Properties and Performance of Epoxy Resin/Boron Acid Composites
Abstract
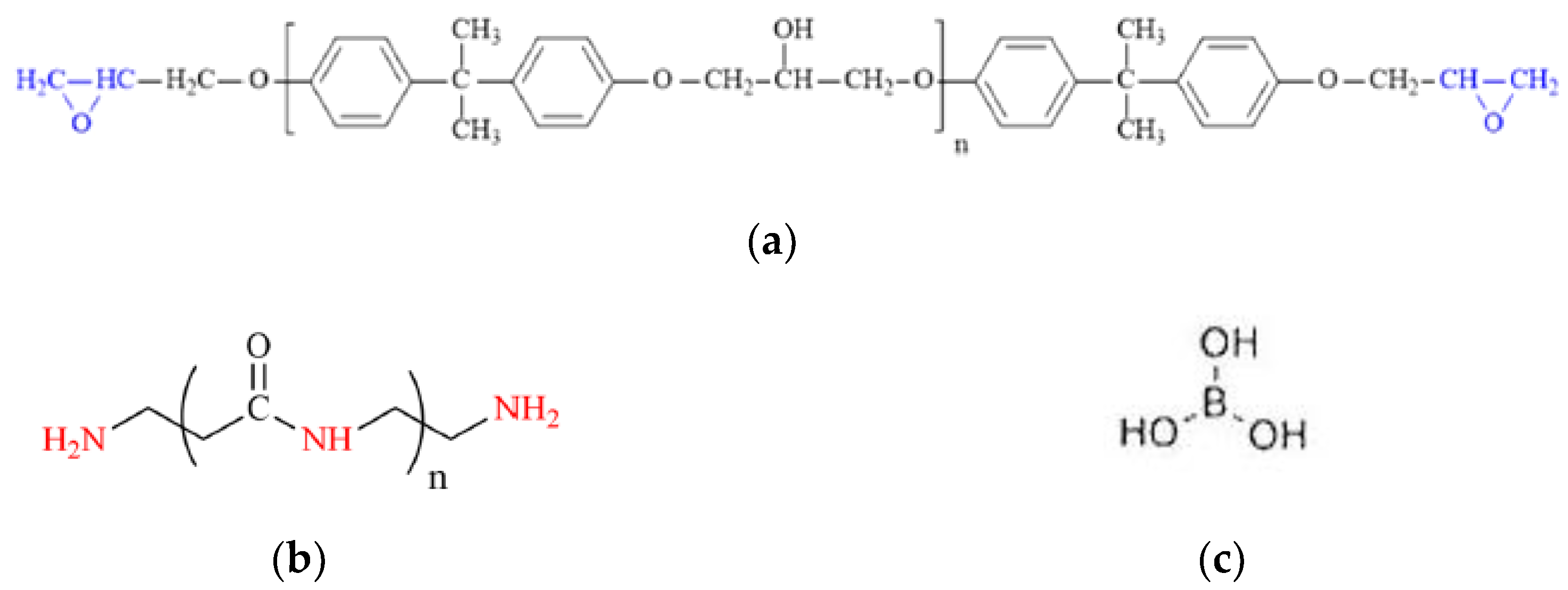
1. Introduction
2. Materials and Methods
2.1. Boron Acid/Epoxy Resin Composites
2.2. Preparation of Boron Acid/Epoxy Composites and Their Mechanical and Thermal Characterization
- Preparation of cylindrical polymeric molds;
- Weighing the ingredients;
- Homogenization of boric acid in the epoxy resin;
- Introduction of the curing agent;
- Dispersing the curing agent in the modified epoxy resin;
- Curing and post-curing processes;
- Finishing the cured epoxy composite samples and conditioning them before any tests.
2.3. Flammability Tests
3. Results
3.1. Mechanical Tests
3.1.1. Compressive Strength
- −6.8% for the composite containing 0.5 g boric acid (E53/ET/H3BO3/0.5);
- −6.3% for the composite with 1.0 g boric acid (E53/ET/H3BO3/1.0);
- −8.2% for the composite with 1.5 g boric acid (E53/ET/H3BO3/1.5).
