Synthesis and Complex Dielectric Properties of Ba0.4Sr0.6SnO3 Ceramics with Thorn-like Microstructure
Abstract
1. Introduction
2. Experimental Procedure
3. Results and Discussions
3.1. XRD Analysis
3.2. SEM Images
3.3. XPS Analysis
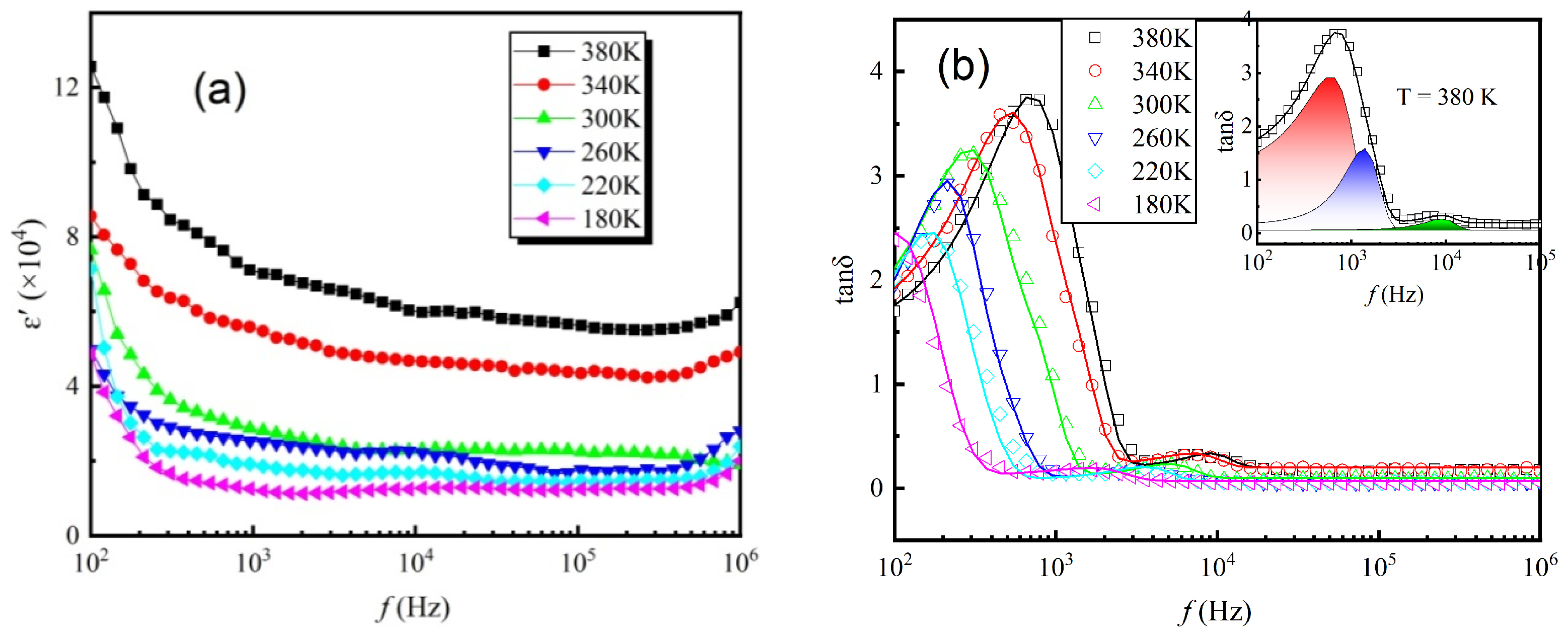
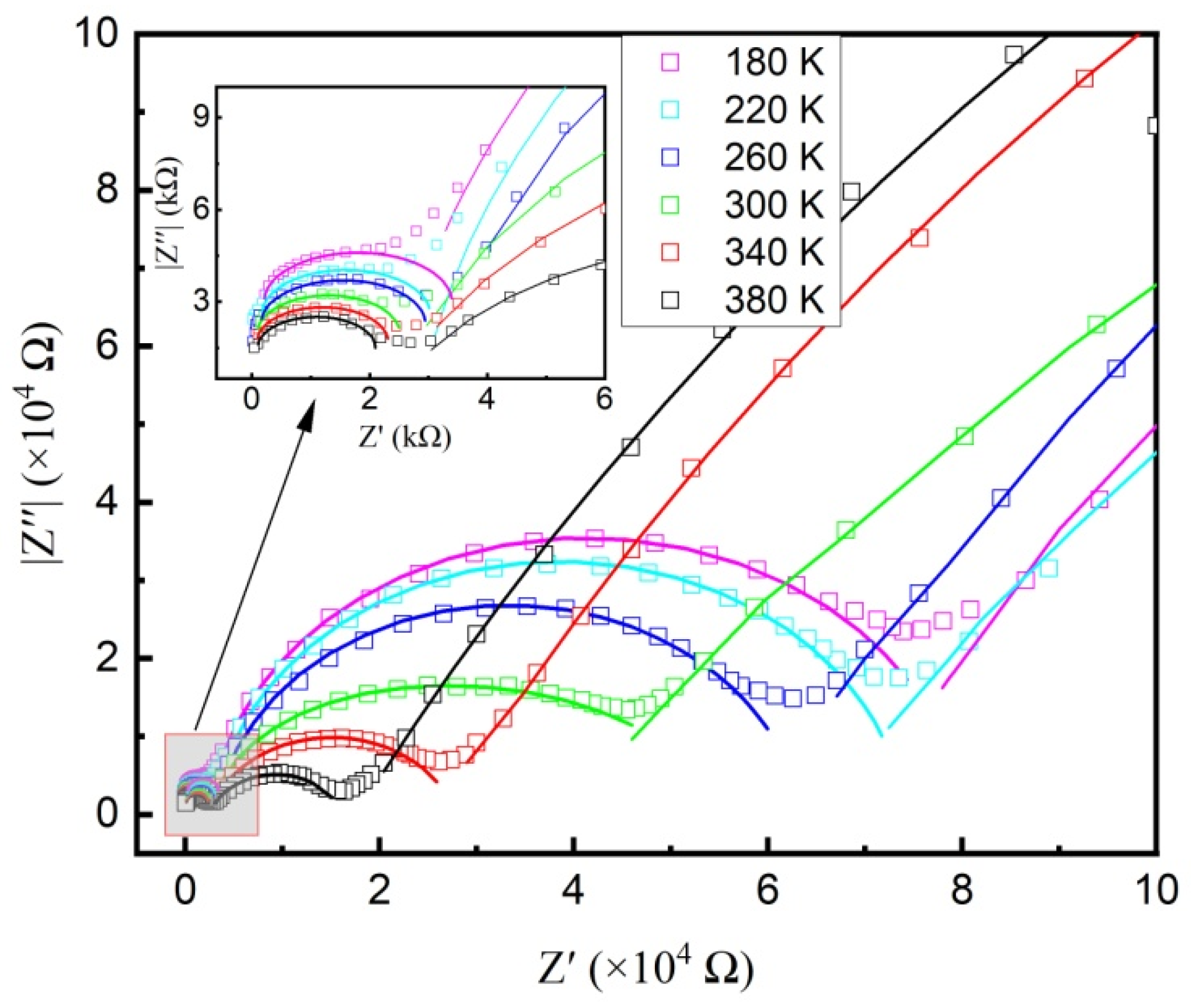
3.4. Dielectric Measurements
4. Conclusions
Author Contributions
Funding
Institutional Review Board Statement
Informed Consent Statement
Data Availability Statement
Conflicts of Interest
References
- Ullah, K.; Khan, S.A.; Zaman, A.; Sarker, M.R.; Ali, A.; Tirth, V.; Alsuhaibani, A.M.; Algahtani, A.; Al-Mughanam, T.; Refat, M.S.; et al. Impact of cobalt doping on the structural, optical, and dielectric properties of MgAl2O4 spinel material. ACS Omega 2023, 8, 29959–29965. [Google Scholar] [CrossRef] [PubMed]
- Kanaun, S.K. Dielectric properties of matrix composite materials with high volume concentrations of inclusions (effective field approach). Int. J. Eng. Sci. 2003, 41, 1287–1312. [Google Scholar] [CrossRef]
- Huang, L.; Cheng, L.; Pan, S.; He, Y.; Tian, C.; Yu, J.; Zhou, H. Effects of Sr doping on the structure, magnetic properties and microwave absorption properties of LaFeO3 nanoparticles. Ceram. Int. 2020, 46, 27352–27361. [Google Scholar] [CrossRef]
- Qin, X.; Li, Y.; Wu, D. A novel NIR long phosphorescent phosphor: SrSnO3: Bi2+. RSC Adv. 2015, 5, 101347–101352. [Google Scholar] [CrossRef]
- Aydi, A.; Khemakhem, H.; Simon, A.; Michau, D.; Mühll, R. Study of ceramic materials in the SrSnO3-NaNbO3 system by X-ray diffraction, dielectric and Raman spectroscopy. J. Alloys Compd. 2009, 484, 356–359. [Google Scholar] [CrossRef]
- Baba, E.; Kan, D.; Yamada, Y. Optical and transport properties of transparent conducting La-doped SrSnO3 thin films. J. Phys. D Appl. Phys. 2015, 48, 455106. [Google Scholar] [CrossRef]
- Howard, C.J.; Knight, K.S.; Kennedy, B.J. The structural phase transitions in strontium zirconate revisited. J. Phys.-Condens. Matter 2000, 12, L677. [Google Scholar] [CrossRef]
- Kumar, Y.; Kumar, R.; Choudhary, R.J. Reduction in the tilting of oxygen octahedron and its effect on bandgap with La doping in SrSnO3. Ceram. Int. 2020, 46, 17569–17576. [Google Scholar] [CrossRef]
