]
- Li, M.; Zhao, F.Q.; Xu, S.Y.; Gao, H.X.; Yi, J.H.; Pei, Q.; Tan, Y.; Li, N.; Li, X. Thermal Decomposition Behavior of Retired Single-base Propellant. Chin. J. Explos. Propellants 2013, 36, 73–77. [Google Scholar]
- Liu, Y.X.; Qian, W.J.; Wang, L.; Xue, Y.L.; Hou, C.T.; Wu, S.C. In situ X-ray tomography study on internal damage evolution of solid propellant for carrier rockets. Mat. Sci. Eng. A-Struct. 2023, 882, 145451. [Google Scholar]
- Wen, Y.; Mo, H.; Tan, B.; Lu, X.; Wang, B.; Liu, N. Progress in synthesis and properties of oxetane–based energetic polymers. Eur. Polym. J. 2023, 194, 112161. [Google Scholar]
- Reis, P.N.B.; Neto, M.A.; Amaro, A.M. Effect of hostile solutions on stress relaxation of carbon/epoxy composites. Polym. Degrad. Stab. 2019, 165, 60–67. [Google Scholar] [CrossRef]
- Bihari, B.K.; Rao, N.; Gupta; Murthy, K.P.S. A study on creep behavior of composite solid propellants using the kelvin-Voigt model. Cent. Eur. J. Energetic Mater. 2017, 14, 742–756. [Google Scholar] [CrossRef]
- Matson, S.M.; Rätzke, K.; Shaikh, M.Q.; Litvinova, E.G.; Shishatskiy, S.M.; Peinemann, K.V.; Khotimskiy, V.S. Macrochain configuration, stucture of free volume and transport properties of poly(1-trimethylsilyl-1-propyne) and poly(1-trimethylgermyl-1-propyne). Polym. Sci. Ser. A 2012, 54, 671–677. [Google Scholar] [CrossRef]
- Hu, Y.W.; Zuo, H.L.; Zheng, Q.L.; Tu, R.J.; Zhang, H.K.; Zhou, W.L. Combustion property of low burning rate of NEPE propellant applied to single chamber dual thrust rocket motor. J. Solid Rocket Technol. 2018, 41, 41–46. [Google Scholar]
- Aghaziarati, M.; Fotouhi, F.F.; Hajmohammadi, A.A. Synthesis of BAMO-THF energetic binder. J. Energetic Mater. 2011, 6, 63–67. [Google Scholar]








| Formulations | AP/HMX/Al | R | CD | CT | Plasticizers | pl/po | Chain Extenders |
|---|---|---|---|---|---|---|---|
| T–1 | 45/12/18 | 1.06 | 0.8 | 0.25 | A3 | 1.0 | MOCA |
| T–2 | 42/15/18 | 1.06 | 0.8 | 0.25 | A3/BuNENA | 1.0 | MOCA |
| T–3 | 45/12/18 | 1.06 | 0.8 | 0.25 | A3 | 1.0 | MOCA/BDO |
| T–4 | 45/12/18 | 1.06 | 0.8 | 0.25 | A3 | 1.2 | MOCA/BDO |
| Formulations | Density (g cm−3) | Theoretical Specific Impulse (s) | Heat of Explosion (kJ kg−1) | Theoretical Flame Temperature (K) |
|---|---|---|---|---|
| T-1 | 1.79 | 268.2 | 5659 | 3684 |
| T-2 | 1.79 | 269.8 | 5606 | 3645 |
| T-3 | 1.79 | 268.2 | 5659 | 3684 |
| T-4 | 1.79 | 268.0 | 5654 | 3681 |
Disclaimer/Publisher’s Note: The statements, opinions and data contained in all publications are solely those of the individual author(s) and contributor(s) and not of MDPI and/or the editor(s). MDPI and/or the editor(s) disclaim responsibility for any injury to people or property resulting from any ideas, methods, instructions or products referred to in the content. |
© 2024 by the authors. Licensee MDPI, Basel, Switzerland. This article is an open access article distributed under the terms and conditions of the Creative Commons Attribution (CC BY) license (https://creativecommons.org/licenses/by/4.0/).
Share and Cite
Hu, Y.; Song, X.; Yang, W.; Kang, J. Stress Relaxation Behavior of Azido Propellant Based on BAMO-THF at High Temperatures. Materials 2025, 18, 19. https://doi.org/10.3390/ma18010019
Hu Y, Song X, Yang W, Kang J. Stress Relaxation Behavior of Azido Propellant Based on BAMO-THF at High Temperatures. Materials. 2025; 18(1):19. https://doi.org/10.3390/ma18010019
Chicago/Turabian StyleHu, Yiwen, Xiuduo Song, Weilu Yang, and Jian Kang. 2025. "Stress Relaxation Behavior of Azido Propellant Based on BAMO-THF at High Temperatures" Materials 18, no. 1: 19. https://doi.org/10.3390/ma18010019
APA StyleHu, Y., Song, X., Yang, W., & Kang, J. (2025). Stress Relaxation Behavior of Azido Propellant Based on BAMO-THF at High Temperatures. Materials, 18(1), 19. https://doi.org/10.3390/ma18010019

