Study on the Effect of Polyamine Water Treatment Agent on Metal Corrosion Inhibition in Boiler Steam–Water System
Abstract
1. Introduction
2. Materials and Methods
2.1. Materials
2.2. The Preparation of Polyamine Water Treatment Agent
2.3. The Film-Forming Property Characterization
2.4. The Electrochemical Property Characterization
2.5. The Metal Corrosion Experiment
2.6. The Micromorphology Characterization
3. Results and Discussion
3.1. The Film-Forming Property of Polyamine Water Treatment Agent
3.2. The Electrochemical Properties of Carbon Steel
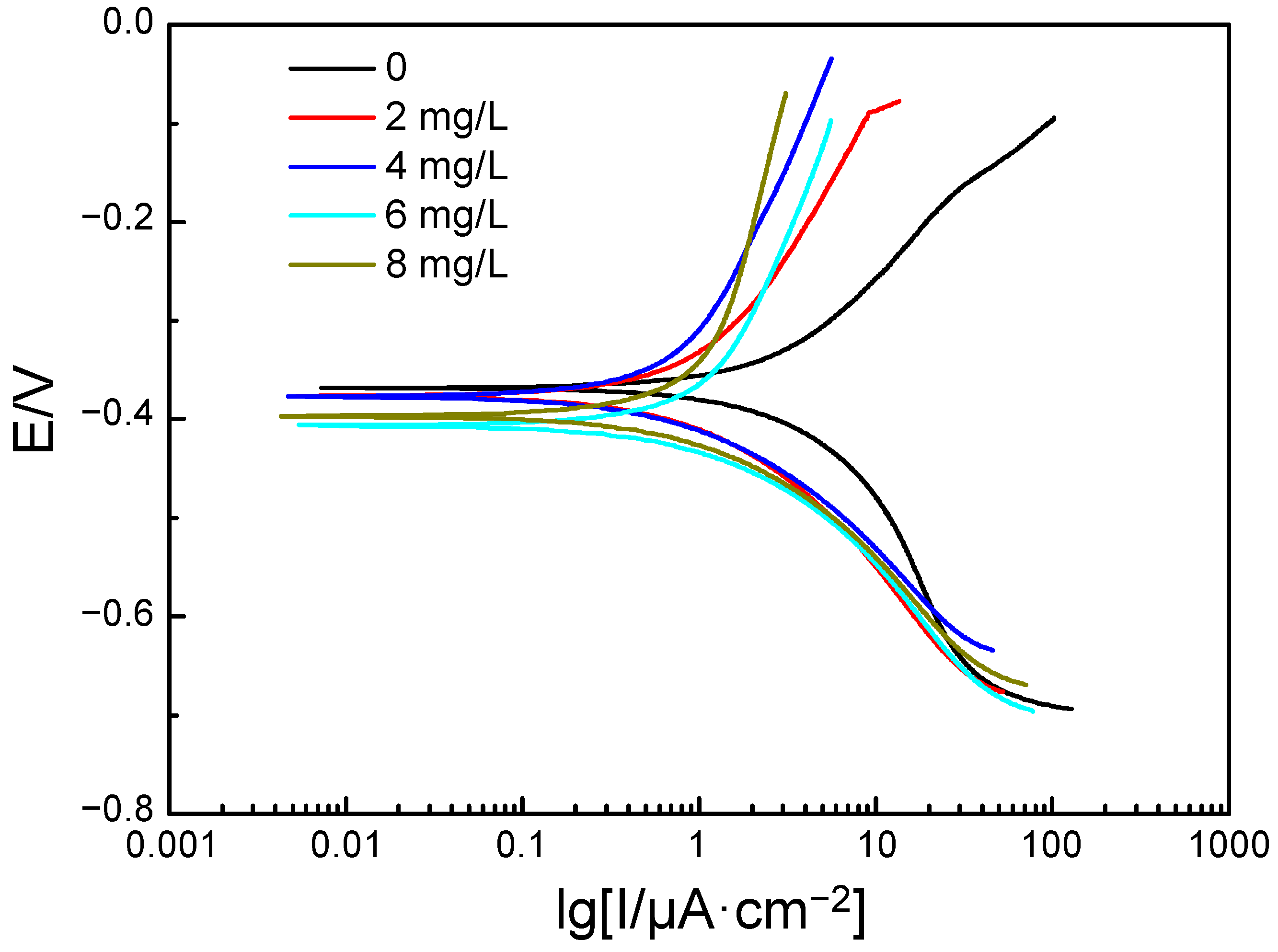
3.2.1. The Analysis of the Polarization Curve
3.2.2. The Analysis of Electrochemical Impedance Spectroscopy
3.3. The Corrosion Inhibition Effect of Polyamine Water Treatment Agent
3.3.1. pH Regulation Performance of Polyamine Water Treatment Agent
3.3.2. The Corrosion Inhibition Effect of Polyamine Water Treatment Agent on Carbon Steel
3.3.3. Surface Micromorphology of Carbon Steel after Corrosion Experiment
4. Conclusions
Author Contributions
Funding
Institutional Review Board Statement
Informed Consent Statement
Data Availability Statement
Acknowledgments
Conflicts of Interest
References
- Daucik, K.; Dooley, R. Phosphate and NaOH treatments for the steam-water circuits of drum boilers of fossil and combined cycle/HRSG power plants. In Proceedings of the International Association for the Properties of Water and Steam. Plzen (Czech Republic): International Association for the Properties of Water and Steam, Plzeň, Czech Republic, 2–7 September 2011. [Google Scholar]
- Kluck, R.; Torres, J.; Antompietri, A.; Rivera, J. Experiences using neutralizing amines to control pH and minimize FAC in a combined-cycle power plant. Power Plant Chem. 2010, 13, 94–103. [Google Scholar]
