Effect of TiO2 Coating on Structure and Electrochemical Performance of LiNi0.6Co0.2Mn0.2O2 Cathode Material for Lithium-Ion Batteries
Abstract
1. Introduction
2. Materials and Methods
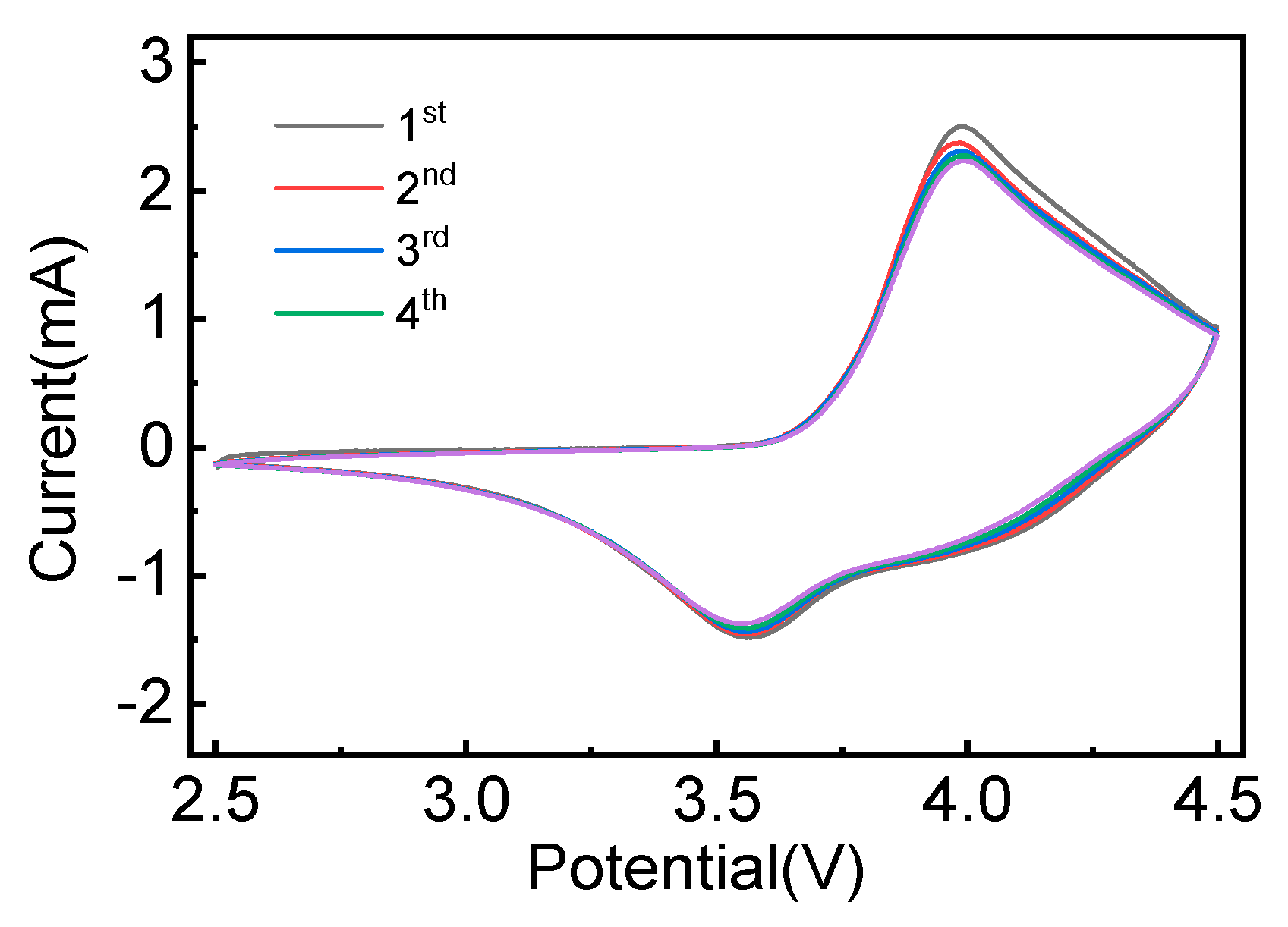
3. Results and Discussion
4. Conclusions
Supplementary Materials
Author Contributions
Funding
Institutional Review Board Statement
Informed Consent Statement
Data Availability Statement
Acknowledgments
Conflicts of Interest
References
- Shi, C.M.; Takeuchi, S.; Alexander, G.V.; Hamann, T.; O’Neill, J.; Dura, J.A.; Wachsman, E.D. High Sulfur Loading and Capacity Retention in Bilayer Garnet Sulfurized-Polyacrylonitrile/Lithium-Metal Batteries with Gel Polymer Electrolytes. Adv. Energy Mater. 2023, 13, 2301656. [Google Scholar] [CrossRef]
- Lu, J.Y.; Xu, C.; Dose, W.; Dey, S.; Wang, X.H.; Wu, Y.H.; Li, D.P.; Ci, L.J. Microstructures of layered Ni-rich cathodes for lthium-ion batteries. Chem. Soc. Rev. 2024, 53, 4707–4740. [Google Scholar] [CrossRef] [PubMed]
- You, B.; Wang, Z.; Shen, F.; Chang, Y.; Peng, W.; Li, X.; Guo, H.; Hu, Q.; Deng, C.; Yang, S.; et al. Research progress of sigle-crystal nickel-rich cathode materials for lithium-ion batteries. Small Methods 2021, 5, 2100234. [Google Scholar] [CrossRef] [PubMed]
- Song, Y.Z.; Wang, L.; Sheng, L.; Ren, D.S.; Liang, H.M.; Li, Y.D.; Wang, A.P.; Zhang, H.; Xu, H.; He, X.M. The significance of mitigating crosstalk in lithium-ion batteries: A review. Energy Environ. Sci. 2023, 16, 1943–1963. [Google Scholar] [CrossRef]
- Mei, P.; Zhang, Y.; Zhang, W. Low-temperature lithium-ion batteries: Challenges and progressof surface/interface modifications for advanced performance. Nanoscale 2023, 15, 987–997. [Google Scholar] [CrossRef] [PubMed]
- Li, J.; Zhong, W.; Deng, Q.; Zhang, Q.; Yang, C. Recent progress in synthesis and surface modification of nickel-rich layered oxide cathode materials for lithium-ion batteries. Int. J. Extrem. Manuf. 2022, 4, 042004. [Google Scholar] [CrossRef]
- Moryson, Y.; Walther, F.; Sann, J.; Mogwitz, B.; Ahmed, S.; Burkhardt, S.; Chen, L.; Klar, P.J.; Volz, K.; Fearn, S.; et al. Analyzing Nanometer-Thin Cathode Particle Coatings for Lithium-Ion Batteries—The Example of TiO2 on NCM622. ACS Appl. Energy Mater. 2021, 4, 7168–7181. [Google Scholar] [CrossRef]
