Design, Characterization, and Incorporation of the Alkaline Aluminosilicate Binder in Temperature-Insulating Composites
Abstract
1. Introduction
2. Raw Materials and Testing Techniques
- -
- Metakaolin (oxide content, % by mass: CaO—0.27; SiO2—54.08; Al2O3—43.61; Fe2O3—0.77; MgO—0.52; K2O + Na2O—0.25; LOI—0.50) (specific surface area = 800 m2/kg (by Blaine)) and kaolin (oxide content, % by mass: CaO—0.80; SiO2—58.50; Al2O3—39.50; Fe2O3—0.50; TiO2—0.70; LOI—0.19) (specific surface area = 800 m2/kg (by Blaine)) were used as aluminosilicate components;
- -
- Soluble sodium silicate (per CAS 1344-09-8, silicate modulus Ms = 2.8, density = 1430 Kg/m3) was used as an alkaline component.
- -
- Tripoli powder (per CAS 1317-95-9) (oxide content, % by mass: CaO—0.83; SiO2—85.59; Al2O3—6.20; Fe2O3—3.15; MgO—0.95; SO3—0.39; TiO2—2.03; K2O + Na2O—0.67), specific surface area = 800 m2/kg (by Blaine), bulk density = 2300 kg/m3, porosity ≥ 70%, degree of purity 98.0%;
- -
- Solution of potassium hydroxide KOH (per CAS 1310-58-3), density= 1430 Kg/m3;
- -
- Solution of sodium hydroxide NaOH (per CAS 1310-73-2), density= 1430 Kg/m3.
3. Results and Discussion
3.1. The Influence of Basic Binder Composition and Curing Conditions on Structure Formation of the Alkaline Aluminosilicate Binder
3.1.1. Influence of Binder Design
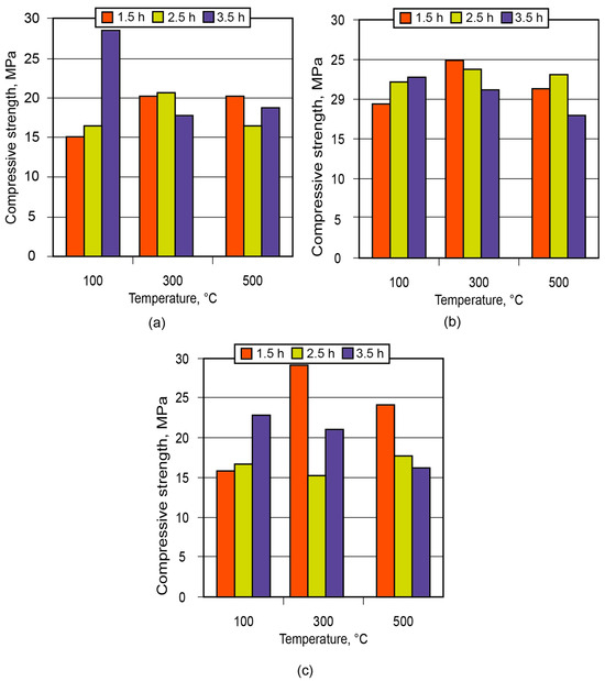
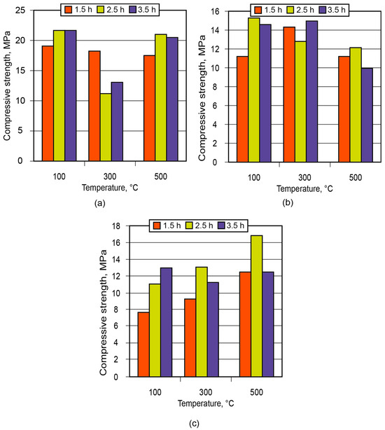
3.1.2. Influence of Curing Conditions
3.2. Manufacturing Process and Examples of Application of the Alkaline Aluminosilicate Binder
4. Conclusions
- This study developed an approach to designing an alkaline aluminosilicate binder to be used in a variety of responsible-use applications, for example, for advanced heat- and high-temperature-insulating composite materials with higher efficiency compared with other traditionally used mineral and organic binding agents, including those intended for fire-stopping applications.
