Effects of Temperature and Water Vapor Content on Microstructure, Mechanical Properties and Corrosion Behavior of C/C-SiC Composites
Abstract
1. Introduction
2. Experiment
2.1. Preparation of C/C-SiC Composites
2.2. Methods for Water Vapor Corrosion Tests
2.3. Performance Characterization
3. Results and Discussion
3.1. Oxidation Behavior at Different Temperatures
3.2. Structural Evolution Before and After Oxidation
3.3. Weight Loss Curve
- (a)
- CFs, PyC, and SiC are exposed on the surface of C/C-SiC composites.
- (b)
- In a high-temperature water vapor environment, according to its reactivity, CFs are first oxidized. The corrosion of CFs preferentially occurs at the edge, which is the interface between the fiber and the matrix (active points). The corrosion of CF causes debonding and an increase of the reaction area with water vapor (red part of the surface of CFs in the second stage of Figure 12).
- (c)
- CFs continue to be oxidized until the increase of corrosion depth leads to a larger reaction area between PyC and water vapor, exhibiting a similar oxidation rate to CFs. The oxidation continues to occur inside the C/C-SiC composites when a balance is reached between the diffusion and consumption of water vapor. However, as the head of the oxidation area penetrates the interior of the composites, the supply of water vapor could be limited by diffusion, resulting in a decrease in the overall oxidation rate. The oxidation rate of CFs is higher than that of PyC, and the oxidation interface continues to penetrate the interior of the composites along the CF axis.
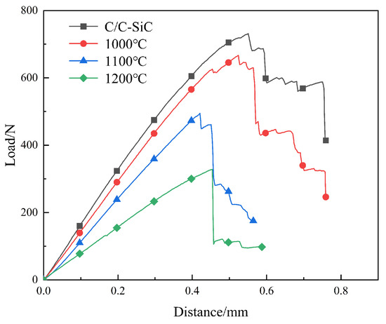
3.4. Three-Point Bending Test
4. Conclusions
Author Contributions
Funding
Institutional Review Board Statement
Informed Consent Statement
Data Availability Statement
Conflicts of Interest
References
- Potapov, A.; Shtefan, Y.; Lichman, E. Research of material for uncooled nozzle extensions of liquid rocket engines. Acta Astronaut. 2009, 64, 22–27. [Google Scholar] [CrossRef]
- Shevtsov, S.; Chang, S.H.; Zhilyaev, I.; Chai, B.X.; Snezhina, N. Numerical Study of Thin-Walled Polymer Composite Part Quality When Manufactured Using Vacuum Infusion with Various External Pressure Controls. Polymers 2024, 16, 654. [Google Scholar] [CrossRef] [PubMed]
- Misra, A. Composite materials for aerospace propulsion related to air and space transportation. In Lightweight Composite Structures in Transport; Woodhead Publishing: Shaston, UK, 2016; pp. 305–327. [Google Scholar]
- Frey, M.; Makowka, K.; Aichner, T. The TICTOP nozzle: A new nozzle contouring concept. CEAS Space J. 2017, 9, 175–181. [Google Scholar] [CrossRef]
- Lacombe, A.; Pichon, T.; Lacoste, M. High temperature composite nozzle extensions: A mature and efficient technology to improve upper stage liquid rocket engine performance. In Proceedings of the 43rd AIAA/ASME/SAE/ASEE Joint Propulsion Conference & Exhibit, Cincinnati, OH, USA, 8–11 July 2007; American Institute of Aeronautics and Astronautics: Reston, VA, USA, 2007. [Google Scholar]
- Alliot, P.; Lassoudiere, F.; Ruault, J.M. Development status of the vinci engine for the ariane 5 upper stage. In Proceedings of the 40th AIAA/ASME/SAE/ASEE Joint Propulsion Conference and Exhibit, Fort Lauderdale, FL, USA, 11–14 July 2004; American Institute of Aeronautics and Astronautics: Reston, VA, USA, 2004. [Google Scholar]