- Wang, W.C.; Lee, C.H.; Yu, D.N.; Kondo, Y.; Miyahara, Y.; Abe, T.; Miyazaki, K. Effects of a Solid Solution Outer Layer of TiO2 on the Surface and Electrochemical Properties of LiNi0.6Co0.2Mn0.2O2 Cathodes for Lithium-Ion Batteries through the Use ofThin-Film Electrodes. ACS Appl. Energy Mater. 2022, 5, 5117–5126. [Google Scholar] [CrossRef]
- Men, L.J.; Feng, S.Y.; Zhang, J.F.; Luo, X.B.; Zhou, Y.F. Asyste maticreview of efficientre cycling for the cathode materials of spent lithium-ion batteries: Process inten sification technologies beyond traditional methods. Green Chem. 2024, 26, 1170–1193. [Google Scholar] [CrossRef]
- Jang, S.-H.; Lee, K.-J.; Mun, J.; Han, Y.-K.; Yim, T. Chemically-induced cathode-electrolyte inter phase created by lithium salt coating on Nickel-rich layered oxides cathode. J. Power Sources 2019, 410, 15–24. [Google Scholar] [CrossRef]
- Marriam, I.; Tebyetekerwa, M.; Chathuranga, H.; Sun, K.G.; Du, A.J.; Yan, C. Nickel-Rich Cathode Yarn for Wearable Lithium-Ion Batteries. Adv. Fiber Mater. 2024, 6, 341–353. [Google Scholar] [CrossRef]
- Gu, H.; Mu, Y.; Zhang, S.T.; Li, Y.Q.; Hu, H.L.; Zhu, X.Y.; Meng, W.J.; Qiu, J.Y.; Ming, H. Enhanced thermal safety and rate capability of nickel-rich cathodes via optimal Nb-doping strategy. Electrochim. Acta 2024, 487, 144216. [Google Scholar] [CrossRef]
- Li, X.; Ge, W.J.; Zhang, K.K.; Peng, G.C.; Fu, Y.X.; Ma, X.G. Comprehensive study of tantalum doping on morphology, structure, and electrochemical performance of Ni-rich cathode materials. Electrochim. Acta 2022, 403, 139653. [Google Scholar] [CrossRef]
- Zhang, X.; Belharouak, I.; Li, L.; Yu, L.; Elam, J.W.; Nie, A.; Chen, X.; Yassar, R.S.; Axelbaum, R.L. Structural and electrochemical study of Al2O3 and TiO2 coated Li1.2Ni0.13Mn0.54Co0.13O2 cathode material using ALD. Adv. Energ. Mater. 2013, 3, 1299–1307. [Google Scholar] [CrossRef]
- Ge, W.J.; Fu, Y.X.; Ma, X.G.; Li, X.; Peng, G.C. Dualmodification of LiNi0.6Co0.2Mn0.2O2 with MgHPO4 as a high-performance cathode material for Li-ion batteries. Energy Adv. 2022, 1, 28–37. [Google Scholar] [CrossRef]
- Cao, J.; Li, Y.; Wang, L.J.; Li, J.; Qiao, Y.M.; Zhu, L.P.; Zhang, S.N.; Yan, X.X.; Xie, H.Q. Enhanced electrochemical performances of Li1.2Ni0.13Co0.13Mn0.54O2 cathode material coated with ZrO2. Ionics 2023, 51, 51–60. [Google Scholar] [CrossRef]
