Wetting Behavior Driven by Surface Morphology Changes Induced by Picosecond Laser Texturing
Abstract
1. Introduction
2. Materials and Methods
2.1. Materials
2.2. Laser Micromachining by an Ultrashort Picosecond Laser Source
2.3. Samples Topography and Morphological Analyses
2.4. Contact Angle Analyses
2.5. X-ray Photoelectron Spectroscopy Analyses
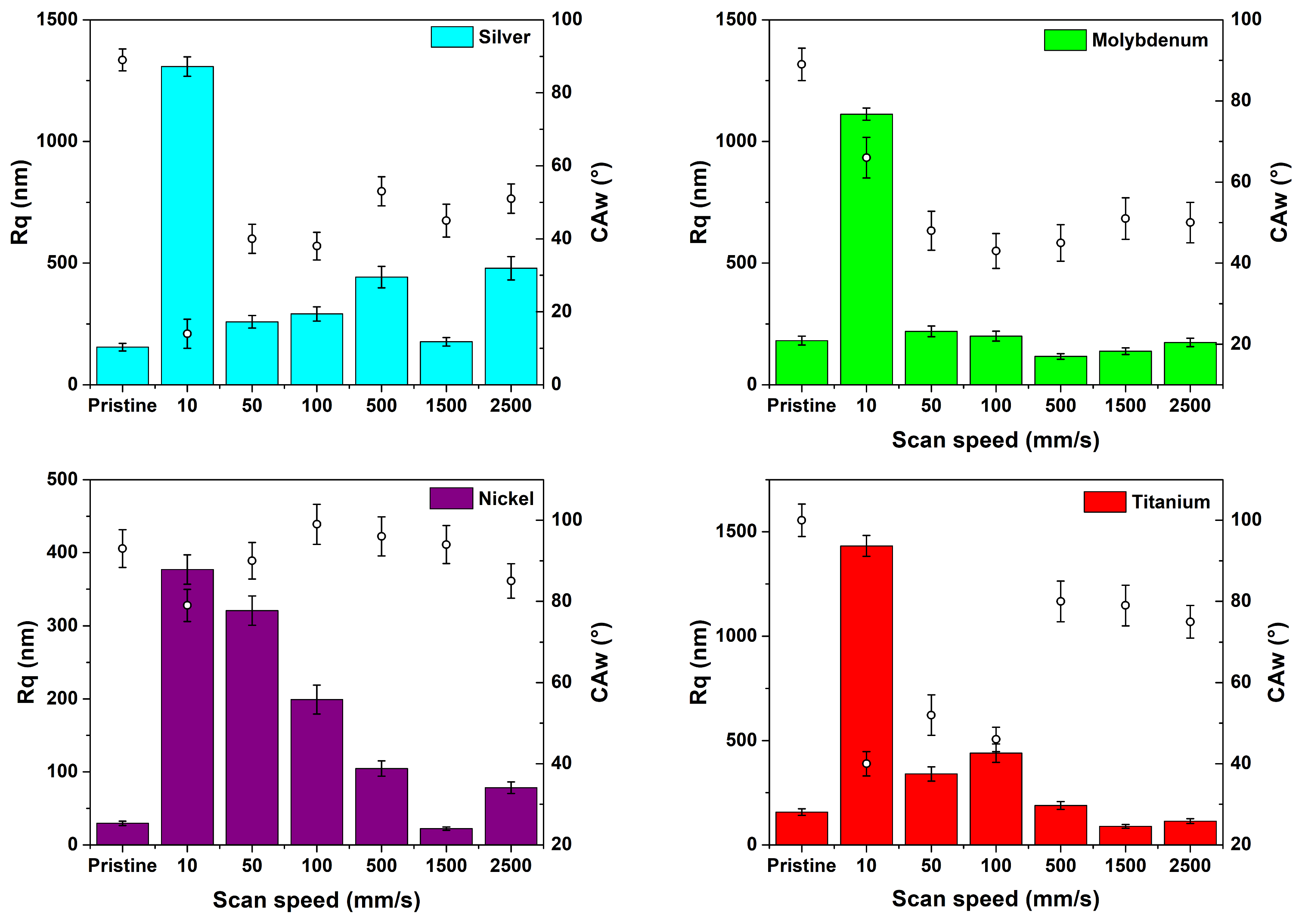
3. Results
3.1. Profilometric Data and SEM Characterization
3.2. Contact Angle Data
4. Discussion
5. Conclusions
Author Contributions
Funding
Institutional Review Board Statement
Informed Consent Statement
Data Availability Statement
Conflicts of Interest
Abbreviations
| LST | laser surface texturing |
| USP | ultra-short laser pulses |
| CA | contact angle |
| SEM | scanning electron microscopy |
| XPS | X-ray photoelectron spectroscopy |
References
- Gujrathi, A.; Dongre, S.; Nandan, H. A Review of Laser Micromachining. Int. J. Eng. Sci. Adv. Comput. Bio-Technol. 2021, 6, 2416–2420. [Google Scholar] [CrossRef]
- Hazzan, K.E.; Pacella, M.; See, T.L. Laser Processing of Hard and Ultra-Hard Materials for Micro-Machining and Surface Engineering Applications. Micromachines 2021, 12, 895. [Google Scholar] [CrossRef] [PubMed]
- Kumar, V.; Verma, R.; Kango, S.; Sharma, V.S. Recent progresses and applications in laser-based surface texturing systems. Mater. Today Commun. 2021, 26, 101736. [Google Scholar] [CrossRef]
- Zhang, Y.; Guo, W.; Shi, J.; Chi, J.; Chen, G.; Han, G.; Zhang, H. Improved rotating bending fatigue performance of laser directed energy deposited Ti6Al4V alloys by laser shock peening. J. Alloys Compd. 2024, 980, 173664. [Google Scholar] [CrossRef]
- Zhang, X.; Liu, J.; Xia, M.; Hu, Y. Laser shock peening enables 3D gradient metal structures: A case study on manufacturing self-armored hydrophobic surfaces. Int. J. Mach. Tools Manuf. 2023, 185, 103993. [Google Scholar] [CrossRef]
- Wang, S.; Wang, W.; Xu, Y.; Zhang, X.; Chen, C.; Geng, P.; Ma, N. Effect of nanosecond pulsed laser parameters on texturing formation of metallic surface: Experiment and modelling. J. Mater. Res. Technol. 2023, 26, 7775–7788. [Google Scholar] [CrossRef]
- Maggiore, E.; Corsaro, C.; Fazio, E.; Mirza, I.; Ripamonti, F.; Tommasini, M.; Ossi, P.M. Laser-Treated Steel Surfaces Gliding on Snow at Different Temperatures. Materials 2023, 16, 3100. [Google Scholar] [CrossRef] [PubMed]
- Bharatish, A.; Soundarapandian, S. Influence of Femtosecond Laser Parameters and Environment on Surface Texture Characteristics of Metals and Non-Metals–State of the Art. Lasers Manuf. Mater. Process. 2018, 5, 143–167. [Google Scholar] [CrossRef]
