Thermal Characterization of Crosslinked Polymeric Microspheres Bearing Thiol Groups Studied by TG/FTIR/DSC under Non-Oxidative Conditions
Abstract
1. Introduction
2. Materials and Methods
2.1. Materials
2.2. Synthesis of Porous Polymer Microspheres
2.3. Material Characterization
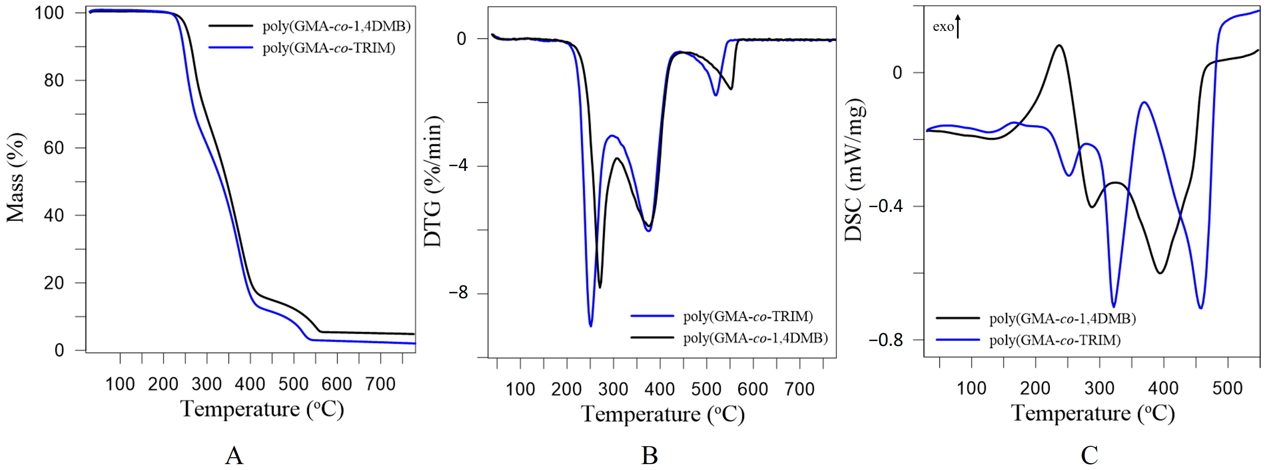
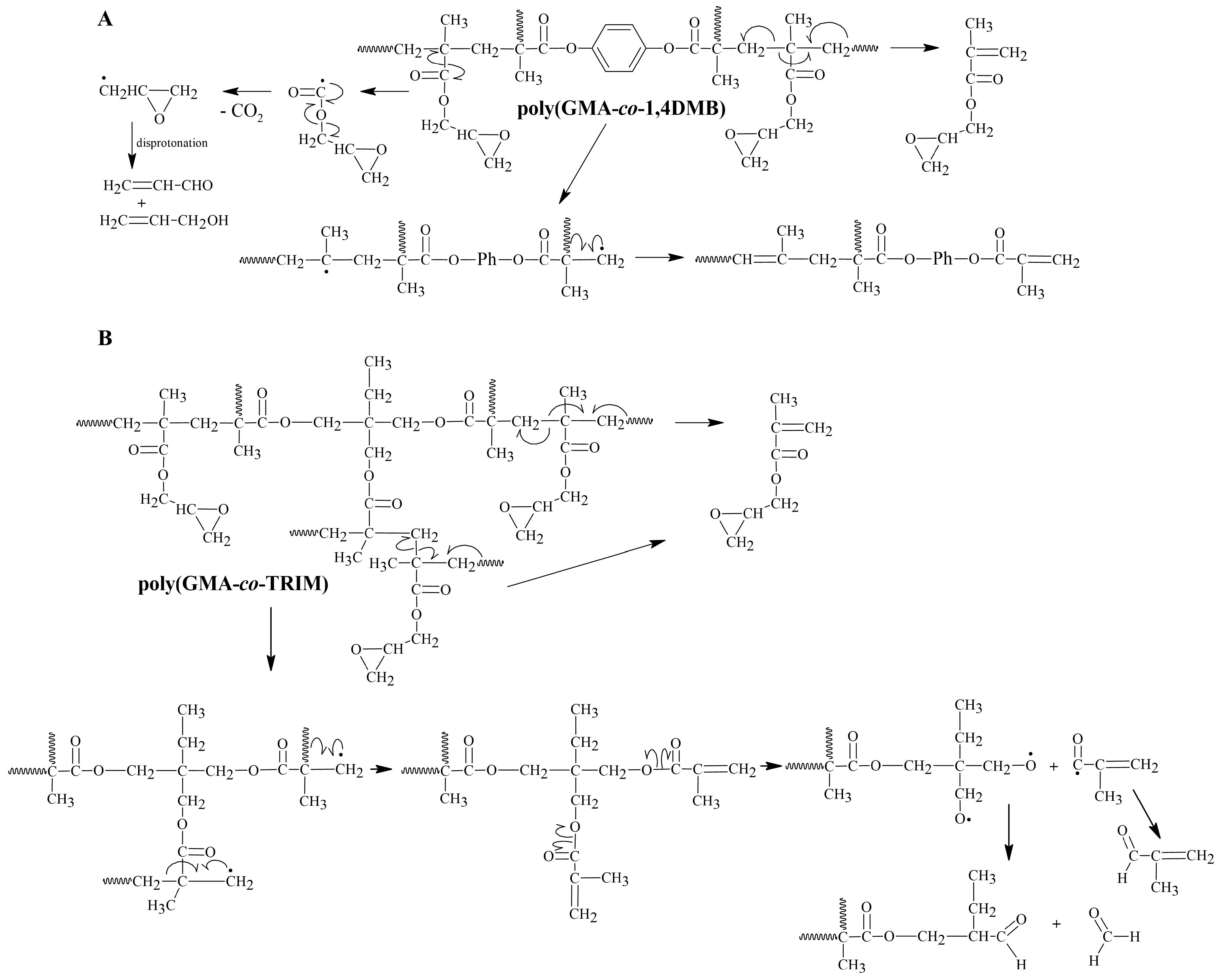
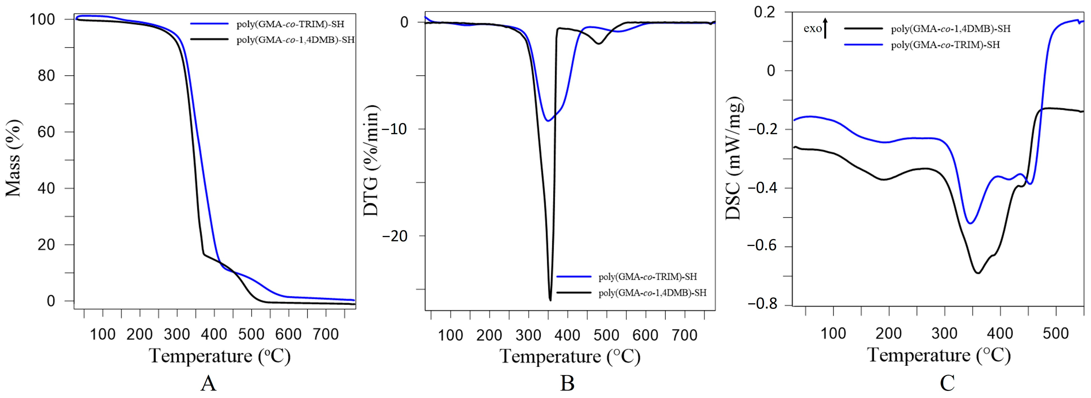
3. Results and Discussion
4. Conclusions
Author Contributions
Funding
Institutional Review Board Statement
Informed Consent Statement
Data Availability Statement
Conflicts of Interest
References
- Bai, F.; Yang, X.; Huang, W. Narrow-Disperse or Monodisperse Crosslinked and Functional Core-Shell Polymer Particles Prepared by Two-Stage Precipitation Polymerization. J. Appl. Polym. Sci. 2006, 100, 1776–1784. [Google Scholar] [CrossRef]
- Ullah, M.W.; Thao, N.T.P.; Sugimoto, T.; Haraguchi, N. Synthesis of Core-Corona Polymer Microsphere-Supported Cinchonidinium Salt and Its Application to Asymmetric Synthesis. Mol. Catal. 2019, 473, 5–14. [Google Scholar] [CrossRef]
- Al-Odayni, A.-B.; Saeed, W.S.; Ahmed, A.Y.B.H.; Alrahlah, A.; Al-Kahtani, A.; Aouak, T. New Monomer Based on Eugenol Methacrylate, Synthesis, Polymerization and Copolymerization with Methyl Methacrylate-Characterization and Thermal Properties. Polymers 2020, 12, 160. [Google Scholar] [CrossRef]
- Altintaş, E.B.; Denizli, A. Monosize Poly(Glycidyl Methacrylate) Beads for Dye-Affinity Purification of Lysozyme. Int. J. Biol. Macromol. 2006, 38, 99–106. [Google Scholar] [CrossRef]
- Jin, J.M.; Lee, J.M.; Ha, M.H.; Lee, K.; Choe, S. Highly Crosslinked Poly(Glycidyl Methacrylate-Co-Divinyl Benzene) Particles by Precipitation Polymerization. Polymer 2007, 48, 3107–3115. [Google Scholar] [CrossRef]
- Trofin, M.-A.; Racovita, S.; Vasiliu, S.; Bargan, A.; Bucatariu, F.; Vasiliu, A.-L.; Mihai, M. Synthesis of Crosslinked Microparticles Based on Glycidyl Methacrylate and N-Vinylimidazole. Macromol. Chem. Phys. 2023, 224, 2300253. [Google Scholar] [CrossRef]