- (i)
- For epoxy composites cured using the amine curing agent:
- -
- The correlation coefficient (r) was found to be −0.854, which proves a strong linear relationship between the compressive strength of epoxy composites and the boric acid content in the composites;
- -
- The correlation coefficient is negative, which means that as the amount of boric acid in the composite increases, the strength decreases;
- -
- The coefficient of determination (r2) is 0.729, which means that almost 73% of the variation in the compressive strength can be attributed to the boric acid content in the epoxy composite.
- (ii)
- For epoxy composites cured using the polyamide curing agent:
- -
- The correlation coefficient (r) was found to be −0.860, which again proves a strong linear relationship between the compressive strength of these epoxy composites and boric acid content;
- -
- The correlation coefficient is negative, which indicates that the strength decreases as the amount of boric acid in the composite increases;
- -
- There was a similar relationship as that in the case of the boron acid/epoxy resin composite hardened by amine curing agent.
3.1.2. Compressive Modulus
- (i)
- For epoxy composites cured using the amine curing agent:
- -
- A correlation coefficient (r) equal to −0.533 proves a moderate linear relationship between the compressive modulus of the epoxy composites and boric acid content;
- -
- The correlation coefficient is found to be negative, indicating that the strength decreases as the amount of boric acid in the composite increases.
- (ii)
- For epoxy composites cured using the polyamide curing agent:
- -
- A correlation coefficient (r) of 0.603 again indicates a moderate linear relationship between the compressive strength of this type of epoxy composite and the boric acid content;
- -
- In this case, the correlation coefficient is positive, which means that upon increasing the amount of boric acid in the composite, its compressive strength also increases;
- -
- There is an inverse relationship with respect to the boron acid/epoxy resin composites cured using the amine curing agent.
3.1.3. Compressive Strain
3.2. Thermal Analyses
3.2.1. Glass Transition Temperature
3.2.2. Thermogravimetric Analysis
3.3. Flammability Tests
4. Discussion
5. Conclusions
- First, analyzing the effect of the type of curing agent, amine-cured epoxy composites exhibit higher compressive strength values and greater glass transition temperatures than polyamide-cured ones, regardless of the type of epoxy resin;
- Higher glass transition temperatures using the amine curing agent are also achieved when boric acid is added to the epoxy resin. The only exception is represented by the epoxy composite containing the highest boric acid content;
- The results of mechanical tests in compression mode do not indicate a clear trend of the influence of boric acid content on the mechanical characteristics of the tested epoxy composites. Similarly, even the Tg values, calculated by DSC analysis, appear to be unaffected by the presence and content of this additive. From an economic point of view, therefore, lower boric acid content could be used to obtain the same characteristics at a lower cost for raw materials;
- Since the results of the thermogravimetric (TGA) tests did not provide conclusive results on the effect of the presence of boric acid on the thermal degradation of the resin, the flame behavior of the epoxy systems under analysis was analyzed;
- The values of the linear burning rate obtained for the epoxy resin composites cured using the polyamide agent were significantly greater (i.e., more than twice as high) than those measured on epoxy resin composites cured using an amine, which proves that the epoxy system cured using a polyamide is more susceptible to combustion;
- A beneficial effect of the addition of boric acid on epoxy composites has been observed, manifested in a decrease in the linear burning rate as the content of this compound increases;
- The maximum temperature in the combustion area of polyamide-cured epoxy resin composites increases with burning time, but it remains lower than that measured for amine-cured epoxy resin composites; this represents an advantage in the event of fire.