- The structure formation processes in the alkaline aluminosilicate binders were characterized by the following oxide ratios: (Na,K)2O/Al2O3 = 1, SiO2/Al2O3 = 2 to 7, and H2O/Al2O3 = 10 to 15. These caused the formation of zeolite-like reaction products, chiefly composed of aluminosilicate hydrates: analcime, zeolite P, and garronite. The introduction of a calcium-containing additive to the binder composition resulted in the formation of zeolite P and analcime as well as calcium silicate hydrates with the structure of ksonotlite and girolite. The additional quantities of SiO2 added to the binder composition determined the predominance of zeolite-like reaction products with an increased content of SiO2, i.e., minerals of the Na-shabasite- gmelenite, faujasite, and mordenite types.
- The hardening process of the binder with H2O/Al2O3 < 10 took place with the formation of aluminosilicate hydrates through the following stages: amorphous, sub-microcrystalline, and crystalline. In the case of the binder with H2O/Al2O3 > 10, the sub-microcrystalline structure was very poorly identified; as a result, the nucleation of large crystals took place in the amorphous phase, leading to slower hardening and crystallization processes and, finally, to lower properties of the resulting cement matrix.
- Hardening of the binder within 28 days was accompanied through the binding of 93 to 99% of Na+- and K+-ions in the binder matrix. The introduction of the Ca-containing additive allowed us to accelerate the binding of these ions due to the formation of zeolite-like reaction products of the amicite, garronite, and gismondine types.
- The effectiveness of the designed binder as a binding agent for use in the manufacture of glues and adhesives is supported by the experience gained from pilot- and small-scale industrial manufacture and use. Such environmentally friendly mineral binder-based composites encompass a variety of insulating materials for heat insulation and fire stop applications.
Author Contributions
Funding
Institutional Review Board Statement
Informed Consent Statement
Data Availability Statement
Conflicts of Interest
References
- Glukhovsky, V.D. Gruntosilikaty (Soil Silicates); Gosstroyizdat: Kyiv, Ukraine, 1959. [Google Scholar]
- Glukhovsky, V.D. Alkaline and Alkali-Alkali Earth Hydraulic Binders and Concretes; Vyshcha Shkola Publ.: Kyiv, Ukraine, 1979. [Google Scholar]
- Davidovits, J. Geopolymeric Reaction in Archaeological Cements and in Modern Blended Cement. Geopolymer 1988, 1, 93–105. [Google Scholar]
- Kryvenko, P.; Rudenko, I.; Kovalchuk, O.; Gelevera, O.; Konstantynovskyi, O. Influence of Dosage and Modulus on Soluble Sodium Silicate for Early Strength Development of Alkali-Activated Slag Cements. Minerals 2023, 13, 1164. [Google Scholar] [CrossRef]
- Fernández-Jiménez, A.; Pastor, J.Y.; Martín, A.; Palomo, A. High-Temperature Resistance in Alkali-Activated Cement: High Temperature Resistance in Alkali-Activated Cement. J. Am. Ceram. Soc. 2010, 93, 3411–3417. [Google Scholar] [CrossRef]
- Krivenko, P.; Rudenko, I.; Konstantynovskyi, O.; Vaičiukynienė, D. Mitigation of Corrosion Initiated by Cl− and SO42−-Ions in Blast Furnace Cement Concrete Mixed with Sea Water. Materials 2022, 15, 3003. [Google Scholar] [CrossRef] [PubMed]
- Krivenko, P.; Rudenko, I.; Konstantynovskyi, O. Effect of Technological Factors on Freeze-Thaw Resistance of Alkali-Activated Slag Cement Concrete in NaCl Solution; Kharkiv, Ukraine. AIP Conf. Proc. 2023, 2684, 040011. [Google Scholar] [CrossRef]
- Skurchinskaya, Z. Progress in Alkaline Cements. In Alkaline Cements and Concretes; VIPOL Stock Company: Kyiv, Ukraine, 1994; Volume 1, pp. 271–298. [Google Scholar]