- Delange, J.F.; Alliot, P.J.; Edeline, E.; Lekeux, A. The VINCI upper stage engine: Toward the demonstration of maturity. In Proceedings of the 49th AIAA/ASME/SAE/ASEE Joint Propulsion Conference, San Jose, CA, USA, 14–17 July 2013; American Institute of Aeronautics and Astronautics: Reston, VA, USA, 2013. [Google Scholar]
- Thomas, D.J. Advanced 3D additive manufacturing techniques for revolutionizing the next-generation rocket engine nozzle fabrication. Int. J. Adv. Manuf. Technol. 2023, 127, 3747–3760. [Google Scholar] [CrossRef]
- Kamal, A.; Painuly, A.; Prabhakaran, S.P.; Packirisamy, S. A comparative study on the oxidative stability of polycarbosilane-based Cf/C–SiC and Cf/SiC composites. Mater. Perform. Charact. 2022, 11, 193–201. [Google Scholar] [CrossRef]
- Cho, Y.J.; Lu, K. High temperature oxidation behaviors of bulk SiC with low partial pressures of air and water vapor in argon. Corros. Sci. 2020, 174, 108795. [Google Scholar] [CrossRef]
- Li, S.W.; Feng, Z.D.; Liu, Y.S.; Yang, W.; Zhang, W.; Cheng, L.; Zhang, L. Microstructural evolution of coating-modified 3D C/SiC composites after annealing in wet oxygen at different temperatures. Corros. Sci. 2010, 52, 2837–2845. [Google Scholar] [CrossRef]
- Park, D.J.; Jung, Y.I.; Kim, H.G.; Park, J.Y.; Koo, Y.H. Oxidation behavior of silicon carbide at 1200 °C in both air and water–vapor-rich environments. Corros. Sci. 2014, 88, 416–422. [Google Scholar] [CrossRef]
- Vix-Guterl, C.; Grotzinger, C.; Dentzer, J.; Bacos, M.-P.; Ehrburger, P. Reactivity of a C/SiC composite in water vapour. J. Eur. Ceram. Soc. 2001, 21, 315–323. [Google Scholar] [CrossRef]
- Bawane, K.; Ning, K.; Lu, K. High temperature oxidation behavior of silicon carbide-carbon coated nanostructured ferritic alloy composites in air + water vapor environment. Corros. Sci. 2018, 139, 206–214. [Google Scholar] [CrossRef]
- Zhang, Y.L.; Fei, T.; Zeng, W.Y.; Yang, B.X.; Li, H.J.; Li, K.Z. Microstructure and oxidation behavior of C/C–ZrB2–SiC composites coated with SiC coating at high temperature. Corros. Sci. 2015, 100, 421–427. [Google Scholar] [CrossRef]
- Yao, J.; Pang, S.; Wang, Y.; Hu, C.; Zhao, R.; Li, J.; Tang, S.; Cheng, H.M. Effect of C/SiC Volume Ratios on Mechanical and Oxidation Behaviors of Cf/C-SiC Composites Fabricated by Chemical Vapor Infiltration Technique. Acta Metall. Sin. 2022, 35, 801–811. [Google Scholar] [CrossRef]
- Luan, X.G.; Xu, X.M.; Wang, L.; Zou, Y.; Riedel, R.; Cheng, L. Long-term oxidation behavior of C/SiC-SiBCN composites in wet oxygen environment. J. Eur. Ceram. Soc. 2021, 41, 1132–1141. [Google Scholar] [CrossRef]
- Opila, E.J. Variation of the oxidation rate of silicon carbide with water-vapor pressure. J. Am. Ceram. Soc. 1999, 82, 625–636. [Google Scholar] [CrossRef]
- Luan, X.G.; Zhang, J.; Cheng, L.F. Effects of water vapor on corrosion behaviors of C/SiC in oxidizing atmosphere containing Na2SO4 vapor. Compos. Part B Eng. 2012, 43, 2968–2972. [Google Scholar] [CrossRef]
- Sun, J.; Dang, Y.; Sun, X.; Heumann, S.; Ding, Y. Can Carbon be Used as an Anode for Water Splitting? ChemSusChem 2024, e202401340. [Google Scholar] [CrossRef] [PubMed]
- Halbig, M.C.; McGuffin-Cawley, J.D.; Eckel, A.J.; Brewer, D.N. Oxidation kinetics and stress effects for the oxidation of continuous carbon fibers within a microcracked C/SiC ceramic matrix composite. J. Am. Ceram. Soc. 2008, 91, 519–526. [Google Scholar] [CrossRef]
- GB/T 40398.2-2021; Test Method for C-C Composites—Part 2:Flexural Properties. Standards Press of China: Beijing, China, 2021.