- Šmigol, V.; Švec, F. Synthesis and Properties of Uniform Beads Based on Macroporous Copolymer Glycidyl Methacrylate–Ethylene Dimethacrylate: A Way to Improve Separation Media for HPLC. J. Appl. Polym. Sci. 1992, 46, 1439–1448. [Google Scholar] [CrossRef]
- Petro, M.; Svec, F.; Fréchet, J.M.J. Monodisperse Hydrolyzed Poly(Glycidyl Methacrylate-Co-Ethylene Dimethacrylate) Beads as a Stationary Phase for Normal-Phase HPLC. Anal. Chem. 1997, 69, 3131–3139. [Google Scholar] [CrossRef]
- Grochowicz, M.; Gawdzik, B. Permanently Porous Copolymeric Microspheres Based on Aromatic Methacrylates. React. Funct. Polym. 2011, 71, 625–633. [Google Scholar] [CrossRef]
- Steinbach, J.C.; Fait, F.; Wagner, S.; Wagner, A.; Brecht, M.; Mayer, H.A.; Kandelbauer, A. Rational Design of Pore Parameters in Monodisperse Porous Poly(Glycidyl Methacrylate-Co-Ethylene Glycol Dimethacrylate) Particles Based on Response Surface Methodology. Polymers 2022, 14, 382. [Google Scholar] [CrossRef] [PubMed]
- Xiao, J.; Lu, Q.; Cong, H.; Shen, Y.; Yu, B. Microporous Poly(Glycidyl Methacrylate-Co-Ethylene Glycol Dimethyl Acrylate) Microspheres: Synthesis, Functionalization and Applications. Polym. Chem. 2021, 12, 6050–6070. [Google Scholar] [CrossRef]
- Sobiesiak, M.; Podkościelna, B.; Podkościelny, P. New Functionalised Polymeric Microspheres for Multicomponent Solid Phase Extraction of Phenolic Compounds. Adsorption 2016, 22, 653–662. [Google Scholar] [CrossRef]
- Maciejewska, M. Thermal Properties of TRIM–GMA Copolymers with Pendant Amine Groups. J. Therm. Anal. Calorim. 2016, 126, 1777–1785. [Google Scholar] [CrossRef]
- Podkościelna, B. Synthesis, Modification, and Porous Properties of New Glycidyl Methacrylate Copolymers. J. Appl. Polym. Sci. 2011, 120, 3020–3026. [Google Scholar] [CrossRef]
- Zhang, W.L.; Piao, S.H.; Choi, H.J. Facile and Fast Synthesis of Polyaniline-Coated Poly(Glycidyl Methacrylate) Core-Shell Microspheres and Their Electro-Responsive Characteristics. J. Colloid. Interface Sci. 2013, 402, 100–106. [Google Scholar] [CrossRef] [PubMed]