- Krivenko, P.; Kyrychok, V. Genesis of Structure and Properties of the Zeolite-Like Cement Matrices of the System Na(K)-Al2O3 -SiO2-H2O within a Temperature Range of 20–1200 °C. In Advances in Geopolymer-Zeolite Composites—Synthesis and Characterization; Vizureanu, P., Krivenko, P., Eds.; IntechOpen: London, UK, 2021. [Google Scholar] [CrossRef]
- He, P.; Wang, M.; Fu, S.; Jia, D.; Yan, S.; Yuan, J.; Xu, J.; Wang, P.; Zhou, Y. Effects of Si/Al Ratio on the Structure and Properties of Metakaolin Based Geopolymer. Ceram. Int. 2016, 42, 14416–14422. [Google Scholar] [CrossRef]
- Garcia-Lodeiro, I.; Palomo, A.; Fernández-Jiménez, A.; Macphee, D.E. Compatibility Studies between N-A-S-H and C-A-S-H Gels. Study in the Ternary Diagram Na2O–CaO–Al2O3–SiO2–H2O. Cem. Concr. Res. 2011, 41, 923–931. [Google Scholar] [CrossRef]
- Longhi, M.A.; Rodríguez, E.D.; Walkley, B.; Zhang, Z.; Kirchheim, A.P. Metakaolin-Based Geopolymers: Relation between Formulation, Physicochemical Properties and Efflorescence Formation. Compos. Part B Eng. 2020, 182, 107671. [Google Scholar] [CrossRef]
- Shi, C.; Krivenko, P.V.; Roy, D. Alkali-Activated Cements and Concretes; Taylor & Francis: London, UK, 2006. [Google Scholar]
- Wang, J.; Li, F.; Zhou, Z.; Du, P.; Xu, D.; Xie, N.; Cheng, X.; Liu, Y. Effect of Zeolite on Waste Based Alkali-Activated Inorganic Binder Efflorescence. Constr. Build. Mater. 2018, 158, 683–690. [Google Scholar] [CrossRef]
- Miranda, T.; Leitão, D.; Oliveira, J.; Corrêa-Silva, M.; Araújo, N.; Coelho, J.; Fernández-Jiménez, A.; Cristelo, N. Application of Alkali-Activated Industrial Wastes for the Stabilisation of a Full-Scale (Sub)Base Layer. J. Clean. Prod. 2020, 242, 118427. [Google Scholar] [CrossRef]
- Kang, S.-P.; Kwon, S.-J. Effects of Red Mud and Alkali-Activated Slag Cement on Efflorescence in Cement Mortar. Constr. Build. Mater. 2017, 133, 459–467. [Google Scholar] [CrossRef]
- Karrech, A.; Dong, M.; Elchalakani, M.; Shahin, M.A. Sustainable Geopolymer Using Lithium Concentrate Residues. Constr. Build. Mater. 2019, 228, 116740. [Google Scholar] [CrossRef]
- Baenla, J.; Bike Mbah, J.B.; Djon Li Ndjock, I.B.; Elimbi, A. Partial Replacement of Low Reactive Volcanic Ash by Cassava Peel Ash in the Synthesis of Volcanic Ash Based Geopolymer. Constr. Build. Mater. 2019, 227, 116689. [Google Scholar] [CrossRef]
- Kryvenko, P.; Rudenko, I.; Konstantynovskyi, O. Design of Slag Cement, Activated by Na (K) Salts of Strong Acids, for Concrete Reinforced with Steel Fittings. EEJET 2020, 6, 26–40. [Google Scholar] [CrossRef]
- Krivenko, P. Why Alkaline Activation–60 Years of the Theory and Practice of Alkali-Activated Materials. J. Ceram. Sci. Technol. 2017, 8, 323–334. [Google Scholar] [CrossRef]
- Provis, J.L.; Van Deventer, J.S.J. (Eds). Alkali Activated Materials: State-of-the-Art Report, RILEM TC 224-AAM; RILEM State-of-the-Art Reports; Springer Netherlands: Dordrecht, The Netherlands, 2014; Volume 13. [Google Scholar] [CrossRef]
- Palomo, A.; Maltseva, O.; Garcia-Lodeiro, I.; Fernández-Jiménez, A. Portland Versus Alkaline Cement: Continuity or Clean Break: “A Key Decision for Global Sustainability”. Front. Chem. 2021, 9, 705475. [Google Scholar] [CrossRef] [PubMed]
- Mokhort, M.A. Formation of Structure and Properties of Alkaline Geocements. In Tagungsbericht 14 Internationale Baustofftagung “Ibausil”; Bauhaus Universitat Weimar: Weimar, Germany, 20–23 September 2000; Volume 1, pp. 1-0553–1-0560. [Google Scholar]