- Gupta, M.C.; Nayak, B.K. Systems and Methods of Laser Texturing of Material Surfaces and Their Applications. U.S. Patent 8846551, 30 September 2014. [Google Scholar]
- Kouediatouka, A.N.; Ma, Q.; Liu, Q.; Mawignon, F.J.; Rafique, F.; Dong, G. Design Methodology and Application of Surface Texture: A Review. Coatings 2022, 12, 1015. [Google Scholar] [CrossRef]
- Moldovan, E.R.; Concheso Doria, C.; Ocaña, J.L.; Baltes, L.S.; Stanciu, E.M.; Croitoru, C.; Pascu, A.; Roata, I.C.; Tierean, M.H. Wettability and Surface Roughness Analysis of Laser Surface Texturing of AISI 430 Stainless Steel. Materials 2022, 15, 2955. [Google Scholar] [CrossRef] [PubMed]
- Caraguay, S.; Pereira, T.; Cunha, A.; Pereira, M.; Xavier, F. The effect of laser surface textures on the adhesion strength and corrosion protection of organic coatings - Experimental assessment using the pull-off test and the shaft load blister test. Prog. Org. Coatings 2023, 180, 107558. [Google Scholar] [CrossRef]
- Tong, W.; Xiong, D. Direct laser texturing technique for metal surfaces to achieve superhydrophobicity. Mater. Today Phys. 2022, 23, 100651. [Google Scholar] [CrossRef]
- Samanta, A.; Wang, Q.; Shaw, S.K.; Ding, H. Roles of chemistry modification for laser textured metal alloys to achieve extreme surface wetting behaviors. Mater. Des. 2020, 192, 108744. [Google Scholar] [CrossRef]
- Bizi-bandoki, P.; Valette, S.; Audouard, E.; Benayoun, S. Time dependency of the hydrophilicity and hydrophobicity of metallic alloys subjected to femtosecond laser irradiations. Appl. Surf. Sci. 2013, 273, 399–407. [Google Scholar] [CrossRef]
- Long, J.; Zhong, M.; Zhang, H.; Fan, P. Superhydrophilicity to superhydrophobicity transition of picosecond laser microstructured aluminum in ambient air. J. Colloid Interface Sci. 2015, 441, 1–9. [Google Scholar] [CrossRef] [PubMed]
- Kietzig, A.M.; Hatzikiriakos, S.G.; Englezos, P. Patterned Superhydrophobic Metallic Surfaces. Langmuir 2009, 25, 4821–4827. [Google Scholar] [CrossRef] [PubMed]
- Ta, D.V.; Dunn, A.; Wasley, T.J.; Kay, R.W.; Stringer, J.; Smith, P.J.; Connaughton, C.; Shephard, J.D. Nanosecond laser textured superhydrophobic metallic surfaces and their chemical sensing applications. Appl. Surf. Sci. 2015, 357, 248–254. [Google Scholar] [CrossRef]
- Wang, X.C.; Wang, B.; Xie, H.; Zheng, H.Y.; Lam, Y.C. Picosecond laser micro/nano surface texturing of nickel for superhydrophobicity. J. Phys. D Appl. Phys. 2018, 51, 115305. [Google Scholar] [CrossRef]
