Longitudinal Shear in Timber–Concrete Composites with Flexible Adhesive Connections—Experimental and Numerical Investigations
Abstract
1. Introduction
- -
- Optimization of bonding performance and stiffness, taking into account the orientation of the prefabricated fastener in order to identify configurations that increase efficiency while minimizing material consumption;
- -
- Verification and refinement of numerical models that predict stress–slip behavior and use them to analyze the stress distribution in the glue and therefore optimize joint configurations;
- -
- Analysis of failure modes and joint ductility to ensure the proper structural performance of prefabricated adhesive joints in TCC systems.
2. Experimental Program
2.1. Specimen Description
2.2. Material Properties
2.3. Test Setup and Loading Protocol
- The first step, corresponding to the Serviceability Limit State (SLS), consisted of 5 cycles of loading the sample up to 18 kN, with loading and unloading controlled by a displacement rate of 1 mm/min.
- The second step was the short-term creep investigation on SLS load situation. The specimen was loaded for 30 min with a constant load of 18 kN, with loading and unloading controlled by a displacement rate of 1 mm/min.
- The third step corresponded to the Ultimate Limit State (ULS), consisting of 5 cycles of loading the sample up to 24 kN, with loading and unloading controlled by a displacement rate of 2 mm/min.
- The fourth loading step was the loading up to the failure of the connection. The load was increased constantly with a displacement rate of 5 mm/min until the failure of the connection occurred.
3. Test Results and Discussion
3.1. Load-Bearing Capacity and Load–Slip Behavior
3.2. Slip Modulus and Stiffness
3.3. Failure Modes
3.4. Shear Stresses and Engineering Shear Strain
3.5. Yield Load and the Ductility
3.6. The Impact of Cyclic Loads
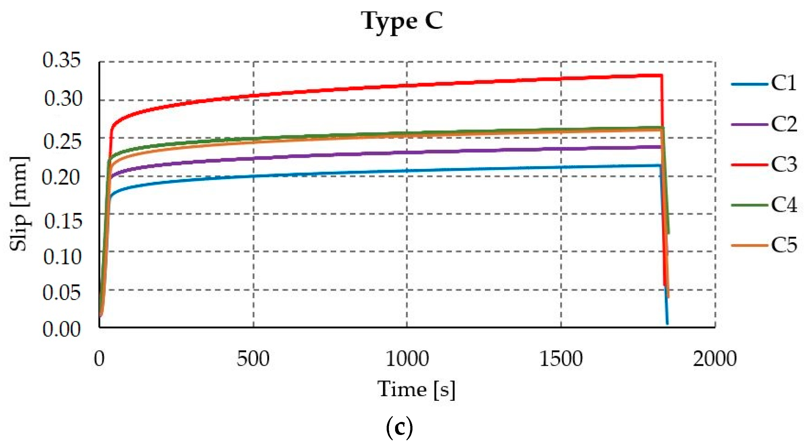
3.7. Creep Impact
4. Numerical Model
4.1. Model Description
4.2. Model Validation and Numerical Analysis
- CSLIP1 and CSLIP2, which represent the mutual sliding between master nodes and slave nodes of the contacting surfaces;
- CSLIPEQ, which is the total sliding length of the nodes;
- CSMAXCRT, which is the damage degree reached by the contact surfaces.
5. Conclusions
- -
- The shear resistance of a prefabricated adhesive joint does not grow directly proportionally to the bonding area—a threefold increase in bonding area led to only an 80% increase in failure load. This points to the validity of using more efficient adhesive joints with smaller surface areas, which can help minimize material consumption.
- -
- The initial stiffness of the tested joints is dependent on the surface area of the bonding, as well as the orientation of the prefabricated adhesive fasteners. The stiffness of the joint is approximately 20% greater when the bonding elements are aligned parallel to the load direction (as opposed to perpendicular direction).
- -
- The force–slip curves generated by the numerical model closely matched the experimental results, indicating that the proposed FE model is capable of accurately predicting the full-scale stress–slip response of flexible adhesive joints between timber and concrete. The presented computational model also enables the study of the real stress distribution in prefabricated adhesive joints with different configurations.
- -
- The failure modes of the specimens were mainly characterized by (i) polymer cohesive failure, (ii) problems with polymer-to-polymer adhesion, or (iii) polymer-to-concrete adhesion. The similar magnitudes of the failure loads for these three failure modes suggest that the implementation of these innovative joints was relatively successful.
- -
- The joint ductility coefficient, calculated using the CEN method, ranges from 2.2 to 5.9. This indicates that the new prefabricated joints can exhibit significant ductility, which is the primary objective of replacing rigid epoxy adhesives with flexible polymer joints.