Author Contributions
Funding
Institutional Review Board Statement
Informed Consent Statement
Data Availability Statement
Conflicts of Interest
References
- Lee, H.L.; Neville, H. Handbook of Epoxy Resins; McGraw-Hill: New York, NY, USA, 1988. [Google Scholar]
- Pertie, E.M. Epoxy Adhesive Formulations; McGraw-Hill: New York, NY, USA, 2006. [Google Scholar]
- Licari, J.J.; Swanson, D.W. Chemistry, Formulation, and Properties of Adhesives. In Adhesives Technology for Electronic Applications, 2nd ed.; Licari, J.J., Swanson, D.W., Eds.; William Andrew Publishing: Waltham, MA, USA, 2011; Volume 3, pp. 75–141. [Google Scholar]
- Fang, M.; Qian, J.; Wang, X.; Chen, Z.; Guo, R.; Shi, Y. Synthesis of a Novel Flame Retardant Containing Phosphorus, Nitrogen, and Silicon and Its Application in Epoxy Resin. ACS Omega 2021, 6, 7094–7105. [Google Scholar] [CrossRef]
- Sukanto, H.; Raharjo, W.W.; Ariawan, D.; Triyono, J.; Kaavesina, M. Epoxy resins thermosetting for mechanical engineering. Open Eng. 2021, 11, 797–814. [Google Scholar] [CrossRef]
- Chen, C.; Li, B.; Kanari, M.; Lu, D. Epoxy adhesives. In Adhesives and Adhesive Joints in Industry Applications; Rudawska, A., Ed.; IntechOpen: London, UK, 2019; Volume 3. [Google Scholar] [CrossRef]
- Rudawska, A. Epoxy adhesives. In Handbook of Adhesive Technology; Pizzi, A., Mittal, K.Z., Eds.; CRS Press Taylor & Frances Group: Boca Raton, FL, USA, 2018; pp. 415–442. [Google Scholar]
- Yang, S.; Zhang, Q.; Hu, Y. Synthesis of a novel flame retardant containing phosphorus, nitrogen and boron and its application in flame-retardant epoxy resin. Polym. Degrad. Stab. 2016, 133, 358–366. [Google Scholar] [CrossRef]
- Liu, W.C.; Varley, R.J.; Simon, G.P. Phosphorus-Containing Diamine for Flame Retardancy of High Functionality Epoxy Resins. Part II. The Thermal and Mechanical Properties of Mixed Amine Systems. Polymer 2006, 47, 2091–2098. [Google Scholar] [CrossRef]
- Hamciuc, C.; Vlad-Bubulac, T.; Serbezeanu, D.; Carja, I.-D.; Hamciuc, E.; Anghel, I.; Enciu, V.; Şofran, I.-E.; Lisa, G. New fire-resistant epoxy thermosets: Nonisothermal kinetic study and flammability behavior. J. Polym. Eng. 2020, 40, 21–29. [Google Scholar] [CrossRef]
- Rudawska, A. Mechanical Properties of Epoxy Compounds Based on Bisphenol a Aged in Aqueous Environments. Polymers 2021, 13, 952. [Google Scholar] [CrossRef]
- Garcia, F.G.; Soares, B.G. Determination of the epoxide equivalent weight of epoxy resins based on diglycidyl ether of bisphenol A (DGEBA) by proton nuclear magnetic resonance. Polym. Test. 2003, 22, 51–56. [Google Scholar] [CrossRef]
- Saeedi, I.A.; Andritsch, T.; Vaughan, A.S. On the Dielectric Behavior of Amine and Anhydride Cured Epoxy Resins Modified Using Multi-Terminal Epoxy Functional Network Modifier. Polymers 2019, 11, 1271. [Google Scholar] [CrossRef]
- Frigione, M.; Maffezzoli, A. Curing agents. In Encyclopedia of Composites, 2nd ed.; Nicolais, L., Borzacchiello, A., Lee, S.M., Eds.; John Wiley & Sons: Hoboken, NJ, USA, 2012; Volume 1, pp. 643–648. [Google Scholar]
- Rudawska, A.; Frigione, M. Cold-cured bisphenolic epoxy adhesive filled with low amounts of CaCO3: Effect of the filler on the durability to aqueous environments. Materials 2021, 14, 1324. [Google Scholar] [CrossRef]
- Bereska, B.; Iłowska, J.; Czaja, K.; Bereska, A. Hardeners for epoxy resins. Chem. Ind. 2014, 4, 443–448. [Google Scholar]
- Ellis, B. (Ed.) Chemistry and Technology of Epoxy Resins, 1st ed.; Springer Science + Business Media: Dordrecht, The Netherlands, 1993. [Google Scholar]
- Hamerton, I. Recent Developments in Epoxy Resins, Rapra Review Reports, 2nd ed.; Rapra Technology Limited: Shropshire, UK, 1997. [Google Scholar]
- Gotto, J. Epoxy Curing Agents—Part 1: Amines. Available online: https://polymerinnovationblog.com/epoxy-curing-agents-part-1-amines/ (accessed on 10 September 2023).