- Opila, E.J.; Fox, D.S.; Jacobson, N.S. Mass Spectrometric Identification of Si–O–H(g) Species from the Reaction of Silica with Water Vapor at Atmospheric Pressure. J. Am. Ceram. Soc. 1997, 80, 1009–1012. [Google Scholar] [CrossRef]
- Goulmy, J.P.; Caty, O.; Rebillat, F. Characterization of the oxidation of C/C/SiC composites by Xray micro-tomography. J. Eur. Ceram. Soc. 2020, 40, 5120–5131. [Google Scholar] [CrossRef]
- Wei, K.; Li, J.; Shi, H.-B.; Tang, M. Numerical evaluation on the influence of void defects and interphase on the thermal expansion coefficients of three-dimensional woven carbon/carbon composites. Compos. Interfaces 2020, 27, 873–892. [Google Scholar] [CrossRef]
- Zhang, Y.; Zhang, J.; Zheng, Y. The thermal expansion behaviour of carbon fiber-reinforced resin mineral composite postcured under various temperatures. J. Reinf. Plast. Compos. 2017, 36, 505–518. [Google Scholar] [CrossRef]
- Jacobson, N.S.; Curry, D.M. Oxidation microstructure studies of reinforced carbon/carbon. Carbon 2006, 44, 1142–1150. [Google Scholar] [CrossRef]
- Lamouroux, F.; Bourrat, X.; Nasalain, R.; Sevely, J. Structure/oxidation behavior relationship in the carbonaceous constituents of 2D-C/PyC/SiC composites. Carbon 1993, 31, 1273–1288. [Google Scholar] [CrossRef]
- Wang, Y.G.; Fei, W.F.; Fan, Y.; Zhang, L.; Zhang, W.; An, L. Silicoaluminum carbonitride ceramic resist to oxidation/corrosion in water vapor. J. Mater. Res. 2006, 21, 1625–1628. [Google Scholar] [CrossRef]
- Glime, W.H.; Cawley, J.D. Oxidation of carbon fibers and films in ceramic matrix composites: A weak link process. Carbon 1995, 33, 1053–1060. [Google Scholar] [CrossRef]
- Yang, H.; Zhao, H.S.; Wang, T.W.; Liu, X.; Zhang, K.; Li, Z.; Gao, Y.; Liu, B. The oxidation behavior of multi-layered SiC coated graphite in water vapor containing environment. Corros. Sci. 2022, 196, 110025. [Google Scholar] [CrossRef]
- Gamanov, Š.; Holzer, J.; Roupcová, P.; Svoboda, J. High temperature oxidation kinetics of Fe-10Al-4Cr-4Y2O3 ODS alloy at 1200–1400 °C. Corros. Sci. 2022, 206, 110498. [Google Scholar] [CrossRef]
- Wang, B.Z.; Li, D.X.; Yang, Z.H.; Cai, D.; Jia, D.; Guan, J.; Zhou, Y. Oxidation kinetic behavior of SiBCN-Ta4HfC5 ceramics at 1600 °C. Corros. Sci. 2022, 207, 110552. [Google Scholar] [CrossRef]
- Xu, Y.J.; Zhang, P.; Lu, H.; Zhang, W. Numerical modeling of oxidized C/SiC microcomposite in air oxidizing environments below 800 °C: Microstructure and mechanical behavior. J. Eur. Ceram. Soc. 2015, 35, 3401–3409. [Google Scholar] [CrossRef]
- Wu, S.J.; Cheng, L.F.; Zhang, L.T. Oxidation behavior of 3D Hi-Nicalon/SiC composite exposed in wet and simulated air environments. Corros. Sci. 2013, 66, 111–117. [Google Scholar] [CrossRef]
- Wang, Z.W.; Wang, B.; Li, S.; Jin, X.; Zhang, X.; Meng, S.; Fang, G. Temperature-dependent oxidation kinetics and mechanical properties degradation of Cf/ZrB2-SiC composites. Corros. Sci. 2023, 224, 111479. [Google Scholar] [CrossRef]