- Baghni, I.M.; Zwebek, A.I. Using of congruent phosphate as equilibrium phosphate boilers water treatment. WIT Transact. Ecol. Environ. 2009, 159–169. [Google Scholar] [CrossRef]
- Dooley, R.B.; Bursik, A. Caustic gouging. Power Plant Chem. 2010, 12, 188–192. [Google Scholar]
- Dooley, R.B.; Bursik, A. Acid Phosphate Corrosion. Power Plant Chem. 2010, 12, 368. [Google Scholar]
- Passell, T.; Welty, C.; Hobart, S. Use of organic amines in water chemistry control for pressurized water reactor secondary systems. Prog. Nucl. Energy 1987, 20, 235–254. [Google Scholar] [CrossRef]
- Chen, T.-Y.; Port, R.D.; Batton, C.B.; Cicero, D. Condensate corrosion in steam generating systems. In Proceedings of the CORROSION 98, San Diego, CA, USA, 22–27 March 1998. [Google Scholar]
- Robinson, J. Do Organic Amines have a Role in the Treatment of High Purity Boiler Feed-water. GE Power Water Water Process Technol. 2010. Available online: https://www.scribd.com/document/174790755 (accessed on 20 January 2024).
- Nasrazadani, S.; Reid, A.; Stevens, J.; Theimer, R.; Fellers, B. Comparison of DBU, NH 3, DMA, ETA, and morpholine interactions with ferrous chloride solution and carbon steel surfaces. In Proceedings of the 15th International Conference on Environmental Degradation of Materials in Nuclear Power Systems-Water Reactors, Colorado Springs, CO, USA, 7–11 August 2011; pp. 1859–1878. [Google Scholar]
- Forêt, C.; Stoianovici, G.; Blériot, P.; Hater, W.; Matheis, J. Film forming amines for closed cooling/heating water systems. In Proceedings of the EUROCORR, Uncasville, CT, USA, 30 October–2 November 2013. [Google Scholar]
- Betova, I.; Bojinov, M.; Saario, T. Film-Forming Amines in Steam/Water Cycles–structure, properties, and influence on corrosion and deposition processes. VTT Espoo Finl. 2014. Available online: https://publications.vtt.fi/julkaisut/muut/2014/VTT-R-03234-14.pdf (accessed on 20 January 2024).