- May, C.A. Epoxy Resins: Chemistry and Technology; M. Dekker: New York, NY, USA, 1988. [Google Scholar]
- Ignatenko, V.Y.; Ilyin, S.O.; Kostyuk, A.V.; Bondarenko, G.N.; Antonov, S.V. Acceleration of epoxy resin curing by using a combination of aliphatic and aromatic amines. Polym. Bull. 2020, 77, 1519–1540. [Google Scholar] [CrossRef]
- Miturska, I.; Rudawska, A.; Müller, M.; Valášek, P. The Influence of Modification with Natural Fillers on the Mechanical Properties of Epoxy Adhesive Compositions after Storage Time. Materials 2020, 13, 291. [Google Scholar] [CrossRef]
- He, H.; Li, K.; Wang, J.; Sun, G.; Li, Y.; Wang, J. Study on thermal and mechanical properties of nano-calcium carbonate/epoxy composites. Mater. Des. 2011, 32, 4521–4527. [Google Scholar] [CrossRef]
- Rudawska, A. Experimental study of mechanical properties of epoxy compounds modified with calcium carbonate and carbon after hygrothermal exposure. Materials 2020, 13, 5439. [Google Scholar] [CrossRef]
- Hamciuc, C.; Vlad-Bubulac, T.; Serbezeanu, D.; Macsim, A.-M.; Lisa, G.; Anghel, I.; Şofran, I.-E. Effects of Phosphorus and Boron Compounds on Thermal Stability and Flame Retardancy Properties of Epoxy Composites. Polymers 2022, 14, 4005. [Google Scholar] [CrossRef]
- Jeencham, R.; Suppakarn, N.; Jarukumjorn, K. Effect of flame retardants on flame retardant, mechanical, and thermal properties of sisal fiber/polypropylene composites. Compos. Part B Eng. 2014, 56, 249–253. [Google Scholar] [CrossRef]
- Rudawska, A.; Sarna-Boś, K.; Rudawska, A.; Olewnik-Kruszkowska, E.; Frigione, M. Biological Effects and Toxicity of Compounds Based on Cured Epoxy Resins. Polymers 2022, 14, 4915. [Google Scholar] [CrossRef]
- Jin, Z.; Liu, H.; Wang, Z.; Zhang, W.; Chen, Y.; Zhao, T.; Meng, G.; Liu, H.; Liu, H. Enhancement of anticorrosion and antibiofouling performance of self-healing epoxy coating using nano-hydrotalcite materials and bifunctional biocide sodium pyrithione. Prog. Org. Coat. 2022, 172, 107121. [Google Scholar] [CrossRef]
- Bourbigot, S.; Duquesne, S. Fire retardant polymers: Recent developments and opportunities. J. Mater. Chem. 2007, 17, 2283–2300. [Google Scholar] [CrossRef]
- Hull, T.R.; Kandola, B.K. Fire Retardancy of Polymers: New Strategies and Mechanisms; RSC Publishing: Cambridge, UK, 2009. [Google Scholar]
- Shen, K.K. Recent Advances in Boron-Based Flame Retardants. In Flame Retardant Polymeric Materials; Hu, Y., Wang, X., Eds.; CRC Press: London, UK, 2019; Volume 6, pp. 97–119. [Google Scholar]
- Levchik, S.; Piotrowski, A.; Weil, E.D.; Yao, Q. New Developments in Flame Retardancy of Epoxy Resins. Polym. Degrad. Stab. 2005, 88, 57–62. [Google Scholar] [CrossRef]
- Chen, Y.; Duan, H.; Ji, S.; Ma, H. Novel phosphorus/nitrogen/boron-containing carboxylic acid as co-curing agent for fire safety of epoxy resin with enhanced mechanical properties. J. Hazard. Mater. 2021, 402, 123769. [Google Scholar] [CrossRef]
- Kumar, R.; Gunjal, J.; Chauhan, S. Effect of borax-boric acid and ammonium polyphosphate on flame retardancy of natural fiber polyethylene composites. Maderas Cienc. Tecnol. 2022, 24, 1–10. [Google Scholar] [CrossRef]
- Camino, G.; Delobel, R. Intumescence. In Fire Retardancy of Polymeric Materials; Grand, A.F., Wilkie, C.A., Eds.; Marcel Dekker: New York, NY, USA, 2000; Chapter 7; pp. 217–243. [Google Scholar]
- Demirhan, Y.; Yurtseven, R.; Usta, N. The effect of boric acid on flame retardancy of intumescent flame retardant polypropylene composites including nanoclay. J. Thermoplast. Compos. Mater. 2023, 36, 1187–1214. [Google Scholar] [CrossRef]