- Yao, L.; Liang, F.; Jin, J.; Chowdari, B.V.R.; Yang, J.H.; Wen, Z.Y. Improved electrochemical property of Ni-rich LiNi0.6Co0.2Mn0.2O2 cathode via in-situ ZrO2 coating for high energy density lithium-ion batteries. Chem. Eng. J. 2020, 389, 124403. [Google Scholar] [CrossRef]
- Wang, L.; Liang, J.; Zhang, X.; Li, S.; Wang, T.; Ma, F.; Han, J.; Huang, Y.; Li, Q. An effectivedual-modification strategytoenhance the performance of LiNi0.6Co0.2Mn0.2O2 cathode for Li-ion batteries. Nanoscale 2021, 13, 4670–4677. [Google Scholar] [CrossRef]
- Yu, H.; He, X.Q.; Liang, X.H. AlF3-Al2O3 ALDThin-Film-Coated Li1.2Mn0.54Co0.13Ni0.13O2 Particles for Lithium-Ion Batteries: Long-Term Protection. ACS Appl. Mater. Interfaces 2022, 14, 3991–4003. [Google Scholar] [CrossRef] [PubMed]
- Yang, H.; Zhang, H.; Zhao, W. Improvement of electrochemical performance of LiNi0.5Co0.2Mn0.3O2 byLaF3 coating at highcut-offvoltage. Ionics 2023, 29, 1335–1345. [Google Scholar] [CrossRef]
- Tang, W.; Peng, Z.; Shi, Y.; Sheng, X.; Shuai, H.T.; Zhou, S.; Kong, Y.; Yan, K.P.; Lu, T.C.; Wang, G.X. Enhanced cyclability andsafety performance of LiNi0.6Co0.2Mn0.2O2 at elevated temperature by AlPO4 modification. J. Alloys Compd. 2019, 810, 151834. [Google Scholar] [CrossRef]
- Zhang, W.; Liang, L.; Zhao, F.; Liu, Y.; Hou, L.R.; Yuan, C.Z. Ni-rich LiNi0.8Co0.1Mn0.1O2 coated withLi-ion conductive Li3PO4 as competitive cathodes for high-energy-density lithium-ion batteries. Electrochim. Acta 2020, 340, 135871. [Google Scholar] [CrossRef]
- Cho, W.; Kim, S.M.; Lee, K.W.; Song, J.H.; Jo, Y.N.; Yim, T.; Kim, H.; Kim, J.-S.; Kim, Y.-J. Investigation of new manganese orthophosphate Mn3(PO4)2 coating for nickel-rich LiNi0.6Co0.2Mn0.2O2 cathode and improvement of its thermal properties. Electrochim. Acta 2016, 198, 77–83. [Google Scholar] [CrossRef]
- Yang, X.; Meng, Q.; Zhang, Y.j.; Dong, P.; Fei, Z.T.; Li, C.C.; Wang, J.J.; Li, W.B.; Li, X.F.; Xu, K.H.; et al. Samariumoxide coating with enhanced lithium storage of regenerated LiNi0.6Co0.2Mn0.2O2. Surf. Interfaces 2023, 42, 103405. [Google Scholar] [CrossRef]
- Venkatachalam, P.; Duru, K.K.; Rangarajan, M.; Sangaraju, S.; Maram, P.S.; Kalluri, S. LiNbO3 coating on Mg-doped NCM-622 cathode—Adual modification to enhance the electrochemical performance at higher voltage for lithium-ion batteries. J. Solid State Electrochem. 2024, 28, 3509–3515. [Google Scholar] [CrossRef]
