Effect of Nitrogen Atmosphere Annealing of Alloyed Powders on the Microstructure and Properties of ODS Ferritic Steels
Abstract
1. Introduction
2. Materials and Methods
3. Results and Discussion
3.1. Powders and Sinters Characterization
3.2. Characterization of ODS Sinters
4. Conclusions
- ⮚
- The SPS consolidation process (1075 °C, 10 min, 10 °C/min, 50 MPa) allowed for good material densification (relative density over 98%), with a limited amount of pores and a lack of visible microcracks and structure discontinuities.
- ⮚
- Microstructural investigations revealed two different types of uniformly distributed nanoparticles, namely free Y clusters containing Fe, Cr, and impurities, and clusters rich in Y-O-Ti, located at both grain boundaries and inside metallic grains,
- ⮚
- The annealing process of powders after mechanical alloying resulted in the increase of the density of sinters in comparison to materials from non-annealed powders, which beneficially influenced the hardness, Young’s modulus, and thermal conductivity of ODS materials.
Author Contributions
Funding
Institutional Review Board Statement
Informed Consent Statement
Data Availability Statement
Acknowledgments
Conflicts of Interest
References
- Gräning, T.; Rieth, M.; Hoffmann, J.; Möslang, A. Production, microstructure and mechanical properties of two different austenitic ODS steels. J. Nucl. Mater. 2017, 487, 348–361. [Google Scholar] [CrossRef]
- Knaster, J.; Moeslang, A.; Muroga, T. Materials research for fusion. Nat. Phys. 2016, 12, 424–434. [Google Scholar] [CrossRef]
- Zinkle, S.J.; Snead, L.L. Designing Radiation Resistance in Materials for Fusion Energy. Annu. Rev. Mater. Res. 2014, 44, 241–267. [Google Scholar] [CrossRef]
- Ding, Z.N.; Zhang, C.H.; Yang, Y.T.; Song, Y.; Kimura, A.; Jang, J. Hardening of ODS ferritic steels under irradiation with high-energy heavy ions. J. Nucl. Mater. 2017, 493, 53–61. [Google Scholar] [CrossRef]
- Zinkle, S.J.; Was, G.S. Materials challenges in nuclear energy. Acta Mater. 2013, 61, 735–758. [Google Scholar] [CrossRef]
- Chauhan, A.; Bergner, F.; Etienne, A.; Aktaa, J.; de Carlan, Y.; Heintze, C.; Litvinov, D.; Hernandez-Mayoral, M.; Onorbe, E.; Radiguet, B.; et al. Microstructure characterization and strengthening mechanisms of oxide dispersion strengthened (ODS) Fe-9%Cr and Fe-14%Cr extruded bars. J. Nucl. Mater. 2017, 495, 6–19. [Google Scholar] [CrossRef]
- Zhao, Q.; Yu, L.; Liu, Y.; Li, H. Morphology and structure evolution of Y2O3 nanoparticles in ODS steel powders during mechanical alloying and annealing. Adv. Powder Technol. 2015, 26, 1578–1582. [Google Scholar] [CrossRef]
- Jóźwik, I.; Strojny-Nędza, A.; Chmielewski, M.; Pietrzak, K.; Kurpaska, Ł.; Nosewicz, S. High resolution SEM characterization of nano-precipitates in ODS steels. Microsc. Res. Tech. 2018, 81, 502–508. [Google Scholar] [CrossRef] [PubMed]
- Zhang, C.H.; Jang, J.; Cho, H.D.; Yang, Y.T. Void swelling in MA956 ODS steel irradiated with 122MeV Ne-ions at elevated temperatures. J. Nucl. Mater. 2009, 386–388, 457–461. [Google Scholar] [CrossRef]
- Miller, M.K.; Russell, K.F.; Hoelzer, D.T. Characterization of precipitates in MA/ODS ferritic alloys. J. Nucl. Mater. 2006, 351, 261–268. [Google Scholar] [CrossRef]
- Unifantowicz, P.; Płociński, T.; Williams, C.A.; Schäublin, R.; Baluc, N. Structure of complex oxide nanoparticles in a Fe–14Cr–2W–0.3Ti–0.3Y2O3 ODS RAF steel. J. Nucl. Mater. 2013, 442, S158–S163. [Google Scholar] [CrossRef]