- Kicko-Walczak, E.; Jankowski, P. Effect of halogen free modification of epoxy resins on their fire retardancy levels. Polimery 2005, 50, 860–867. [Google Scholar] [CrossRef]
- Shen, J.; Liang, J.; Lin, X.; Lin, H.; Yu, J.; Wang, S. The Flame-Retardant Mechanisms and Preparation of Polymer Composites and Their Potential Application in Construction Engineering. Polymers 2022, 14, 82. [Google Scholar] [CrossRef]
- Nazarenko, O.B.; Bukhareva, P.B.; Melnikova, T.V.; Visakh, P.M. Effect of Boric Acid on Volatile Products of Thermooxidative Degradation of Epoxy Polymers. J. Phys. Conf. Ser. 2016, 671, 012041. [Google Scholar] [CrossRef]
- Shen, K.K.; Kochesfahani, S.H.; Jouffret, F. Boron Based Flame Retardants and Flame Retardancy. In Fire Retardancy of Polymeric Materials, 2nd ed.; Wilkie, C.A., Morgan, A.B., Eds.; CRC Press: Boca Raton, FL, USA, 2009. [Google Scholar]
- Schartel, B.; Kebelmann, K. Fire Testing for the Development of Flame Retardant Polymeric Materials. In Flame Retardant Polymeric Materials: A Handbook; Hu, Y., Wang, X., Eds.; CRC Press: London, UK, 2019; Volume 3, pp. 35–55. [Google Scholar] [CrossRef]
- Visakh, P.M.; Nazarenko, O.B.; Amelkovich, Y.A.; Melnikova, T.V. Effect of zeolite and boric acid on epoxy-based composites. Polym. Adv. Technol. 2016, 27, 1098–1101. [Google Scholar] [CrossRef]
- Schartel, B. Phosphorus-based Flame Retardancy Mechanisms—Old Hat or a Starting Point for Future Development? Materials 2010, 3, 4710–4745. [Google Scholar] [CrossRef]
- Kandola, B.K.; Magnoni, F.; Ebdon, J.R. Flame retardants for epoxy resins: Application-related challenges and solutions. J. Vinyl Addit. Technol. 2022, 28, 17–49. [Google Scholar] [CrossRef]
- Konstantinova, A.; Yudaev, P.; Orlov, A.; Loban, O.; Lukashov, N.; Chistyakov, E. Aryloxyphosphazene-Modified and Graphite-Filled Epoxy Compositions with Reduced Flammability and Electrically Conductive Properties. J. Compos. Sci. 2023, 7, 417. [Google Scholar] [CrossRef]
- Orlov, A.; Konstantinova, A.; Korotkov, R.; Yudaev, P.; Mezhuev, Y.; Terekhov, I.; Gurevich, L.; Chistyakov, E. Epoxy Compositions with Reduced Flammability Based on DER-354 Resin and a Curing Agent Containing Aminophosphazenes Synthesized in Bulk Isophoronediamine. Polymers 2022, 14, 3592. [Google Scholar] [CrossRef]
- Terekhov, I.V.; Chistyakov, E.M.; Filatov, S.N.; Deev, I.S.; Kurshev, E.V.; Lonskii, S.L. Factors Influencing the Fire-Resistance of Epoxy Compositions Modified with Epoxy-Containing Phosphazenes. Inorg. Mater. Appl. Res. 2019, 10, 1429–1435. [Google Scholar] [CrossRef]
- Benin, V.; Cui, X.; Morgan, A.B.; Seiwert, K. Synthesis and Flammability Testing of Epoxy Functionalized Phosphorous-Based Flame Retardants. J. Appl. Polym. Sci. 2015, 132, 1–10. [Google Scholar] [CrossRef]
- Nagieb, Z.A.; Nassar, M.A.; El-Meligy, M.G. Effect of Addition of Boric Acid and Borax on Fire-Retardant and Mechanical Properties of Urea Formaldehyde Saw Dust Composites. Int. J. Carbohydr. Chem. 2011, 2011, 146763. [Google Scholar] [CrossRef]
- Rudawska, A.; Worzakowska, M.; Bociąga, E.; Olewnik-Kruszkowska, E. Investigation of selected properties of adhesive compositions based on epoxy resins. Int. J. Adhes. Adhes. 2019, 92, 23–36. [Google Scholar] [CrossRef]
- Ciech Sarzyna Catalogue. Available online: https://sarzynachemical.pl/ (accessed on 28 September 2023).
