Phase Evolution of Li-Rich Layered Li-Mn-Ni-(Al)-O Cathode Materials upon Heat Treatments in Air
Abstract
1. Introduction
2. Materials and Methods
3. Results
3.1. Heat Treatments of Ni35-Al01 at 900 °C for Short Times
3.2. Heat Treatments of Al-Doped Ni35 at 900 °C for Long Times
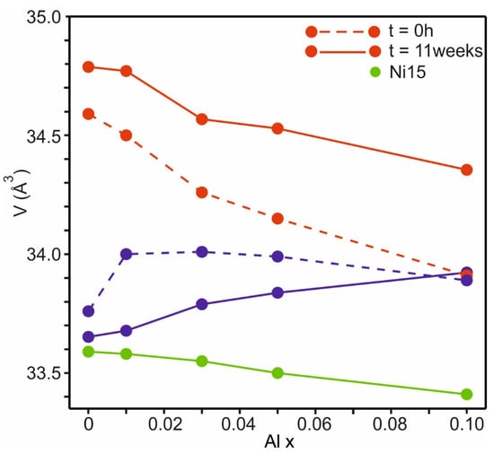
3.3. Heat Treatments of Ni15-Al01
3.4. Refinements of Ni15-Al00/Al05/Al10 Structures from NPD Data
4. Discussion
5. Conclusions
Supplementary Materials
Author Contributions
Funding
Institutional Review Board Statement
Informed Consent Statement
Data Availability Statement
Acknowledgments
Conflicts of Interest
References
- Prakasha, K.R.; Grins, J.; Jaworski, J.; Thersleff, T.; Svensson, G.; Jøsang, L.O.; Dyrli, A.D.; Paulus, A.; De Sloovere, D.; D’Haen, J.; et al. Temperature-driven chemical segregation in the crystal structure of Co-free Li-rich layered oxides and its influence on electrochemical performance. Chem. Mater. 2022, 34, 3637–3647. [Google Scholar] [CrossRef]
- Thersleff, T.; Biendicho, J.J.; Prakasha, K.R.; Moreno, E.M.; Jøsang, L.O.; Grins, J.; Jaworski, J.; Svensson, G. Exploring the nanoscale origin of performance enhancement in Li1.1Ni0.35Mn0.55O2 batteries due to chemical doping. Adv. Energy Mater. 2023, 13, 2203889. [Google Scholar] [CrossRef]
- De Sloovere, D.; Mylavarapu, S.K.; D’Haen, J.; Thersleff, T.; Jaworski, A.; Grins, J.; Svensson, G.; Stoyanova, R.; Jøsang, L.O.; Prakasha, K.R.; et al. Phase engineering via aluminum doping enhances the electrochemical stability of lithium-rich cobalt-free layered oxides for lithium-ion batteries. Small 2024, 20, 2400876. [Google Scholar] [CrossRef] [PubMed]
- HORIZON. 2020-Supported EU Project COBRA, Grant Number H2020-EU.3.4.-875568. Available online: https://projectcobra.eu (accessed on 1 December 2024).
- Silvestri, L.; Celeste, A.; Tuccillo, M.; Brutti, S. Li-Rich Layered Oxides: Structure and Doping Strategies to Enable Co-Poor/Co-Free Cathodes for Li-Ion Batteries. Crystals 2023, 13, 204. [Google Scholar] [CrossRef]
- Li, W.; Liu, X.; Celio, H.; Smith, P.; Dolocan, A.; Chi, M.; Manthiram, A. Mn versus Al in Layered Oxide Cathodes in Lithium-Ion Batteries: A Comprehensive Evaluation on Long-Term Cyclability. Adv. Energy Mater. 2018, 8, 1703154. [Google Scholar] [CrossRef]
- Nayak, P.K.; Grinblat, J.; Levi, M.; Levi, E.; Kim, S.; Choi, J.W.; Aurbach, D. Al doping for mitigating the capacity fading and voltage decay of layered Li and Mn-rich cathode for Li-ion batteries. Adv. Energy Mater. 2016, 6, 1502398. [Google Scholar] [CrossRef]
- Thersleff, T.; Tai, C.-W. Feature-specific correlation of structural, optical, and chemical properties in the transmission electron microscope with hypermodal data fusion. Microsc. Microanal. 2023, 29, 166–179. [Google Scholar] [CrossRef]
- Thersleff, T.; Budnyk, S.; Drangai, L.; Slabon, A. Dissecting complex nanoparticle heterostructures via multimodal data fusion with aberration-corrected STEM spectroscopy. Ultramicroscopy 2020, 219, 113116. [Google Scholar] [CrossRef] [PubMed]
- Armstrong, A.R.; Holzapfel, M.; Nova´k, P.; Johnson, C.S.; Kang, S.-H.; Thackeray, M.M.; Bruce, P.G. Demonstrating oxygen loss and associated structural reorganization in the lithium battery cathode Li[Ni0.2Li0.2Mn0.6]O2. J. Am. Chem. Soc. 2006, 128, 8694–8698. [Google Scholar] [CrossRef] [PubMed]
- McCalla, E. Consequences of Combinatorial Studies of Positive Electrodes for Li-ion Batteries; Springer Theses; Springer: Berlin/Heidelberg, Germany, 2014; p. 84. [Google Scholar] [CrossRef]