- Huang, K.; Zhou, J.X.; Yang, H.L.; Xie, T.Z.; Lan, T.; Ong, S.C.; Jiang, H.; Zeng, Y.B.; Guo, H.; Zhang, Y. TiO2–LiF compositecoating for improving NCM622 cathode cycling stability: One-step construction. RSC Adv. 2023, 13, 33905–33910. [Google Scholar] [CrossRef]
- Li, W.W.; Zhang, X.J.; Si, J.J.; Yang, J.; Sun, X.Y. TiO2-coated LiNi0.9Co0.08Al0.02O2 cathode materials with enhanced cycle performance for Li-ion batteries. Rare Met. 2021, 40, 1719–1726. [Google Scholar] [CrossRef]
- Wang, W.Z.; Wu, L.Y.; Li, Z.W.; Huang, K.S.; Jiang, J.M.; Chen, Z.Y.; Qi, X.D.; Dou, H.; Zhang, X.G. In Situ Tuning Residual Lithium Compounds and Constructing TiO2 Coating for Surface Modification of a Nickel-Rich Cathode toward High-Energy Lithium-Ion Batteries. ACS Appl. Energy Mater. 2020, 12, 12423–12432. [Google Scholar] [CrossRef]
- Qin, C.C.; Cao, J.L.; Chen, J.; Dai, G.L.; Wu, T.F.; Chen, Y.B.; Tang, Y.F.; Li, A.D.; Chen, Y.F. Improvement of electrochemicalperformance of nickel rich LiNi0.6Co0.2Mn0.2O2 cathode active material by ultrathin TiO2 coating. Dalton Trans. 2016, 45, 9669–9675. [Google Scholar] [CrossRef] [PubMed]
- You, L.Z.; Wen, Y.; Li, G.X.; Chu, B.B.; Wu, J.H.; Huang, T.; Yu, A.S. Nano-TiO2 coated single-crystal LiNi0.65Co0.15Mn0.2O2 for lithium-ion batteries with a stable structure and excellent cycling performance at a high cut-off voltage. J. Mater. Chem. A 2022, 10, 5631–5641. [Google Scholar] [CrossRef]
- Mo, Y.; Guo, L.J.; Jin, H.F.; Du, B.D.; Cao, B.K.; Chen, Y.G.; Li, D.; Chen, Y. Improved cycling stability of LiNi0.6Co0.2Mn0.2O2 through microstructure consolidation by TiO2 coating for Li-ion batteries. J. Power Sources 2020, 448, 227439. [Google Scholar] [CrossRef]
- Chang, L.J.; Hou, Z.L.; Yang, W.; Yang, R.F.; Wei, A.L.; Luo, S.H. The theory guides the doping of rare earth elements in the bulk phase of LiNi0.6Co0.2Mn0.2O2 to reach the theoretical limit of energy density. J. Colloid Interface Sci. 2025, 682, 340–352. [Google Scholar] [CrossRef] [PubMed]
- Yang, W.T.; Li, R.F.; Chen, Y.; Song, L.J.; Lu, X.Y.; Jiang, Q. Preparation of a high performance LiNi0.6Co0.2Mn0.2O2 cathode material by using citric acid as a complexing agent. Green Chem. 2023, 25, 1085–1095. [Google Scholar]