- Awada, H.; Montplaisir, D.; Daneault, C. The Development of a Composite Based on Cellulose Fibres and Polyvinyl Alcohol in the Presence of Boric Acid. BioResources 2014, 9, 3439–3448. [Google Scholar] [CrossRef]
- Bagci, M.; Imrek, H. Solid particle erosion behaviour of glass fibre reinforced boric acid filled epoxy resin composites. Tribol. Int. 2011, 44, 1704–1710. [Google Scholar] [CrossRef]
- Shen, S.; Sun, Y.; Wang, D.; Zhang, Z.; Shi, Y.-E.; Wang, Z. Efficient blue TADF-type organic afterglow material via boric acid-assisted confinement. Chem. Commun. 2022, 58, 11418–11421. [Google Scholar] [CrossRef]
- Murat Unlu, S.; Tayfun, U.; Yildirim, B.; Dogan, M. Effect of boron compounds on fire protection properties of epoxy based intumescent coating. Fire Mater. 2017, 41, 17–28. [Google Scholar] [CrossRef]
- Dagdag, O.; Hamed, O.; Erramli, H.; El Harfi, A. Anticorrosive Performance Approach Combining an Epoxy Polyaminoamide–Zinc Phosphate Coatings Applied on Sulfo-tartaric Anodized Aluminum Alloy 5086. J. Bio-Tribo-Corros. 2018, 4, 52. [Google Scholar] [CrossRef]
- Rabiej, M. Statistics with the Statistica Program (Statystyka z Programem Statistica); Helion: Gliwice, Poland, 2012. (In Polish) [Google Scholar]
- Rudawska, A. Mechanical properties of epoxy compounds based on unmodified epoxy resin modified with boric acid as an antiseptic. Materials 2024, 17, 259. [Google Scholar] [CrossRef] [PubMed]
- Mays, C.G.; Hutchinson, A.R. Adhesives in Civil Engineering; Cambridge University Press: Cambridge, UK, 1992; ISBN 0-521-32677-X. [Google Scholar]
- Kostrzewa, M.; Bakar, M.; Pawelec, Z.; Smoliński, N. Mechanical properties of polymer mixtures with interpenetrating spatial. Tribologia 2011, 239, 89–100. (In Polish) [Google Scholar]
- Kostrzewa, M.; Bakar, M.; Białkowska, A.; Szymańska, J.; Kucharczyk, W. Structure and properties evaluation of epoxy resin modified with polyurethane based on polymeric MDI and different polyols. Polym. Polym. Comp. 2019, 27, 35–42. [Google Scholar] [CrossRef]
- Hergenrother, P.M.; Thompson, C.M.; Smith, J.G.; Connell, J.W.; Hinkley, J.A.; Lyon, R.E.; Moulton, R. Flame retardant aircraft epoxy resins containing phosphorus. Polymer 2005, 46, 5012–5024. [Google Scholar] [CrossRef]






















| Properties | Curing Agent Type | |
|---|---|---|
| Amine | Polyamide | |
| Adduct of Aliphatic Amine (Triethylenetetramine) and Aromatic Glycidyl Ether | Polyaminoamide | |
| Trade Name | ||
| ET | PAC | |
| Amine number [mg KOH/g] | 700–900 | 290–360 |
| Viscosity 25 °C [m·Pas] | 200–300 | 10,000–25,000 |
| Density at 20 °C [g/cm3] | 1.02–1.05 | 1.10–1.20 |
| Stoichiometric ratio: epoxy resin/curing agent | 100:18 | 100:80 |