- Singh, S.; Singh, P.; Parkash, O.; Kumar, D. Synthesis, microstructure and electrical properties of Ti doped SrSnO3. Adv. Appl. Ceram. 2007, 106, 231–234. [Google Scholar] [CrossRef]
- Kumar, A.; Singh, M.K.; Sharma, M.; Kumar, U. Structural, dielectric and electrical properties of homovalent doped SrSn1−xTixO3 (0 ≤ x ≤ 0.08) system. Indian J. Pure Appl. Phys. 2022, 60, 909–913. [Google Scholar]
- Ouni, S.; Nouri, S.; Khemakhem, H.; Hassen, R.B. Phase transitions, dielectric properties, and vibrational study of stannates perovskites Sr1−xErxSnO3−δ. Mater. Res. Bull. 2014, 51, 136–140. [Google Scholar] [CrossRef]
- Dhahri, R.; Tayari, F.; Albargi, H.B.; Elkenany, E.B.; Al-Syadi, A.M.; Sharma, N.; Lal, M.; Nassar, K.I. Comprehensive analysis of structural, dielectric, and electrical properties of sol-gel synthesized Ba-doped bismuth ferric titanate perovskite nanoparticles. J. Mater. Sci. Mater. Electron. 2024, 35, 1972. [Google Scholar] [CrossRef]
- Liu, Z.; Zhao, K.; Xing, G.; Zheng, W.; Tang, Y. One-step synthesis of unique thorn-like BaTiO3-TiO2 composite nanofibers to enhance piezo-photocatalysis performance. Ceram. Int. 2020, 47, 7278–7284. [Google Scholar] [CrossRef]
- Wu, X.; Cao, L.; Song, J.; Si, Y.; Yu, J.; Ding, B. Thorn-like flexible Ag2C2O4/TiO2 nanofibers as hierarchical heterojunction photocatalysts for efficient visible-light-driven bacteria-killing. J. Colloid Interface Sci. 2020, 15, 681–689. [Google Scholar] [CrossRef]
- Arthi, G.; Selvam, R.; Muthamizhchelvan, C.; Hayakawa, Y.; Ramaraj, S.G. Thorn-like morphology of TiO2 hierarchical structures for efficient dye-sensitized solar cell application. Mater. Lett. 2023, 347, 134654. [Google Scholar] [CrossRef]
- Antipin, D.; Risch, M. Trends of epitaxial perovskite oxide films catalyzing the oxygen evolution reaction in alkaline media. J. Phys. Energy 2020, 2, 032003. [Google Scholar] [CrossRef]
- Zhao, J.W.; Li, Y.; Luan, D.; Lou, X.W. Structural evolution and catalytic mechanisms of perovskite oxides in electrocatalysis. Sci. Adv. 2024, 10, eadq4696. [Google Scholar] [CrossRef]
- Zhong, F.; Zhuang, H.; Gu, Q. Structural evolution of alkaline earth metal stannates MSnO3 (M = Ca, Sr, and Ba) photocatalysts for hydrogen production. Rsc. Adv. 2016, 6, 42474–42481. [Google Scholar] [CrossRef]