- Yang, L.; Ma, W.; Gao, F.; Xi, S.; Ma, Z.; Ma, Z. Contact and Tribological Study of Micro/Nano Groove Texture on the Surface of Gas Bearing Materials Based on Nanoscale. Nanomaterials 2022, 13, 152. [Google Scholar] [CrossRef]
- Grigoriev, S.N.; Soe, T.N.; Hamdy, K.; Pristinskiy, Y.; Malakhinsky, A.; Makhadilov, I.; Romanov, V.; Kuznetsova, E.; Podrabinnik, P.; Kurmysheva, A.Y.; et al. The Influence of Surface Texturing of Ceramic and Superhard Cutting Tools on the Machining Process—A Review. Materials 2022, 15, 6945. [Google Scholar] [CrossRef]
- Ijaola, A.O.; Bamidele, E.A.; Akisin, C.J.; Bello, I.T.; Oyatobo, A.T.; Abdulkareem, A.; Farayibi, P.K.; Asmatulu, E. Wettability Transition for Laser Textured Surfaces: A Comprehensive Review. Surfaces Interfaces 2020, 21, 100802. [Google Scholar] [CrossRef]
- Alarifi, I.M. Advanced selection materials in solar cell efficiency and their properties—A comprehensive review. Mater. Today Proc. 2021. [Google Scholar] [CrossRef]
- Obilor, A.F.; Pacella, M.; Wilson, A.; Silberschmidt, V.V. Micro-texturing of polymer surfaces using lasers: A review. Int. J. Adv. Manuf. Technol. 2022, 120, 103–135. [Google Scholar] [CrossRef]
- Moskal, D.; Martan, J.; Honner, M. Scanning Strategies in Laser Surface Texturing: A Review. Micromachines 2023, 14, 1241. [Google Scholar] [CrossRef] [PubMed]
- Extrand, C.W.; Moon, S.I. When Sessile Drops Are No Longer Small: Transitions from Spherical to Fully Flattened. Langmuir 2010, 26, 11815–11822. [Google Scholar] [CrossRef] [PubMed]
- Gadelmawla, E.; Koura, M.; Maksoud, T.; Elewa, I.; Soliman, H. Roughness parameters. J. Mater. Process. Technol. 2002, 123, 133–145. [Google Scholar] [CrossRef]
- Temmler, A.; Qi, S. Surface Structuring by Laser Remelting (WaveShape): Microstructuring of Ti6Al4V for a Small Laser Beam Diameter and High Scan Speeds. Micromachines 2021, 12, 660. [Google Scholar] [CrossRef] [PubMed]
- Mustafa, H.; Matthews, D.; Römer, G. The role of pulse repetition rate on picosecond pulsed laser processing of Zn and Zn-coated steel. Opt. Laser Technol. 2020, 131, 106408. [Google Scholar] [CrossRef]
- Jin, L.; Jiang, K.; Ren, H.; Liu, J.; Lu, X.; Liu, W.; Wu, D.; Liu, H.; Liu, B.; Wang, F.; et al. A Review of Laser Cladding on Copper and Copper Alloys. Int. J. Electrochem. Sci. 2022, 17, 220920. [Google Scholar] [CrossRef]
- Chen, Y.; Li, X.; Liu, J.; Zhang, Y.; Chen, X. Effect of Scanning Speed on Properties of Laser Surface Remelted 304 Stainless Steel. Micromachines 2022, 13, 1426. [Google Scholar] [CrossRef]