- Yano, Y.; Tonno, T.; Oka, H.; Ohtsuka, S.; Inoue, T.; Kato, S.; Furukawa, T.; Uwaba, T.; Kaito, T.; Ukai, S.; et al. Ultra-high temperature tensile properties of ODS steel claddings under severe accident conditions. J. Nucl. Mater. 2017, 487, 229–237. [Google Scholar] [CrossRef]
- Oksiutak, Z.; Lewandowska, M.; Kurzydlowski, K.J.; Baluc, N. Influence of hot rolling and high speed hydrostatic extrusion on the microstructure and mechanical properties of an ODS RAF steel. J. Nucl. Mater. 2011, 409, 86–93. [Google Scholar] [CrossRef]
- Oksiuta, Z.; Lewandowska, M.; Kurzydlowski, K.J.; Baluc, N. Effect of vanadium addition on the microstructure and mechanical properties of the ODS ferritic steels. J. Nucl. Mater. 2013, 442, S84–S88. [Google Scholar] [CrossRef]
- Li, W.; Xu, U.; Sha, X.; Meng, J.; Wang, W.; Kang, C.; Zhang, X.; Wang, Z. Microstructural characterization and strengthening mechanisms of a 15Cr-ODS steel produced by mechanical alloying and Spark Plasma Sintering. Fusion Eng. Des. 2018, 137, 71–78. [Google Scholar] [CrossRef]
- Frelek-Kozak, M.; Kurpaska, L.; Wyszkowska, E.; Jagielski, J.; Jozwik, I.; Chmielewski, M. Evaluation of consolidation method on mechanical and structural properties of ODS RAF steel. Appl. Surf. Sci. 2018, 446, 215–221. [Google Scholar] [CrossRef]
- Mihalache, V.; Mercioniu, I.; Velea, A.; Palade, P. Effect of the process control agent in the ball-milled powders and SPS-consolidation temperature on the grain refinement, density and Vickers hardness of Fe14Cr ODS ferritic alloys. Powder Technol. 2019, 347, 103–113. [Google Scholar] [CrossRef]
- Seils, S.; Kauffmann, A.; Hinrichs, F.; Schliephake, D.; Boll, T.; Heilmaier, M. Temperature dependent strengthening contributions in austenitic and ferritic ODS steels. Mater. Sci. Eng. A. 2020, 786, 139452. [Google Scholar] [CrossRef]
- Pasebani, S.; Charit, I.; Wu, Y.; Burns, J.; Allahar, K.N.; Butt, D.P.; Cole, J.I.; Alsagabi, S.F. Lanthana-bearing nanostructured ferritic steels via spark plasma sintering. J. Nucl. Mater. 2016, 470, 297–306. [Google Scholar] [CrossRef]
- Pietrzak, K.; Strojny-Nędza, A.; Kaszyca, K.; Shepa, I.; Mudra, M.; Vojtko, M.; Dusza, J.; Anal, V.; Hovancova, J.; Chmielewski, M. Oxidation and Corrosion Resistance of NiCr-Re and NiCr-Re-Al2O3 Materials Fabricated by Spark Plasma Sintering. Metals 2020, 10, 1009. [Google Scholar] [CrossRef]
- Peng, S.; Hou, J.; Yu, L.; Lu, Z. Effects of sintering temperature and Y2O3/Ti addition on microstructure and hardness of ODS-AlCrFeNi HEAs. Intermetallics 2022, 143, 107469. [Google Scholar] [CrossRef]
- Boulnat, X.; Fabrègue, D.; Perez, M.; Urvoy, S.; Hamon, D.; de Carlan, Y. Assessment of consolidation of oxide dispersion strengthened ferritic steels by spark plasma sintering: From laboratory scale to industrial products. Powder Metallur. 2014, 57, 204–211. [Google Scholar] [CrossRef]
- Fu, J.; Brouwer, J.C.; Richardson, I.M.; Hermans, M.J.M. Effect of mechanical alloying and spark plasma sintering on the microstructure and mechanical properties of ODS. Eurofer. Mater. Des. 2019, 177, 107849. [Google Scholar] [CrossRef]
- Macía, E.; García-Junceda, A.; Serrano, M.; Hong, S.J.; Campos, M. Effect of mechanical alloying on the microstructural evolution of a ferritic ODS steel with (Y–Ti–Al–Zr) addition processed by Spark Plasma Sintering (SPS). Nucl. Eng. Technol. 2021, 53, 2582–2590. [Google Scholar] [CrossRef]
- ASTM B962-08; Standard Test Methods for Density of Compacted or Sintered Powder Metallurgy (PM) Products Using Archimedes’ Principle. ASTM International: West Conshohocken, PA, USA, 2008.