| Resin | Curing Agent | Boric Acid (H3BO3) Content (%/per 100 g Resin) | Denotation |
|---|---|---|---|
| Epoxy resin average molecular weight ≤ 700 (Epidian 53) | Amine (ET) | 0.5 | E53/ET/H3BO3/0.5 |
| 1.0 | E53/ET/H3BO3/1.0 | ||
| 1.5 | E53/ET/H3BO3/1.5 | ||
| 0.0 | E53/ET | ||
| Polyamide (PAC) | 0.5 | E53/PAC/H3BO3/0.5 | |
| 1.0 | E53/PAC/H3BO3/1.0 | ||
| 1.5 | E53/PAC/H3BO3/1.5 | ||
| 0.0 | E53/PAC |
| X Variable | Amount of Boric Acid | |
|---|---|---|
| Y Variable | Compressive Strength of Boron Acid/Epoxy Resin Composites | |
| Cured Using Amine Curing Agent (Base: E53/ET) | Cured Using Polyamide Curing Agent (Base: E53/PAC) | |
| r (X, Y) | −0.854 | −0.860 |
| r2 | 0.729 | 0.740 |
| t | −2.321 | −2.385 |
| p | 0.014 | 0.014 |
| Regression coefficient X to Y | −3.820 | −5.460 |
| Regression coefficient Y to X | −0.191 | −0.136 |
| X Variable | Amount of Boric Acid | |
|---|---|---|
| Y Variable | Compressive Modulus of Boron Acid/Epoxy Resin Composites | |
| Cured Using Amine Curing Agent (Base: E5/ET) | Cured Using Polyamide Curing Agent (Base: E5/IDA) | |
| R (X, Y) | −0.533 | 0.603 |
| r2 | 0.284 | 0.364 |
| t | −0.890 | 1.069 |
| p | 0.046 | 0.039 |
| Regression coefficient X to Y | 7.160 | 7.240 |
| Regression coefficient Y to X | −0.004 | 0.005 |
| X Variable | Amount of Boric Acid | |
|---|---|---|
| Y Variable | Compressive Strain of Boron Acid/Epoxy Resin Composites | |
| Cured Using Amine Curing Agent (Base: E5/ET) | Cured Using Polyamide Curing Agent (Base: E5/IDA) | |
| r (X, Y) | −0.772 | 0.562 |
| r2 | 0.597 | 0.316 |
| t | −1.720 | 0.961 |
| p | 0.046 | 0.043 |
| Regression coefficient X to Y | −0.760 | 0.260 |
| Regression coefficient Y to X | −0.785 | 1.215 |
| System | Glass Transition Temperature (Tg) [°C] |
|---|---|
| E53/ET E53/ET/H3BO3/0.5 E53/ET/H3BO3/1.0 E53/ET/H3BO3/1.5 E53/PAC E53/PAC/H3BO3/0.5 E53/PAC/H3BO3/1.0 E53/PAC/H3BO3/1.5 | 60.8 |
| 58.6 | |
| 59.8 | |
| 60.6 | |
| 38.6 | |
| 39.9 | |
| 38.5 | |
| 40.7 |
| System | Onset Temperature [°C] | Endset Temperature [°C] |
|---|---|---|
| E53/ET E53/ET/H3BO3/0.5 E53/ET/H3BO3/1.0 E53/ET/H3BO3/1.5 E53/PAC E53/PAC/H3BO3/0.5 E53/PAC/H3BO3/1.0 E53/PAC/H3BO3/1.5 | 347.8 | 408.8 |
| 349.3 | 412.9 | |
| 349.7 | 410.5 | |
| 341.3 | 407.8 | |
| 351.7 | 453.2 | |
| 348.6 | 452.0 | |
| 349.2 | 452.8 | |
| 347.5 | 452.3 |
| Sample Designation of Epoxy Resin Composites | Length of Sample Failure L [mm] | Burning Time of the Measurement Section t1 [s] | Linear Burning Rate v [mm/min] | Flammability Class According to Horizontal Test |
|---|---|---|---|---|
| E53/ET | ||||
| E53/ET/H3BO3/0.5 | 11.61 | 103 | 6.76 | HB |
| E53/ET/H3BO3/1.0 | 9.04 | 92 | 5.90 | HB |
| E53/ET/H3BO3/1.5 | 8.13 | 89 | 5.48 | HB |
| E53/ET | 8.53 | 123 | 4.16 | HB |