- Kido, D.; Komatsu, K.; Suzumura, T.; Matsuura, T.; Cheng, J.; Kim, J.; Park, W.; Ogawa, T. Influence of Surface Contaminants and Hydrocarbon Pellicle on the Results of Wettability Measurements of Titanium. Int. J. Mol. Sci. 2023, 24, 14688. [Google Scholar] [CrossRef]
- Mustafa, H.; Mezera, M.; Matthews, D.; Römer, G. Effect of surface roughness on the ultrashort pulsed laser ablation fluence threshold of zinc and steel. Appl. Surf. Sci. 2019, 488, 10–21. [Google Scholar] [CrossRef]
- Masato, D.; Piccolo, L.; Lucchetta, G.; Sorgato, M. Texturing Technologies for Plastics Injection Molding: A Review. Micromachines 2022, 13, 1211. [Google Scholar] [CrossRef] [PubMed]
- Bonse, J. Quo Vadis LIPSS?—Recent and Future Trends on Laser-Induced Periodic Surface Structures. Nanomaterials 2020, 10, 1950. [Google Scholar] [CrossRef] [PubMed]
- Bhandari, S.; Murnal, M.; Cao, J.; Ehmann, K. Comparative Experimental Investigation of Micro-channel Fabrication in Ti Alloys by Laser Ablation and Laser-induced Plasma Micro-machining. Procedia Manuf. 2019, 34, 418–423. [Google Scholar] [CrossRef]
- Na, T.W.; Kim, W.R.; Yang, S.M.; Kwon, O.; Park, J.M.; Kim, G.H.; Jung, K.H.; Lee, C.W.; Park, H.K.; Kim, H.G. Effect of laser power on oxygen and nitrogen concentration of commercially pure titanium manufactured by selective laser melting. Mater. Charact. 2018, 143, 110–117. [Google Scholar] [CrossRef]











| Main characteristics of the employed diode-pumped Nd:YVO4 laser system | |
| Laser specification | Value |
| Maximum laser power [W] | 10 |
| Wavelength [nm] | 532 |
| Pulse width [ps] | 6–8 |
| Repetition rate [kHz] | 10–1000 |
| Maximum pulse energy [J] | 60 |
| Laser beam diameter [µm] | 23 |
| Focusing length of lens [mm] | 163 |
| Maximum scanning speed [mm/s] | 3000 |
| Atmosphere | Air |
| Chosen laser texturing conditions | |
| Employed variable | Value |
| Laser power [W] | 1 |
| Repetition rate [kHz] | 160 |
| Scanning speed [mm/s] | 10, 50, 100, 500, 1500, 2500 |
| Nickel | Titanium | Silver | Molybdenum | |||||||||
|---|---|---|---|---|---|---|---|---|---|---|---|---|
| Rq | Ra | Rz | Rq | Ra | Rz | Rq | Ra | Rz | Rq | Ra | Rz | |
| UNTEX | 0.03 | 0.02 | – | 0.16 | 0.14 | – | 0.15 | 0.11 | – | 0.18 | 0.15 | – |
| 10 mm/s | 0.38 | 0.32 | 83 | 1.43 | 1.07 | 75 | 1.31 | 1.11 | 95 | 1.11 | 1.01 | 79 |
| 50 mm/s | 0.32 | 0.25 | 39 | 0.34 | 0.27 | 38 | 0.26 | 0.19 | 71 | 0.22 | 0.17 | 39 |
| 100 mm/s | 0.20 | 0.15 | 22 | 0.44 | 0.35 | 21 | 0.29 | 0.23 | 35 | 0.20 | 0.15 | 22 |
| 500 mm/s | 0.10 | 0.07 | 2 | 0.19 | 0.15 | 7 | 0.44 | 0.36 | 31 | 0.12 | 0.08 | 8 |
| 1500 mm/s | 0.02 | 0.01 | 1 | 0.09 | 0.05 | 5 | 0.18 | 0.14 | 2 | 0.14 | 0.09 | 6 |