- Jia, S.X.; Xue, J.X.; Huo, H.; Zhou, J.J.; Li, L. Tailoring the interface of lithium metal batteries with an in situ formed gel polymer electrolyte. J. Mater. Chem. A 2024, 12, 15430–15439. [Google Scholar] [CrossRef]
- Kim, S.; Lee, K.; Kim, K.; Lee, S.S.S.; Fortner, D.; An, H.; Son, Y.; Hwang, H.; Han, Y.; Myung, Y.; et al. Reductive Dissolution of NCM Cathode through Anaerobic Respiration by Shewanella putrefaciens. Environ. Sci. Technol. 2024, 58, 18345–18355. [Google Scholar] [CrossRef] [PubMed]
- Truong, B.; Wu, Y.; Hung, T. The effect of lithium-excess on Ni-rich LiNi0.6Co0.2Mn0.2O2 cathode materials prepared by a Taylor flow reactor. Electrochim. Acta 2021, 391, 138982–138994. [Google Scholar] [CrossRef]
- Su, M.Y.; Dong, X.W.; Dai, X.Y.; Huang, B.B.; Shen, M.; Xu, T.; Liu, Q.B. Enhanced Cycling Performance of Spinel LiNi0.5Mn1.5O4 Cathodes through Mg-Mn Hetero-Valent Doping via Microwave Sol-Gel Method. Materials 2024, 17, 4714. [Google Scholar] [CrossRef] [PubMed]
- Feng, Z.; Zhang, S.; Rajagopalan, R.; Huang, X.B.; Ren, Y.R.; Sun, D.; Wang, H.Y.; Tang, Y.G. Dual-Element-Modified Single-Crystal LiNi0.6Co0.2Mn0.2O2 as a Highly Stable Cathode for Lithium-Ion Batteries. ACS Appl. Mater. Interfaces 2021, 13, 43039–43050. [Google Scholar] [CrossRef]
- Jo, M.; Oh, P.; Kim, J.; Choi, J.H.; Kim, S.; Ha, S.; Son, Y. Electrochemical lithium storage performance at high voltage and temperature of LiNi0.6Co0.2Mn0.2O2 cathode for Lithium-ion batteries by facile Mn3(PO4)2 dry coating. Appl. Surf. Sci. 2023, 613, 156018. [Google Scholar] [CrossRef]
- Huang, G.J.; Zhong, Y.; Xia, X.H.; Wang, X.L.; Gu, C.D.; Tu, J.P. Surface-modified and sulfide electrolyte-infiltrated LiNi0.6Co0.2Mn0.2O2 cathode for all-solid-state lithium batteries. J. Colloid Interface Sci. 2023, 632, 11–18. [Google Scholar] [CrossRef]
- Diao, H.H.; Jia, M.Y.; Zhao, N.; Guo, X.X. LiNi0.6Co0.2Mn0.2O2 Cathodes Coated with Dual-Conductive Polymers for High-Rate and Long-Life Solid-State Lithium Batteries. ACS Appl. Mater. Interfaces 2022, 14, 24929–24937. [Google Scholar] [CrossRef]
- Liu, W.M.; Zeng, S.S.; Wang, P.P.; Huang, J.; Shen, B.; Qin, M.L.; Wang, W.G.; Tang, Z.X. Dual-coated single-crystal LiNi0.6Co0.2Mn0.2O2 as high-performance cathode materials for lithium-ion batteries. J. Solid State Electrochem. 2024. [Google Scholar] [CrossRef]









| Sample | Lattice Parameters | I(003)/I(104) | ||