Author Contributions
Funding
Institutional Review Board Statement
Informed Consent Statement
Data Availability Statement
Acknowledgments
Conflicts of Interest
References
- Himes, A.; Busby, G. Wood buildings as a climate solution. Dev. Built Environ. 2020, 4, 100030. [Google Scholar] [CrossRef]
- Kanócz, J.; Bajzecerová, V.; Šteller, Š. Timber-concrete composite elements with various composite connections. Part 2: Grooved connection. Wood Res. 2014, 59, 627–638. [Google Scholar]
- Bedon, C.; Fragiacomo, M. Three-dimensional modelling of notched connections for timber–concrete composite beams. Struct. Eng. Int. 2017, 27, 184–196. [Google Scholar] [CrossRef]
- De Santis, Y.; Sciomenta, M.; Spera, L.; Rinaldi, V.; Fragiacomo, M.; Bedon, C. Effect of interlayer and inclined screw arrangements on the load-bearing capacity of timber-concrete composite connections. Buildings 2022, 12, 2076. [Google Scholar] [CrossRef]
- Dias, A.M.P.G.; Cruz, H.M.P.; Lopes, S.M.R.; van de Kuilen, J.W. Stiffness of dowel-type fasteners in timber–concrete joints. Proc. Inst. Civ. Eng.-Struct. Build. 2010, 163, 257–266. [Google Scholar] [CrossRef]
- Shi, B.; Liu, W.; Yang, H. Experimental investigation on the long-term behaviour of prefabricated timber-concrete composite beams with steel plate connections. Constr. Build. Mater. 2021, 266, 120892. [Google Scholar] [CrossRef] [PubMed]
- Brunner, M.; Romer, M.; Schnüriger, M. Timber-concrete-composite with an adhesive connector (wet on wet process). Mater. Struct. 2007, 40, 119–126. [Google Scholar] [CrossRef]
- Martín-Gutiérrez, E.; Estévez-Cimadevila, J.; Otero-Chans, D.; Suárez-Riestra, F. Discontinuous π-form steel shear connectors in timber-concrete composites. An experimental approach. Eng. Struct. 2020, 216, 110719. [Google Scholar] [CrossRef]
- Tao, H.; Shi, B.; Yang, H.; Wang, C.; Ling, X.; Xu, J. Experimental and finite element studies of prefabricated timber-concrete composite structures with glued perforated steel plate connections. Eng. Struct. 2022, 268, 114778. [Google Scholar] [CrossRef]
- Pečnik, J.; Gavrić, I.; Sebera, V.; Kržan, M.; Kwiecień, A.; Zając, B.; Azinović, B. Mechanical performance of timber connections made of thick flexible polyurethane adhesives. Eng. Struct. 2021, 247, 113125. [Google Scholar] [CrossRef]
- La Scala, A.; Śliwa-Wieczorek, K.; Rizzo, F.; Sabbà, M.F.; Zając, B. Flexible Polyurethane Adhesives: Predictive Numerical Model Calibration through Experimental Testing at Elevated Temperature. Appl. Sci. 2024, 14, 1943. [Google Scholar] [CrossRef]
- Zhang, X.; Hu, X.; Gong, H.; Zhang, J.; Lv, Z.; Hong, W. Experimental study on the impact sound insulation of cross laminated timber and timber-concrete composite floors. Appl. Acoust. 2020, 161, 107173. [Google Scholar] [CrossRef]
- Lasowicz, N.; Kwiecień, A.; Jankowski, R. Experimental study on the effectiveness of polyurethane flexible adhesive in reduction of structural vibrations. Polymers 2020, 12, 2364. [Google Scholar] [CrossRef]
- Daňková, J.; Mec, P.; Majstríková, T. Stiffness analysis of glued connection of the timber-concrete structure. Open Eng. 2016, 6. [Google Scholar] [CrossRef]
- Fecht, S.; Vallee, T.; Tannert, T.; Fricke, H. Adhesively bonded hardwood joints under room temperature and elevated temperatures. J. Adhes. 2014, 90, 401–419. [Google Scholar] [CrossRef]
- Custódio, J.; Cruz, H.; Negrão, J.; Broughton, J. Thermal stability of epoxy and polyurethane adhesives and bonded joints used in the rehabilitation of timber structures. In Proceedings of the Jornadas Chilenas De Estructuras De Madera, Concepción, Chile, 3–6 November 2009. [Google Scholar]
- Fu, Q.; Xu, R.; Kasal, B.; Wei, Y.; Yan, L. Moisture-induced stresses and damage in adhesively bonded timber-concrete composite connection. Constr. Build. Mater. 2024, 416, 135184. [Google Scholar] [CrossRef]