- Grochowicz, M.; Pączkowski, P.; Gawdzik, B. Investigation of the Thermal Properties of Glycidyl Methacrylate–Ethylene Glycol Dimethacrylate Copolymeric Microspheres Modified by Diels–Alder Reaction. J. Therm. Anal. Calorim. 2018, 133, 499–508. [Google Scholar] [CrossRef]
- Zasońska, B.A.; Šálek, P.; Procházková, J.; Müllerová, S.; Svoboda, J.; Petrovský, E.; Proks, V.; Horák, D.; Šafařík, I. Peroxidase-like Activity of Magnetic Poly(Glycidyl Methacrylate-Co-Ethylene Dimethacrylate) Particles. Sci. Rep. 2019, 9, 1–10. [Google Scholar] [CrossRef] [PubMed]
- Maciejewska, M. Characterization of Thermal Properties of Porous Microspheres Bearing Pyrrolidone Units. J. Therm. Anal. Calorim. 2015, 119, 1147–1155. [Google Scholar] [CrossRef]
- Maciejewska, M.; Rogulska, M. Porous DMN-Co-GMA Copolymers Modified with 1-(2-Hydroxyethyl)-2-Pyrrolidone. J. Therm. Anal. Calorim. 2021, 144, 699–711. [Google Scholar] [CrossRef]
- Salih, B.; Denizli, A.; Kavakli, C.; Say, R.; Pişkin, E. Adsorption of Heavy Metal Ions onto Dithizone-Anchored Poly (EGDMA-HEMA) Microbeads. Talanta 1998, 46, 1205–1213. [Google Scholar] [CrossRef] [PubMed]
- Tank, R.; Pathak, U.; Singh, A.; Gupta, A.; Gupta, D.C. A Convenient One Step Preparation of Crosslinked Polystyrene Mercaptomethyl Resin. React. Funct. Polym. 2009, 69, 224–228. [Google Scholar] [CrossRef]
- Podkościelna, B.; Kolodyńska, D. A New Type of Cation-Exchange Polymeric Microspheres with Pendant Methylenethiol Groups. Polym. Adv. Technol. 2013, 24, 866–872. [Google Scholar] [CrossRef]
- Çelebi, B. A Simple Synthetic Route for the Preparation of a Reversed-Phase Stationary Phase Based on Monosized-Porous Hydrogel Beads and Its Chromatographic Use for Separation of Small Molecules. Acta Chromatogr. 2017, 29, 143–159. [Google Scholar] [CrossRef]
- Grochowicz, M.; Gawdzik, B. Preparation and Characterization of Porous Crosslinked Microspheres of New Aromatic Methacrylates. J. Porous Mater. 2013, 20, 339–349. [Google Scholar] [CrossRef]
- Ferreira, A.; Bigan, M.; Blondeau, D. Optimization of a Polymeric HPLC Phase: Poly(Glycidyl Methacrylate-Co-Ethylene Dimethacrylate): Influence of the Polymerization Conditions on the Pore Structure of Macroporous Beads. React. Funct. Polym. 2003, 56, 123–136. [Google Scholar] [CrossRef]