- Hater, W.; Olivet, D. Organic boiler feedwater additives based upon film forming amines; Organische Kesselspeisewasseradditive auf Basis filmbildender Amine. VGB PowerTech. 2009, 89, 75–79. [Google Scholar]
- Voges, N.; Hater, W. Distribution ratio and average surface coverage of film forming amines; Verteilungsgleichgewicht und mittlere Oberflaechenbelegung von filmbildenden Aminen. VGB PowerTech. 2010, 90, 72–76. [Google Scholar]
- Hater, W.; Olivet, D.; Rudschützky, N. The chemistry and properties of organic boiler feedwater additives based on film-forming amines and their use in steam generators. Power Plant Chem. 2009, 11, 90–96. [Google Scholar]
- Janssen, P.; Savelkoul, J. In search of an alternative high-pressure boiler water treatment program. Power Plant Chem. 2012, 14, 440–448. [Google Scholar]
- Van Lier, R.; Cuoq, F.; Peters, R.; Savelkoul, J. Ten Years of Experience with Polyamines in the High-Pressure Steam System of a Naphta Cracker. Power Plant Chem. 2015, 17, 356–363. [Google Scholar]
- Bäßler, R.; Uhlemann, M.; Mummert, K. Inhibiting effect of octadecylamine on pitting corrosion behaviour of stainless steel type 1.4541 up to 250 °C. Mater. Corros. 1999, 50, 146–153. [Google Scholar] [CrossRef]
- Bloom, D.M. Advanced amines cut condensate corrosion. Power 2001, 145, 81. [Google Scholar]
- Bursik, A. Polyamine/Amine treatment-A reasonable alternative for conditioning high pressure cycles with drum boilers. Power Plant Chem. 2004, 6, 549–556. [Google Scholar]
- Fallon, H. A performance-based approach to cooling water chemistry control. Power Plant Chem. 2004, 6, 203–223. [Google Scholar]
- Savelkoul, J.; van Lier, R. Operational experience with organics in industrial steam generation. Power Plant Chem. 2005, 7, 733–739. [Google Scholar]
- Svoboda, R.; Hehs, H.; Leidich, F.; Roberts, B.; Gabrielli, F.; Seipp, H. Organic impurities and organic conditioning agents in the steam/water cycle: A power plant manufacturer’s point of view. Power Plant Chem. 2006, 8, 502–509. [Google Scholar]
- Khodyrev, B.; Krichevtsov, A.; Sokolyuk, A. Studying the processes relating to oxidation of organic substances contained in the coolant of thermal and nuclear power stations. Therm. Eng. 2010, 57, 553–559. [Google Scholar] [CrossRef]
- Zhao, Z.J.; Dai, Q.; Feng, S.C.; Jin, D. Preparation of Film-Forming Amine Emulsion as Boiler Water Treatment Agent. Solid State Phenom. 2022, 331, 125–130. [Google Scholar] [CrossRef]
- Kokalj, A.; Lozinšek, M.; Kapun, B.; Taheri, P.; Neupane, S.; Losada-Pérez, P.; Xie, C.; Stavber, S.; Crespo, D.; Renner, F.U. Simplistic correlations between molecular electronic properties and inhibition efficiencies: Do they really exist? Corros. Sci. 2021, 179, 108856. [Google Scholar] [CrossRef]












| Carbon Steel Sample | Element Mass Content | ||
|---|---|---|---|
| Fe/% | C/% | N/% | |
| Pristine carbon steel | 95.90 | 4.10 | / |
| Dipped carbon steel | 93.51 | 5.78 | 0.71 |
| C/mg/L | Icorr/μA/cm2 | −Ecorr/V | Ba/mV | Bc/mV | η/% |
|---|---|---|---|---|---|
| 0 | 4.4223 | 0.3682 | 232.43 | 306.43 | |
| 2 | 1.4717 | 0.3764 | 367.16 | 205.92 | 66.72 |
| 4 | 1.0222 | 0.3771 | 478.3 | 147.57 | 76.88 |
| 6 | 1.8282 | 0.4067 | 697.8 | 182.69 | 58.66 |
| 8 | 1.8864 | 0.3968 | 2160 | 186.98 | 57.34 |
| C/mg/L | Rs/Ω·cm2 | C/F·cm−2 | Rt/Ω·cm2 | W | CPE | Rt′/Ω·cm2 | Rtotal/Ω·cm2 | η/% | |||