| Composite | Prefabricated Density (g·cm−3) | Density (g·cm−3) | Matrix | Fiber Volume Fraction (%) | Porosity (%) |
|---|---|---|---|---|---|
| C/C | 0.83 | 1.38 | PyC | 46.11 | 21.95 |
| C/C-SiC | - | 2.05 | PyC + SiC | - | 5.43 |
| State | Temperature (°C) | Flow Rate of Water Vapor (mL/min) | Flow Rate of N2 (mL/min) | Partial Pressure of Water Vapor (%) | Oxidation Time (min) |
|---|---|---|---|---|---|
| A1 | 1000 | 1200 | 300 | 80 | 20 |
| A2 | 1000 | 1200 | 300 | 80 | 40 |
| A3 | 1000 | 1200 | 300 | 80 | 60 |
| A4 | 1000 | 750 | 750 | 50 | 20 |
| A5 | 1000 | 300 | 1200 | 20 | 20 |
| A6 | 1000 | 750 | 750 | 50 | 40 |
| A7 | 1000 | 300 | 1200 | 20 | 40 |
| A8 | 1000 | 750 | 750 | 50 | 60 |
| A9 | 1000 | 300 | 1200 | 20 | 60 |
| A10 | 1100 | 1200 | 300 | 80 | 20 |
| A11 | 1100 | 1200 | 300 | 80 | 40 |
| A12 | 1100 | 1200 | 300 | 80 | 60 |
| A13 | 1200 | 1200 | 300 | 80 | 20 |
| A14 | 1200 | 1200 | 300 | 80 | 40 |
| A15 | 1200 | 1200 | 300 | 80 | 60 |
| A16 | 1100 | 300 | 1200 | 20 | 40 |
| A17 | 1200 | 300 | 1200 | 20 | 40 |
| A18 | 1300 | 300 | 1200 | 20 | 40 |
| A19 | 1300 | 1200 | 300 | 80 | 40 |
| A20 | 1400 | 300 | 1200 | 20 | 40 |
| A21 | 1400 | 1200 | 300 | 80 | 40 |
| Temperature (°C) | kPyC (10−7·min−1) | kCf (min−1) |
|---|---|---|
| 1000 | 2.59751 | 0.00142 |
| 1100 | 6.04556 | 0.00958 |
| 1200 | 131.191 | 0.02190 |
Disclaimer/Publisher’s Note: The statements, opinions and data contained in all publications are solely those of the individual author(s) and contributor(s) and not of MDPI and/or the editor(s). MDPI and/or the editor(s) disclaim responsibility for any injury to people or property resulting from any ideas, methods, instructions or products referred to in the content. |
© 2024 by the authors. Licensee MDPI, Basel, Switzerland. This article is an open access article distributed under the terms and conditions of the Creative Commons Attribution (CC BY) license (https://creativecommons.org/licenses/by/4.0/).
Share and Cite
Wei, Y.; Ye, Z.; Wang, Y.; Xiong, X.; Liu, Z.; Wang, J.; Li, T. Effects of Temperature and Water Vapor Content on Microstructure, Mechanical Properties and Corrosion Behavior of C/C-SiC Composites. Materials 2024, 17, 6259. https://doi.org/10.3390/ma17246259
Wei Y, Ye Z, Wang Y, Xiong X, Liu Z, Wang J, Li T. Effects of Temperature and Water Vapor Content on Microstructure, Mechanical Properties and Corrosion Behavior of C/C-SiC Composites. Materials. 2024; 17(24):6259. https://doi.org/10.3390/ma17246259
Chicago/Turabian StyleWei, Yanbin, Zhiyong Ye, Yalei Wang, Xiang Xiong, Zaidong Liu, Jinming Wang, and Tongqi Li. 2024. "Effects of Temperature and Water Vapor Content on Microstructure, Mechanical Properties and Corrosion Behavior of C/C-SiC Composites" Materials 17, no. 24: 6259. https://doi.org/10.3390/ma17246259
APA StyleWei, Y., Ye, Z., Wang, Y., Xiong, X., Liu, Z., Wang, J., & Li, T. (2024). Effects of Temperature and Water Vapor Content on Microstructure, Mechanical Properties and Corrosion Behavior of C/C-SiC Composites. Materials, 17(24), 6259. https://doi.org/10.3390/ma17246259