- Ou, G.; Xu, Y.; Wen, B. Tuning defects in oxides at room temperature by lithium reduction. Nat. Commun. 2018, 9, 1302. [Google Scholar] [CrossRef]
- Jaim, H.M.; Lee, S.; Zhang, X. Stability of the oxygen vacancy induced conductivity in BaSnO3 thin films on SrTiO3. Appl. Phys. Lett. 2017, 111, 172102. [Google Scholar] [CrossRef]
- Tyuliev, G.; Angelov, S. The nature of excess oxygen in Co3O4+ϵ. Appl. Surf. Sci. 1988, 32, 381–391. [Google Scholar] [CrossRef]
- Zarrin, N.; Husain, S.; Sharma, S. Thermally stimulated small polaron promoted conduction mechanism in Fe-doped La0.7Sm0.3CrO3. J. Phys. Chem. Solids 2020, 138, 109281. [Google Scholar] [CrossRef]
- Abushad, M.; Khan, W.; Naseem, S.; Husain, S.; Nadeem, M.; Ansari, A. Influence of Mn doping on microstructure, optical, dielectric and magnetic properties of BiFeO3 nanoceramics synthesized via solgel method. Ceram. Int. 2019, 45, 7437–7445. [Google Scholar] [CrossRef]
- Kumar, U.; Ankur, K.; Yadav, D.; Upadhyay, S. Synthesis and characterization of Ruddlesden-Popper system (Ba1−xSrx)2SnO4. Mater. Charact. 2020, 162, 110198. [Google Scholar] [CrossRef]
- Sagdeo, A.; Gautam, K.; Sagdeo, P.R.; Singh, M.N.; Gupta, S.M.; Nigam, A.K.; Rawat, R.; Sinha, A.K.; Ghosh, H.; Ganguli, T.; et al. Large dielectric permittivity and possible correlation between magnetic and dielectric properties in bulk BaFeO3−δ. Appl. Phys. Lett. 2014, 105, 042906. [Google Scholar] [CrossRef]
- Balaraman, A.A.; Dutta, S. Inorganic dielectric materials for energy storage applications: A review. J. Phys. D Appl. Phys. 2022, 55, 183002. [Google Scholar] [CrossRef]
- Wan, F.; Hua, X.; Guo, Q. Modulation of the structural, magnetic, and dielectric properties of YMnO3 by Cu doping. Materials 2024, 17, 2929. [Google Scholar] [CrossRef]
- Dang, N.T.; Kozlenko, D.P.; Tran, N.; Lee, B.W.; Phan, T.L.; Madhogaria, R.P.; Kalappattil, V.; Yang, D.S.; Kichanov, S.E.; Lukin, E.V.; et al. Structural, magnetic and electronic properties of Ti-doped BaFeO3−δ exhibiting colossal dielectric permittivity. J. Alloys Compd. 2019, 808, 151760. [Google Scholar] [CrossRef]
- Saxena, P.; Mishra, A. Structural and electrical properties of YMnO3 manganites: Influence of Cr ion doping. J. Solid State Chem. 2021, 301, 122364. [Google Scholar] [CrossRef]