- Oliver, W.C.; Pharr, G.M. An improved technique for determining hardness and elastic modulus using load and displacement sensing indentation experiments. J. Mater. Res. 1992, 7, 1564–1583. [Google Scholar] [CrossRef]
- Nowik, K.; Zybała, R.; Oksiuta, Z. Formation and Microstructural Evolution of Ferritic ODS Steel Powders during Mechanical. Alloy. Mater. 2023, 16, 765. [Google Scholar] [CrossRef]
- Miraghaei, S.; Abachi, P.; Madaah-Hosseini, H.R.; Bahrami, A. Characterization of mechanically alloyed Fe100−xSix and Fe83.5Si13.5Nb3 nanocrystalline powders. J. Mater. Process. Technol. 2008, 203, 554–560. [Google Scholar] [CrossRef]
- Degmová, J.; Dekan, J.; Šimeg Veterníková, J.; Slugeň, V. Mössbauer Spectroscopy Study of Laboratory Produced ODS Steels. Acta. Phys. Pol. A 2017, 131, 1171–1173. [Google Scholar] [CrossRef]
- Petrov, Y.I.; Shafranovsky, E.A.; Krupyanskii, Y.F.; Essine, S.V. Structure and Mössbauer spectra for the Fe–Cr system: From bulk alloy to nanoparticles. J. Appl. Phys. 2002, 91, 352. [Google Scholar] [CrossRef]
- Odette, G.R. On the status and prospects for nanostructured ferritic alloys for nuclear fission and fusion application with emphasis on the underlying science. Scr. Mater. 2018, 143, 142–148. [Google Scholar] [CrossRef]

















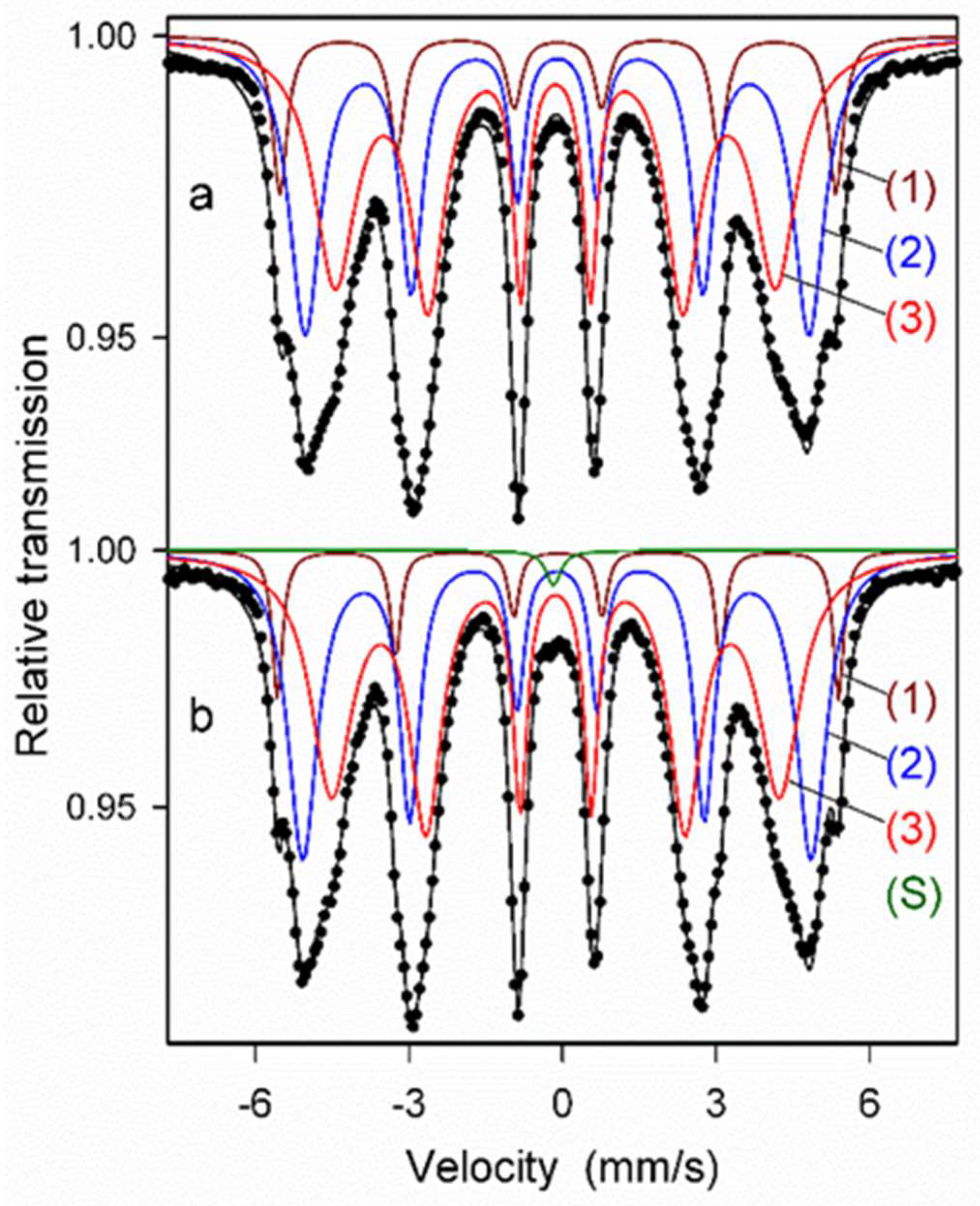
| Materials | Spectral Component | Bhf [T] | IS [mm/s] | A [%] |
|---|---|---|---|---|