- Unsal, E.; Çamli, S.T.; Irmak, T.; Tuncel, M.; Tuncel, A. Monodisperse Poly (Styrene-Co-Divinylbenzene) Particles (3.2 Μm) with Relatively Small Pore Size as HPLC Packing Material. Chromatographia 2004, 60, 553–560. [Google Scholar] [CrossRef]
- Harmand, L.; Drabina, P.; Pejchal, V.; Husáková, L.; Sedlák, M. Recyclable Catalyst for the Asymmetric Henry Reaction Based on Functionalized Imidazolidine-4-One-Copper(II) Complexes Supported by a Polystyrene Copolymer. Tetrahedron Lett. 2015, 56, 6240–6243. [Google Scholar] [CrossRef]
- Kim, J.-W.; Lee, J.-E.; Kim, S.-J.; Lee, J.-S.; Ryu, J.-H.; Kim, J.; Han, S.-H.; Chang, I.-S.; Suh, K.-D. Synthesis of Silver/Polymer Colloidal Composites from Surface-Functional Porous Polymer Microspheres. Polymer 2004, 45, 4741–4747. [Google Scholar] [CrossRef]
- Su, Z.; Cheng, Y.; Xu, X.; Wang, H.; Xiao, L.; Tang, D.; Xie, Q.; Qin, X. Preparation of Porous Thiolated Polymer Nanocomposite for Construction of Sensitive and Selective Phytohormone Amperometric Immunosensor. Microchem. J. 2020, 153, 104380. [Google Scholar] [CrossRef]
- He, X.; Tan, L.; Wu, X.; Yan, C.; Chen, D.; Meng, X.; Tang, F. Electrospun Quantum Dots/Polymer Composite Porous Fibers for Turn-on Fluorescent Detection of Lactate Dehydrogenase. J. Mater. Chem. 2012, 22, 18471–18478. [Google Scholar] [CrossRef]
- Masquelin, T.; Meunier, N.; Gerber, F.; Rossé, G. Solution- and Solid-Phase Synthesis of Combinatorial Libraries of Trisubstituted 1,3,5-Triazines. Heterocycles 1998, 48, 2489–2505. [Google Scholar] [CrossRef]
- Becht, J.-M.; Wagner, A.; Mioskowski, C. A Straightforward Preparation of a Polystyrene Thiol Resin. Tetrahedron Lett. 2004, 45, 7031–7033. [Google Scholar] [CrossRef]
- Kobayashi, S.; Hachiya, I.; Suzuki, S.; Moriwaki, M. Polymer-Supported Silyl Enol Ethers. Synthesis and Reactions with Imines for the Preparation of an Amino Alcohol Library. Tetrahedron Lett. 1996, 37, 2809–2812. [Google Scholar] [CrossRef]