- Biswal, M.R.; Nanda, J.; Mishra, N.C.; Anwar, S.; Mishra, A. Dielectric and impedance spectroscopic studies of multiferroic BiFe1−xNixO3. Adv. Mater. Lett. 2014, 5, 531–537. [Google Scholar] [CrossRef]
- Futazuka, T.; Ishikawa, R.; Shibata, N.; Ikuhara, Y. Grain boundary structural transformation induced by co-segregation of aliovalent dopants. Nat. Commun. 2022, 13, 5299. [Google Scholar] [CrossRef] [PubMed]
- Feng, Y.; Li, W.L.; Hou, Y.F.; Yu, Y.; Cao, W.P.; Zhang, T.D.; Fei, W.D. Enhanced dielectric properties of PVDFHFP/BaTiO3-nanowires composites induced by interfacial polarization and wire-shape. J. Mater. Chem. C 2015, 3, 1250–1260. [Google Scholar] [CrossRef]
- Feteira, A. Negative temperature coefficient resistance (NTCR) ceramic thermistors: An industrial perspective. J. Am. Ceram. Soc. 2009, 92, 967–983. [Google Scholar] [CrossRef]








Disclaimer/Publisher’s Note: The statements, opinions and data contained in all publications are solely those of the individual author(s) and contributor(s) and not of MDPI and/or the editor(s). MDPI and/or the editor(s) disclaim responsibility for any injury to people or property resulting from any ideas, methods, instructions or products referred to in the content. |
© 2024 by the authors. Licensee MDPI, Basel, Switzerland. This article is an open access article distributed under the terms and conditions of the Creative Commons Attribution (CC BY) license (https://creativecommons.org/licenses/by/4.0/).
Share and Cite
Li, W.; Wu, X.; Huang, Z.; Wang, D.; Wang, W. Synthesis and Complex Dielectric Properties of Ba0.4Sr0.6SnO3 Ceramics with Thorn-like Microstructure. Materials 2024, 17, 6286. https://doi.org/10.3390/ma17246286
Li W, Wu X, Huang Z, Wang D, Wang W. Synthesis and Complex Dielectric Properties of Ba0.4Sr0.6SnO3 Ceramics with Thorn-like Microstructure. Materials. 2024; 17(24):6286. https://doi.org/10.3390/ma17246286
Chicago/Turabian StyleLi, Wei, Xiaoyu Wu, Ziheng Huang, Depeng Wang, and Weitian Wang. 2024. "Synthesis and Complex Dielectric Properties of Ba0.4Sr0.6SnO3 Ceramics with Thorn-like Microstructure" Materials 17, no. 24: 6286. https://doi.org/10.3390/ma17246286
APA StyleLi, W., Wu, X., Huang, Z., Wang, D., & Wang, W. (2024). Synthesis and Complex Dielectric Properties of Ba0.4Sr0.6SnO3 Ceramics with Thorn-like Microstructure. Materials, 17(24), 6286. https://doi.org/10.3390/ma17246286