| E53/PAC | ||||
| E53/PAC/H3BO3/0.5 | 12.95 | 52 | 14.94 | HB |
| E53/PAC/H3BO3/1.0 | 9.79 | 51 | 11.52 | HB |
| E53/PAC/H3BO3/1.5 | 9.44 | 70 | 8.09 | HB |
| E53/PAC | 9.21 | 53 | 10.43 | HB |
| Burning Time t [s] | Maximum Temperature in the Burning Area T [°C] | |||
|---|---|---|---|---|
| E53/ET/H3BO3/0.5 | E53/ET/H3BO3/1.0 | E53/ET/H3BO3/1.5 | E53/ET | |
| 0 | 467.17 | 565.26 | 471.70 | 432.87 |
| 10 | 554.30 | 636.54 | 624.01 | 538.27 |
| 20 | 597.03 | 608.45 | 647.21 | 643.74 |
| 30 | 646.99 | 644.10 | 647.18 | 689.55 |
| 40 | 658.57 | 674.56 | 652.48 | 724.78 |
| 50 | 647.21 | 664.77 | 631.39 | 720.64 |
| 60 | 630.03 | 685.31 | 698.60 | 601.24 |
| Burning Time t [s] | Maximum Temperature in the Burning Area T [°C] | |||
|---|---|---|---|---|
| E53/PAC/H3BO3/0.5 | E53/PAC/H3BO3/1.0 | E53/PAC/H3BO3/1.5 | E53/PAC | |
| 0 | 437.53 | 447.89 | 414.97 | 408.71 |
| 10 | 474.46 | 491.19 | 464.18 | 446.00 |
| 20 | 489.77 | 530.04 | 517.38 | 478.10 |
| 30 | 510.90 | 536.67 | 586.11 | 492.86 |
| 40 | 510.81 | 528.86 | 605.18 | 505.39 |
| 50 | 437.53 | 447.89 | 414.97 | 408.71 |
| 60 | 474.46 | 491.19 | 464.18 | 446.00 |
Disclaimer/Publisher’s Note: The statements, opinions and data contained in all publications are solely those of the individual author(s) and contributor(s) and not of MDPI and/or the editor(s). MDPI and/or the editor(s) disclaim responsibility for any injury to people or property resulting from any ideas, methods, instructions or products referred to in the content. |
© 2024 by the authors. Licensee MDPI, Basel, Switzerland. This article is an open access article distributed under the terms and conditions of the Creative Commons Attribution (CC BY) license (https://creativecommons.org/licenses/by/4.0/).
Share and Cite
Rudawska, A.; Frigione, M.; Sarcinella, A.; Brunella, V.; Di Lorenzo, L.; Olewnik-Kruszkowska, E. Properties and Performance of Epoxy Resin/Boron Acid Composites. Materials 2024, 17, 2092. https://doi.org/10.3390/ma17092092
Rudawska A, Frigione M, Sarcinella A, Brunella V, Di Lorenzo L, Olewnik-Kruszkowska E. Properties and Performance of Epoxy Resin/Boron Acid Composites. Materials. 2024; 17(9):2092. https://doi.org/10.3390/ma17092092
Chicago/Turabian StyleRudawska, Anna, Mariaenrica Frigione, Antonella Sarcinella, Valentina Brunella, Ludovica Di Lorenzo, and Ewa Olewnik-Kruszkowska. 2024. "Properties and Performance of Epoxy Resin/Boron Acid Composites" Materials 17, no. 9: 2092. https://doi.org/10.3390/ma17092092
APA StyleRudawska, A., Frigione, M., Sarcinella, A., Brunella, V., Di Lorenzo, L., & Olewnik-Kruszkowska, E. (2024). Properties and Performance of Epoxy Resin/Boron Acid Composites. Materials, 17(9), 2092. https://doi.org/10.3390/ma17092092