|---|---|---|---|---|---|---|---|---|---|---|---|
| R/Ω·cm2 | Y0/F·cm−2 | n | Y0′/F·cm−2 | n′ | |||||||
| 0 | 200.17 | 2.34 × 10−9 | 608.97 | 3898.6 | 3.3406 | 0.39138 | 4507.57 | ||||
| 2 | 49.182 | 1.94 × 10−9 | 255.42 | 4492.8 | 4.409 | 0.36323 | 1.62 × 10−6 | 0.90959 | 2113.1 | 6861.32 | 52.22 |
| 4 | 167.77 | 2.80 × 10−9 | 465.09 | 5649.3 | 6.4494 | 0.40182 | 1.36 × 10−6 | 0.9429 | 2102.7 | 8217.09 | 82.30 |
| 6 | 99.358 | 3.86 × 10−9 | 159.01 | 4886.2 | 3.9901 | 0.41901 | 1.54 × 10−6 | 0.93016 | 2502.6 | 7547.81 | 67.45 |
| 8 | 93.242 | 4.32 × 10−9 | 127.4 | 4000.3 | 4.4644 | 0.39224 | 1.47 × 10−6 | 0.92947 | 2240.2 | 6367.9 | 41.27 |
| Concentration/ mg/L | Temperature/ °C | Pressure/ MPa | Time/h | Medium | Corrosion Rate/mm/a | Average Corrosion Rate/mm/a | Corrosion Inhibition Rate/% | ||
|---|---|---|---|---|---|---|---|---|---|
| 1 | 2 | 3 | |||||||
| 0 | 150 | 0 | 24 | Liquid | 0.06448 | 0.06696 | 0.07812 | 0.06985 | / |
| Gas | 0.07068 | 0.05208 | 0.04092 | 0.05456 | / | ||||
| 4 | 150 | 0 | 24 | Liquid | 0.03224 | 0.03472 | 0.02976 | 0.03224 | 53.84 |
| Gas | 0.02232 | 0.01736 | 0.01364 | 0.01777 | 67.43 | ||||
| 0 | 350 | 16.5 | 24 | Liquid | 0.1364 | 0.1240 | 0.1290 | 0.1298 | / |
| Gas | 0.09547 | 0.08803 | 0.07688 | 0.08679 | / | ||||
| 4 | 350 | 16.5 | 24 | Liquid | 0.07563 | 0.1066 | 0.09051 | 0.09091 | 29.96 |
| Gas | 0.07315 | 0.08431 | 0.1017 | 0.08639 | 0.46 | ||||
| Carbon Steel Sample | Element Mass Content | ||
|---|---|---|---|
| Fe/% | C/% | O/% | |
| 1 | 95.90 | 4.10 | / |
| 2 | 89.87 | 4.24 | 5.89 |
| 3 | 93.16 | 3.07 | 3.77 |
| 4 | 92.47 | 2.86 | 4.67 |
| 5 | 94.13 | 3.28 | 2.59 |
| 6 | 71.61 | 2.73 | 25.67 |
| 7 | 72.79 | 2.97 | 24.24 |
| 8 | 86.20 | 3.07 | 10.74 |
| 9 | 84.86 | 5.05 | 10.08 |
Disclaimer/Publisher’s Note: The statements, opinions and data contained in all publications are solely those of the individual author(s) and contributor(s) and not of MDPI and/or the editor(s). MDPI and/or the editor(s) disclaim responsibility for any injury to people or property resulting from any ideas, methods, instructions or products referred to in the content. |
© 2024 by the authors. Licensee MDPI, Basel, Switzerland. This article is an open access article distributed under the terms and conditions of the Creative Commons Attribution (CC BY) license (https://creativecommons.org/licenses/by/4.0/).
Share and Cite
Zhao, Z.; Cao, B.; Zhao, B.; Chen, S.; Jin, D. Study on the Effect of Polyamine Water Treatment Agent on Metal Corrosion Inhibition in Boiler Steam–Water System. Materials 2024, 17, 1063. https://doi.org/10.3390/ma17051063
Zhao Z, Cao B, Zhao B, Chen S, Jin D. Study on the Effect of Polyamine Water Treatment Agent on Metal Corrosion Inhibition in Boiler Steam–Water System. Materials. 2024; 17(5):1063. https://doi.org/10.3390/ma17051063
Chicago/Turabian StyleZhao, Zhijuan, Bingqing Cao, Bo Zhao, Sheng Chen, and Dong Jin. 2024. "Study on the Effect of Polyamine Water Treatment Agent on Metal Corrosion Inhibition in Boiler Steam–Water System" Materials 17, no. 5: 1063. https://doi.org/10.3390/ma17051063
APA StyleZhao, Z., Cao, B., Zhao, B., Chen, S., & Jin, D. (2024). Study on the Effect of Polyamine Water Treatment Agent on Metal Corrosion Inhibition in Boiler Steam–Water System. Materials, 17(5), 1063. https://doi.org/10.3390/ma17051063