- McCalla, E.; Rowe, A.W.; Shunmugasundaram, R.; Dahn, J.R. Structural study of the Li-Mn-Ni oxide pseudoternary system of interest for positive electrodes of Li-ion batteries. Chem. Mater. 2013, 25, 989–999. [Google Scholar] [CrossRef]
- Rodriguez-Carvajal, J. FULLPROF: A program for Rietveld refinement and pattern matching. In Proceedings of the Satellite Meeting on Powder Diffraction of the XV Congress of the IUCr, Toulouse, France, 16–19 July 1990; Volume 12, p. 127. [Google Scholar]
- Bhakar, A.; Pandey, H.; Singh, M.N.; Upadhyay, A.A.; Sinha, A.K.; Gupta, S.M.; Gangulu, T.; Rai, S.K. Effect of processing parameters on microstructural properties of lead magnesium niobates. Acta Cryst. 2017, B73, 1095–1104. [Google Scholar] [CrossRef]
- Croguennec, L.; Shao-Horn, Y.; Gloter, A.; Colliex, C.; Guimard, M.; Fauth, F.; Delmas, C. Segregation tendency in layered aluminium-substituted lithium nickel oxides. Chem. Mater. 2009, 21, 1051–1059. [Google Scholar] [CrossRef]
- Shannon, R.D. Revised effective ionic radii and systematic studies of interatomic distances in halides and chalcogenides. Acta Cryst. 1976, A32, 751–767. [Google Scholar] [CrossRef]
- Bareño, J.; Balasubramanian, M.; Kang, S.H.; Wen, J.G.; Lei, C.H.; Pol, S.V.; Petrov, I.; Abraham, D.P. Long-range and local structure in the layered oxide Li1.2Co0.4Mn0.4O2. Chem. Mater. 2011, 23, 2039–2050. [Google Scholar] [CrossRef]
- Buzlukov, A.; Mouesca, J.-M.; Buannic, L.; Hediger, S.; Simonin, L.; Canevet, E.; Colin, J.-F.; Gutel, T.; Bardet, M. Li-rich Mn/Ni layered oxide as electrode material for lithium batteries: A 7Li MAS NMR study revealing segregation into (nanoscale) domains with highly different electrochemical behaviors. J. Phys. Chem. 2016, C120, 19049–19063. [Google Scholar] [CrossRef]
- Kawaguchi, T.; Sakaida, M.; Oishi, M.; Ichitsubo, T.; Fukuda, K.; Toyoda, S.; Matsubara, E. Strain-induced stabilization of charged state in Li-rich layered transition-metal oxide for Lithium-ion batteries. J. Phys. Chem. 2018, C122, 19298–19308. [Google Scholar] [CrossRef]









Disclaimer/Publisher’s Note: The statements, opinions and data contained in all publications are solely those of the individual author(s) and contributor(s) and not of MDPI and/or the editor(s). MDPI and/or the editor(s) disclaim responsibility for any injury to people or property resulting from any ideas, methods, instructions or products referred to in the content. |
© 2024 by the authors. Licensee MDPI, Basel, Switzerland. This article is an open access article distributed under the terms and conditions of the Creative Commons Attribution (CC BY) license (https://creativecommons.org/licenses/by/4.0/).
Share and Cite
Grins, J.; Jaworski, A.; Jøsang, L.O.; Biendicho, J.J.; Svensson, G. Phase Evolution of Li-Rich Layered Li-Mn-Ni-(Al)-O Cathode Materials upon Heat Treatments in Air. Materials 2024, 17, 6056. https://doi.org/10.3390/ma17246056
Grins J, Jaworski A, Jøsang LO, Biendicho JJ, Svensson G. Phase Evolution of Li-Rich Layered Li-Mn-Ni-(Al)-O Cathode Materials upon Heat Treatments in Air. Materials. 2024; 17(24):6056. https://doi.org/10.3390/ma17246056
Chicago/Turabian StyleGrins, Jekabs, Aleksander Jaworski, Leif Olav Jøsang, Jordi Jacas Biendicho, and Gunnar Svensson. 2024. "Phase Evolution of Li-Rich Layered Li-Mn-Ni-(Al)-O Cathode Materials upon Heat Treatments in Air" Materials 17, no. 24: 6056. https://doi.org/10.3390/ma17246056
APA StyleGrins, J., Jaworski, A., Jøsang, L. O., Biendicho, J. J., & Svensson, G. (2024). Phase Evolution of Li-Rich Layered Li-Mn-Ni-(Al)-O Cathode Materials upon Heat Treatments in Air. Materials, 17(24), 6056. https://doi.org/10.3390/ma17246056