- Krivenko, P.; Mokhort, M.; Petropavlovskyi, O.; Vozniuk, G. Geocement Glues and Composite Materials: Practical Application. In Proceedings of the 2007—International Conference Alkali Activated Materials—Research, Production and Utilization, Praha, Czech Republic, 21–22 June 2007; pp. 397–412. [Google Scholar]
- Pavlasova, S.; Skvara, F. High-Temperature Properties of Geopolymer Materials. In Proceedings of the 2007—International Conference Alkali Activated Materials—Research, Production and Utilization, Praha, Czech Republic, 21–22 June 2007; pp. 523–524. [Google Scholar]
- Mokhort, M.A.; Popel, G.N. The Studies on Structure-Formation Processes and Microstructure of an Artifical Stone on Alkaline Aluminosilicate Binders-Geocements. In Alkaline Cements and Concretes; Oranta Ltd.: Kyiv, Ukraine, 1999; pp. 291–302. [Google Scholar]
- Davidovits, J. Geopolymers of the First Generation: Siliface-Process, Geopolymer; U.T.C. Université Technologique Compiègne: Compiègne, France, 1988; Volume 1, pp. 49–67. [Google Scholar]
- Davidovits, J. Synthetic Inorganic Polymer of the Silicoaluminate Family and Process for the Preparation Thereof; Moulded Articles Containing This Polymer, and Process for Their Preparation. EP0026687A2, 8 April 1981. [Google Scholar]
- Mokhort, M.A. Einfluß von Ausgangzustand und Erhärtungsbedingungen bei der Verfestingung von Geozementen; Bauhaus Universitat Weimar: Weimar, Germany, 2003; Volume 1, pp. 137–143. [Google Scholar]
- Mokhort, M.; Tsibulya, Y. Experience of Application of Geocements for Manufacturing of Inorganic Basalt and Organic-Mineral Jute Compisites. In Proceedings of the 2007—International Conference Alkali Activated Materials—Research, Production and Utilization, Praha, Czech Republic, 21–22 June 2007; pp. 483–492. [Google Scholar]
- Mokhort, M.A.; Tsibulya, Y.L. Geocement Composites Based on Basalt Fabric and Alkaline Aluminosilicate Binder. In Cement Combination for Durable Concrete; Thomas Telford Publish: London, UK, 2005; pp. 287–292. [Google Scholar]
- Gontchar, V.P. The Studies on Thermo-Mechanical Characteristics of the Alkaline Aluminosilicate Binders Modified by a Silicon Carbide; Oranta Ltd. Publish: Kyiv, Ukraine, 1999; pp. 303–312. [Google Scholar]
- Baranovskii, A.V. The Use of Alkaline Aluminosilicate Adhesive in the Production of Wood-Based Materials. News Acad. Constr. Ukr. 1997, 3, 44–48. [Google Scholar]
- Baranovskii, A.V. Wood-Based Materials from Alkaline Aluminosilicate Adhesive. Ph.D. Thesis, Kyiv National University of Construction and Architecture, Kyiv, Poland, 1997. [Google Scholar]
- Mokhort, M.A.; Dhir, R.K.; Hewlett, P.C.; Csetenyi, L.J. Slag Alkaline and Geocement Concretes on Basis of Organic Filler with High Durability. In Innovations and Developments in Concrete Materials and Construction; Thomas Telford Publishing: London, UK, 2002; pp. 597–605. [Google Scholar]
- Voznyuk, G.V. Environmentally Friendly Composites Based on Geocements for Foundry; Oranta Ltd. Publish: Kyiv, Ukraine, 1999; pp. 237–247. [Google Scholar]
- Torgal, F.P.; Labrincha, J.; Leonelli, C.; Palomo Sánchez, A.; Chindaprasirt, P. Handbook of Alkali-Activated Cements, Mortars and Concretes; Woodhead Publishing Series in Civil and Structural Engineering; Elsevier Woodhead Publishing: Cambridge, UK, 2015. [Google Scholar]
- Krivenko, P.; Guzii, S.; Rudenko, I.; Konstantynovskyi, O. Intumescent Fireproof Coatings Based on Zeolite-Like Cement Matrices. CE/Papers 2023, 6, 923–929. [Google Scholar] [CrossRef]
- Gorshkov, B.; Timashev, V.; Savel’ev, V. Methods of Physical-Chemical Analysis of Binders; High School: Moscow, Russia, 1984. [Google Scholar]