|---|---|---|---|---|
| a (Å) | c (Å) | c/a | ||
| NCM622 | 2.8619 | 14.1927 | 4.9592 | 1.65 |
| 2 wt% TiO2-NCM | 2.8642 | 14.2036 | 4.9590 | 1.81 |
| 5 wt% TiO2-NCM | 2.8726 | 14.2497 | 4.9606 | 1.83 |
| 8 wt% TiO2-NCM | 2.8769 | 14.2623 | 4.9575 | 1.88 |
| Sample | Discharge Specific Capacity (mAh g−1) | Columbic Efficiency (%) | |
|---|---|---|---|
| 1st | 100th | ||
| NCM622 | 179.2 | 145 | 80.9 |
| 2 wt% TiO2-NCM | 181.9 | 151 | 83.0 |
| 5 wt% TiO2-NCM | 183.5 | 163.9 | 89.3 |
| 8 wt% TiO2-NCM | 178.7 | 135.3 | 75.7 |
Disclaimer/Publisher’s Note: The statements, opinions and data contained in all publications are solely those of the individual author(s) and contributor(s) and not of MDPI and/or the editor(s). MDPI and/or the editor(s) disclaim responsibility for any injury to people or property resulting from any ideas, methods, instructions or products referred to in the content. |
© 2024 by the authors. Licensee MDPI, Basel, Switzerland. This article is an open access article distributed under the terms and conditions of the Creative Commons Attribution (CC BY) license (https://creativecommons.org/licenses/by/4.0/).
Share and Cite
Li, L.; Li, Z.; Kuang, Z.; Zheng, H.; Yang, M.; Liu, J.; Wang, S.; Liu, H. Effect of TiO2 Coating on Structure and Electrochemical Performance of LiNi0.6Co0.2Mn0.2O2 Cathode Material for Lithium-Ion Batteries. Materials 2024, 17, 6222. https://doi.org/10.3390/ma17246222
Li L, Li Z, Kuang Z, Zheng H, Yang M, Liu J, Wang S, Liu H. Effect of TiO2 Coating on Structure and Electrochemical Performance of LiNi0.6Co0.2Mn0.2O2 Cathode Material for Lithium-Ion Batteries. Materials. 2024; 17(24):6222. https://doi.org/10.3390/ma17246222
Chicago/Turabian StyleLi, Lin, Zhongyu Li, Zhifan Kuang, Hao Zheng, Minjian Yang, Jianwen Liu, Shiquan Wang, and Hongying Liu. 2024. "Effect of TiO2 Coating on Structure and Electrochemical Performance of LiNi0.6Co0.2Mn0.2O2 Cathode Material for Lithium-Ion Batteries" Materials 17, no. 24: 6222. https://doi.org/10.3390/ma17246222
APA StyleLi, L., Li, Z., Kuang, Z., Zheng, H., Yang, M., Liu, J., Wang, S., & Liu, H. (2024). Effect of TiO2 Coating on Structure and Electrochemical Performance of LiNi0.6Co0.2Mn0.2O2 Cathode Material for Lithium-Ion Batteries. Materials, 17(24), 6222. https://doi.org/10.3390/ma17246222