| 2500 mm/s | 0.08 | 0.05 | 1 | 0.11 | 0.09 | 5 | 0.48 | 0.38 | 1 | 0.17 | 0.15 | 3 |
| d (μm) | f (kHz) | v (mm/s) | |
|---|---|---|---|
| 23 | 160 | 10 | 0.997 |
| 23 | 160 | 50 | 0.986 |
| 23 | 160 | 100 | 0.973 |
| 23 | 160 | 500 | 0.864 |
| 23 | 160 | 1500 | 0.592 |
| 23 | 160 | 2500 | 0.320 |
| As Prepared | Aged | |||||
|---|---|---|---|---|---|---|
| C | Ti | O | C | Ti | O | |
| UNTEX | 25.96 | 36.86 | 37.17 | 25.96 | 36.86 | 37.17 |
| 10 mm/s | 21.58 | 28.44 | 49.98 | 36.40 | 23.88 | 39.72 |
| 50 mm/s | 11.55 | 38.86 | 49.59 | 24.83 | 47.75 | 27.42 |
| 100 mm/s | 23.12 | 24.29 | 52.59 | 35.29 | 24.17 | 40.54 |
| 500 mm/s | 26.86 | 27.89 | 45.25 | 32.32 | 22.91 | 44.77 |
| 1500 mm/s | 20.67 | 28.59 | 50.74 | 28.31 | 31.73 | 39.96 |
| 2500 mm/s | 27.45 | 22.28 | 50.27 | 24.18 | 37.66 | 38.16 |
Disclaimer/Publisher’s Note: The statements, opinions and data contained in all publications are solely those of the individual author(s) and contributor(s) and not of MDPI and/or the editor(s). MDPI and/or the editor(s) disclaim responsibility for any injury to people or property resulting from any ideas, methods, instructions or products referred to in the content. |
© 2024 by the authors. Licensee MDPI, Basel, Switzerland. This article is an open access article distributed under the terms and conditions of the Creative Commons Attribution (CC BY) license (https://creativecommons.org/licenses/by/4.0/).
Share and Cite
Corsaro, C.; Orlando, G.; Costa, G.; Latino, M.; Barreca, F.; Mezzasalma, A.M.; Neri, F.; Fazio, E. Wetting Behavior Driven by Surface Morphology Changes Induced by Picosecond Laser Texturing. Materials 2024, 17, 1719. https://doi.org/10.3390/ma17081719
Corsaro C, Orlando G, Costa G, Latino M, Barreca F, Mezzasalma AM, Neri F, Fazio E. Wetting Behavior Driven by Surface Morphology Changes Induced by Picosecond Laser Texturing. Materials. 2024; 17(8):1719. https://doi.org/10.3390/ma17081719
Chicago/Turabian StyleCorsaro, Carmelo, Gabriele Orlando, Gabriele Costa, Mariangela Latino, Francesco Barreca, Angela Maria Mezzasalma, Fortunato Neri, and Enza Fazio. 2024. "Wetting Behavior Driven by Surface Morphology Changes Induced by Picosecond Laser Texturing" Materials 17, no. 8: 1719. https://doi.org/10.3390/ma17081719
APA StyleCorsaro, C., Orlando, G., Costa, G., Latino, M., Barreca, F., Mezzasalma, A. M., Neri, F., & Fazio, E. (2024). Wetting Behavior Driven by Surface Morphology Changes Induced by Picosecond Laser Texturing. Materials, 17(8), 1719. https://doi.org/10.3390/ma17081719