- Maciejewska, M.; Grochowicz, M. Synthesis and Thermal Characterization of Porous Polymeric Microspheres Functionalized with Thiol Groups. J. Therm. Anal. Calorim. 2023, 148, 4195–4210. [Google Scholar] [CrossRef]
- Grochowicz, M.; Szajnecki, Ł.; Rogulska, M. Crosslinked 4-Vinylpyridine Monodisperse Functional Microspheres for Sorption of Ibuprofen and Ketoprofen. Polymers 2022, 14, 2080. [Google Scholar] [CrossRef] [PubMed]
- Jones, G.R.; Wang, H.S.; Parkatzidis, K.; Whitfield, R.; Truong, N.P.; Anastasaki, A. Reversed Controlled Polymerization (RCP): Depolymerization from Well-Defined Polymers to Monomers. J. Am. Chem. Soc. 2023, 145, 9898–9915. [Google Scholar] [CrossRef] [PubMed]
- Piracha, A.; Zulfiqar, S.; McNeill, I.C. The Thermal Degradation of Copolymers of Glycidyl Methacrylate and Vinylacetate. Polym. Degrad. Stab. 1996, 51, 319–326. [Google Scholar] [CrossRef]
- Tsioptsias, C. Thermochemical Transition in Non-Hydrogen-Bonded Polymers and Theory of Latent Decomposition. Polymers 2022, 14, 5054. [Google Scholar] [CrossRef] [PubMed]
- Worzakowska, M.; Sztanke, K.; Sztanke, M. Application of Simultaneous and Coupled Thermal Analysis Techniques in Studies on the Melting Process, Course of Pyrolysis and Oxidative Decomposition of Fused Triazinylacetohydrazides. Int. J. Mol. Sci. 2024, 25, 813. [Google Scholar] [CrossRef]
- Worzakowska, M. TG/DSC/FTIR/QMS Analysis of Environmentally Friendly Poly(Citronellyl Methacrylate)-Co-Poly(Benzyl Methacrylate) Copolymers. J. Mater. Sci. 2023, 58, 2005–2024. [Google Scholar] [CrossRef]
- Madrid, J.F.; Barba, B.J.D.; Pomicpic, J.C.; Cabalar, P.J.E. Immobilization of an Organophosphorus Compound on Polypropylene-g-Poly(Glycidyl Methacrylate) Polymer Support and Its Application in Scandium Recovery. J. Appl. Polym. Sci. 2022, 139, 51597. [Google Scholar] [CrossRef]
- NIST 2-Propenoic Acid. Available online: https://webbook.nist.gov/cgi/inchi?ID=C106912&Mask=80 (accessed on 11 March 2024).
- NIST 2-Propenal. Available online: https://webbook.nist.gov/cgi/cbook.cgi?ID=C107028&Type=IR-SPEC&Index=1 (accessed on 12 March 2024).