| ODS + 0.3% Y2O3 | Fe-Cr | 33.7 30.6 26.7 | 0.01 0.00 −0.02 | 11.5 38.5 50.0 |
| ODS + 0.3% Y2O3 AP | Fe-Cr Cr-rich | 34.0 30.9 27.2 - | 0.01 0.00 −0.02 −0.07 | 8.0 39.5 51.9 0.6 |
| ODS + 0.6% Y2O3 | Fe-Cr | 33.6 30.6 26.8 | 0.01 0.00 −0.02 | 17.7 37.4 44.9 |
| ODS + 0.6% Y2O3 AP | Fe-Cr Cr-rich | 34.1 30.9 27.2 - | 0.01 0.00 −0.02 −0.06 | 9.4 46.6 43.6 0.4 |
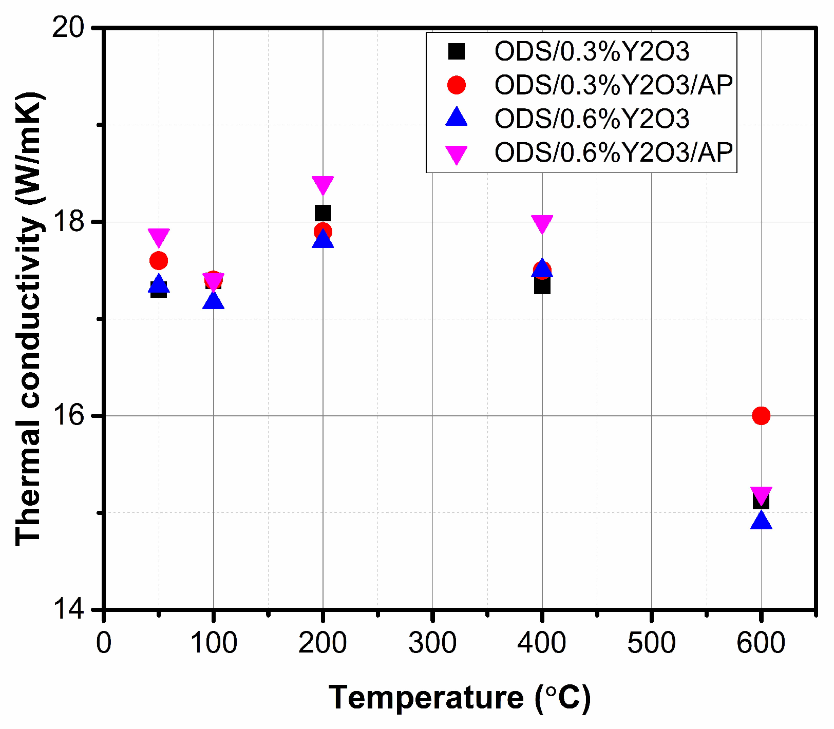
| Materials | Measured Density [g/cm3] | Relative Density [%] | Thermal Conductivity [W/mK] at 50 °C | Specific Heat [J/gK] at 50 °C | CTE [1/K × 10−5] at 50 °C |
|---|---|---|---|---|---|
| ODS + 0.3% Y2O3 | 7.71 | 98.9 | 17.3 ± 0.6 | 0.55 | 1.04 |
| ODS + 0.3% Y2O3 AP | 7.78 | 99.7 | 17.6 ± 0.3 | 0.52 | 1.09 |
| ODS + 0.6% Y2O3 | 7.67 | 98.4 | 17.4 ± 0.4 | 0.57 | 1.18 |
| ODS + 0.6% Y2O3 AP | 7.69 | 98.6 | 17.8 ± 0.2 | 0.54 | 1.17 |
Disclaimer/Publisher’s Note: The statements, opinions and data contained in all publications are solely those of the individual author(s) and contributor(s) and not of MDPI and/or the editor(s). MDPI and/or the editor(s) disclaim responsibility for any injury to people or property resulting from any ideas, methods, instructions or products referred to in the content. |
© 2024 by the authors. Licensee MDPI, Basel, Switzerland. This article is an open access article distributed under the terms and conditions of the Creative Commons Attribution (CC BY) license (https://creativecommons.org/licenses/by/4.0/).