- Barrer, B. Hydrothermal Chemistry of Zeolites; World: Moscow, Russia, 1985. [Google Scholar]
- Krivenko, P.; Mokhort, M. Process of Phisico-Chemical Structure Formation in Modified Geocements. In Proceedings of the 2007—International Conference Alkali Activated Materials—Research, Production and Utilization, Praha, Czech Republic, 21–22 June 2007; pp. 379–396. [Google Scholar]
- Breck, D.W. Zeolite Molecular Sieves; Wiley: New York, NY, USA, 1973. [Google Scholar]
- Scrivener, K.; Snellings, R.; Lothenbach, B. (Eds.) A Practical Guide to Microstructural Analysis of Cementitious Materials; First issued in paperback; CRC Press: Boca Raton, FL, USA; London, UK; New York, NY, USA, 2017. [Google Scholar]
- Krivenko, P.; Rudenko, I.; Konstantynovskyi, O.; Vaičiukynienė, D. Feasibility of Incorporating SO42−-Ions in Zeolite-like Matrices Based on Alkaline Aluminosilicate Binders. Constr. Build. Mater. 2023, 391, 131878. [Google Scholar] [CrossRef]

















| Characteristic | Density, kg/m3 | |||
|---|---|---|---|---|
| 150 | 200 | 250 | 300 | |
| Alkaline aluminosilicate binder | ||||
| Binder content (% by volume) | 3.0 | 6.0 | 8.0 | 10.0 |
| Compressive strength (MPa) | 0.25 | 0.30 | 0.35 | 0.45 |
| Flexural strength (MPa) | 0.15 | 0.15 | 0.20 | 0.30 |
| Heat conductivity at 25 °C (W/(m·°C)) | 0.062 | 0.068 | 0.076 | 0.082 |
| Ordinary Portland cement (OPC) | ||||
| Binder content (kg/m3) | − | − | 80 | 110 |
| Compressive strength (MPa) | − | − | 0.15 | 0.25 |
| Flexural strength (MPa) | − | − | 0.16 | 0.20 |
| Heat conductivity at 25 °C (W/(m·°C)) | − | − | 0.075 | 0.085 |
| Glued Materials | Correlation of the Total Areas at Uniform Tearing, % | ||
|---|---|---|---|
| Cohesive Destruction (in Glue), No More Than | Adhesive Destruction (Contact Zone Material: Glue), No More Than | Destruction in Fibrous Layer, Not Less Than | |
| Plate–cardboard | 5 | 5 | 90 |
| Cardboard–steel | 20 | 30 | 50 |
| Plate–steel | 20 | 30 | 50 |
| Plate–aluminum foil | 20 | 30 | 50 |
Disclaimer/Publisher’s Note: The statements, opinions and data contained in all publications are solely those of the individual author(s) and contributor(s) and not of MDPI and/or the editor(s). MDPI and/or the editor(s) disclaim responsibility for any injury to people or property resulting from any ideas, methods, instructions or products referred to in the content. |
© 2024 by the authors. Licensee MDPI, Basel, Switzerland. This article is an open access article distributed under the terms and conditions of the Creative Commons Attribution (CC BY) license (https://creativecommons.org/licenses/by/4.0/).
Share and Cite
Kryvenko, P.; Rudenko, I.; Konstantynovskyi, O.; Gelevera, O. Design, Characterization, and Incorporation of the Alkaline Aluminosilicate Binder in Temperature-Insulating Composites. Materials 2024, 17, 664. https://doi.org/10.3390/ma17030664
Kryvenko P, Rudenko I, Konstantynovskyi O, Gelevera O. Design, Characterization, and Incorporation of the Alkaline Aluminosilicate Binder in Temperature-Insulating Composites. Materials. 2024; 17(3):664. https://doi.org/10.3390/ma17030664
Chicago/Turabian StyleKryvenko, Pavlo, Igor Rudenko, Oleksandr Konstantynovskyi, and Oleksandr Gelevera. 2024. "Design, Characterization, and Incorporation of the Alkaline Aluminosilicate Binder in Temperature-Insulating Composites" Materials 17, no. 3: 664. https://doi.org/10.3390/ma17030664
APA StyleKryvenko, P., Rudenko, I., Konstantynovskyi, O., & Gelevera, O. (2024). Design, Characterization, and Incorporation of the Alkaline Aluminosilicate Binder in Temperature-Insulating Composites. Materials, 17(3), 664. https://doi.org/10.3390/ma17030664