- Worzakowska, M. Experimental Studies on the Preparation and Properties of Starch-Graft-Poly(Hexyl Acrylate) Copolymers. J. Appl. Polym. Sci. 2023, 140, e54029. [Google Scholar] [CrossRef]
- Li, G.; Zhu, X.; Zhu, J.; Cheng, Z.; Zhang, W. Homogeneous Reverse Atom Transfer Radical Polymerization of Glycidyl Methacrylate and Ring-Opening Reaction of the Pendant Oxirane Ring. Polymer 2005, 46, 12716–12721. [Google Scholar] [CrossRef]
- Rogulska, M. The Influence of Diisocyanate Structure on Thermal Stability of Thermoplastic Polyurethane Elastomers Based on Diphenylmethane-Derivative Chain Extender with Sulfur Atoms. Materials 2023, 16, 2618. [Google Scholar] [CrossRef]
- Maciejewska, M.; Gawdzik, B.; Rogulska, M. Regular Polymeric Microspheres with Highly Developed Internal Structure and Remarkable Thermal Stability. Materials 2021, 14, 2240. [Google Scholar] [CrossRef]
- Grochowicz, M.; Kierys, A. TG/DSC/FTIR Studies on the Oxidative Decomposition of Polymer-Silica Composites Loaded with Sodium Ibuprofen. Polym. Degrad. Stab. 2017, 138, 151–160. [Google Scholar] [CrossRef]
- Socrates, G. Infrared and Raman Characteristic Group Frequencies: Tables and Charts, 3rd ed.; Wiley: New York, NY, USA, 2004; ISBN 978-0-470-09307-8. [Google Scholar]
- Rogulska, M. New Thermoplastic Poly(Carbonate-Urethane)s Based on Diphenylethane-Derivative Chain Extenders—The Effect of Chain Extender Structure on Thermal and Mechanical Properties. J. Therm. Anal. Calorim. 2020, 139, 3107–3121. [Google Scholar] [CrossRef]
- Rogulska, M. Transparent Sulfur-Containing Thermoplastic Polyurethanes with Polyether and Polycarbonate Soft Segments. Polym. Bull. 2018, 75, 1211–1235. [Google Scholar] [CrossRef]














| Sample | T5% (°C) | T50% (°C) | Tmax1 (°C) | Δm1 (%) | Tmax2 (°C) | Δm2 (%) | Tmax3 (°C) | Δm3 (%) |
|---|---|---|---|---|---|---|---|---|
| poly(GMA-co-TRIM) | 238 | 333 | 251 | 39.4 | 375 | 49.3 | 519 | 9.6 |
| poly(GMA-co-TRIM)-SH | 292 | 365 | - | - | 353 | 89.2 | 531 | 9.5 |
| poly(GMA-co-1,4DMB) | 254 | 346 | 269 | 33.8 | 388 | 49.9 | 556 | 11.2 |
| poly(GMA-co-1,4DMB)-SH | 276 | 346 | - | - | 355 | 83.9 | 479 | 16.6 |
Disclaimer/Publisher’s Note: The statements, opinions and data contained in all publications are solely those of the individual author(s) and contributor(s) and not of MDPI and/or the editor(s). MDPI and/or the editor(s) disclaim responsibility for any injury to people or property resulting from any ideas, methods, instructions or products referred to in the content. |
© 2024 by the authors. Licensee MDPI, Basel, Switzerland. This article is an open access article distributed under the terms and conditions of the Creative Commons Attribution (CC BY) license (https://creativecommons.org/licenses/by/4.0/).
Share and Cite
Maciejewska, M.; Łastawiecka, E.; Grochowicz, M. Thermal Characterization of Crosslinked Polymeric Microspheres Bearing Thiol Groups Studied by TG/FTIR/DSC under Non-Oxidative Conditions. Materials 2024, 17, 1372. https://doi.org/10.3390/ma17061372
Maciejewska M, Łastawiecka E, Grochowicz M. Thermal Characterization of Crosslinked Polymeric Microspheres Bearing Thiol Groups Studied by TG/FTIR/DSC under Non-Oxidative Conditions. Materials. 2024; 17(6):1372. https://doi.org/10.3390/ma17061372
Chicago/Turabian StyleMaciejewska, Magdalena, Elżbieta Łastawiecka, and Marta Grochowicz. 2024. "Thermal Characterization of Crosslinked Polymeric Microspheres Bearing Thiol Groups Studied by TG/FTIR/DSC under Non-Oxidative Conditions" Materials 17, no. 6: 1372. https://doi.org/10.3390/ma17061372
APA StyleMaciejewska, M., Łastawiecka, E., & Grochowicz, M. (2024). Thermal Characterization of Crosslinked Polymeric Microspheres Bearing Thiol Groups Studied by TG/FTIR/DSC under Non-Oxidative Conditions. Materials, 17(6), 1372. https://doi.org/10.3390/ma17061372