Share and Cite
Strojny-Nędza, A.; Pietrzak, K.; Jóźwik, I.; Bucholc, B.; Wyszkowska, E.; Kurpaska, Ł.; Grabias, A.; Malinowska, A.; Chmielewski, M. Effect of Nitrogen Atmosphere Annealing of Alloyed Powders on the Microstructure and Properties of ODS Ferritic Steels. Materials 2024, 17, 1743. https://doi.org/10.3390/ma17081743
Strojny-Nędza A, Pietrzak K, Jóźwik I, Bucholc B, Wyszkowska E, Kurpaska Ł, Grabias A, Malinowska A, Chmielewski M. Effect of Nitrogen Atmosphere Annealing of Alloyed Powders on the Microstructure and Properties of ODS Ferritic Steels. Materials. 2024; 17(8):1743. https://doi.org/10.3390/ma17081743
Chicago/Turabian StyleStrojny-Nędza, Agata, Katarzyna Pietrzak, Iwona Jóźwik, Bartosz Bucholc, Edyta Wyszkowska, Łukasz Kurpaska, Agnieszka Grabias, Agnieszka Malinowska, and Marcin Chmielewski. 2024. "Effect of Nitrogen Atmosphere Annealing of Alloyed Powders on the Microstructure and Properties of ODS Ferritic Steels" Materials 17, no. 8: 1743. https://doi.org/10.3390/ma17081743
APA StyleStrojny-Nędza, A., Pietrzak, K., Jóźwik, I., Bucholc, B., Wyszkowska, E., Kurpaska, Ł., Grabias, A., Malinowska, A., & Chmielewski, M. (2024). Effect of Nitrogen Atmosphere Annealing of Alloyed Powders on the Microstructure and Properties of ODS Ferritic Steels. Materials, 17(8), 1743. https://doi.org/10.3390/ma17081743