- Derkowski, W. Opportunities and risks arising from the properties of FRP materials used for structural strengthening. Procedia Eng. 2015, 108, 371–379. [Google Scholar] [CrossRef][Green Version]
- Derkowski, W.; Walczak, R. Possibilities of Increasing Effectiveness of RC Structure Strengthening with FRP Materials. Materials 2021, 14, 1387. [Google Scholar] [CrossRef]
- Custódio, J.; Broughton, J.; Cruz, H. A review of factors influencing the durability of structural bonded timber joints. Int. J. Adhes. Adhes. 2009, 29, 173–185. [Google Scholar] [CrossRef]
- Schäfers, M.; Seim, W. Investigation on bonding between timber and ultra-high performance concrete (UHPC). Constr. Build. Mater. 2011, 25, 3078–3088. [Google Scholar] [CrossRef]
- Schäfers, M.; Seim, W. Development of adhesive bonded Timber-UHPC Composites–Experimental and theoretical investigations. In Proceedings of the 10th World Conference on Timber Engineering, Miyazaki, Japan, 2–5 June 2008. [Google Scholar]
- Eisenhut, L.; Seim, W.; Kühlborn, S. Adhesive-bonded timber-concrete composites–Experimental and numerical investigation of hygrothermal effects. Eng. Struct. 2016, 125, 167–178. [Google Scholar] [CrossRef]
- Tannert, T.; Endacott, B.; Brunner, M.; Vallée, T. Long-term performance of adhesively bonded timber-concrete composites. Int. J. Adhes. Adhes. 2017, 72, 51–61. [Google Scholar] [CrossRef]
- Giv, A.N.; Fu, Q.; Yan, L.; Kasal, B. The effect of adhesive amount and type on failure mode and shear strength of glued timber-concrete joints. Constr. Build. Mater. 2022, 345, 128375. [Google Scholar] [CrossRef]
- Frohnmüller, J.; Fischer, J.; Seim, W. Full-scale testing of adhesively bonded timber-concrete composite beams. Mater. Struct. 2021, 54, 187. [Google Scholar] [CrossRef]
- Tannert, T.; Gerber, A.; Vallee, T. Hybrid adhesively bonded timber-concrete-composite floors. Int. J. Adhes. Adhes. 2020, 97, 102490. [Google Scholar] [CrossRef]
- Campilho, R.D. (Ed.) Strength Prediction of Adhesively-Bonded Joints; CRC Press: Boca Raton, FL, USA, 2017. [Google Scholar]
- Tannert, T.; Vallée, T.; Hehl, S. Experimental and numerical investigations on adhesively bonded hardwood joints. Int. J. Adhes. Adhes. 2012, 37, 65–69. [Google Scholar] [CrossRef]
- Sebera, V.; Pečnik, J.G.; Azinovič, B.; Kramar, M. Numerical modeling of wood-adhesive bond-line in mode II for spruce wood glued by various adhesives. Int. J.-Wood Des. Technol. 2019, 8, 52–53. [Google Scholar]
- Bodiuzzaman, J.; Shashi, G.M.; Mulani, S.B.; Samit, R. Chapter 4—A modular concept for the solid-state healing of polymer resins and composites. In Woodhead Publishing Series in Composites Science and Engineering, Recent Advances in Smart Self-Healing Polymers and Composites (Second Edition); Li, G., Feng, X., Eds.; Woodhead Publishing: Swaston, UK, 2022; pp. 87–113. ISBN 9780128234723. [Google Scholar] [CrossRef]
- Turon, A.; Camanho, P.P.; Costa, J.; Dávila, C.G. A damage model for the simulation of delamination in advanced composites under variable-mode loading. Mech. Mater. 2006, 38, 1072–1089, ISSN 0167-6636. [Google Scholar] [CrossRef]
- Alfano, G.; Crisfield, M.A. Finite element interface models for the delamination analysis of laminated composites: Mechanical and computational issues. Int. J. Numer. Methods Eng. 2001, 50, 1701–1736. [Google Scholar] [CrossRef]
- Camanho, P.P.; Davila, C.G.; de Moura, M.F. Numerical Simulation of Mixed-Mode Progressive Delamination in Composite Materials. J. Compos. Mater. 2003, 37, 1415–1438. [Google Scholar] [CrossRef]
- Funari, M.F.; Spadea, S.; Fabbrocino, F.; Lonetti, P. On the elastic properties of PVC foam. Procedia Struct. Integr. 2020, 28, 1503–1510, ISSN 2452-3216. [Google Scholar] [CrossRef]
- Bruno, D.; Fabbrocino, F.; Funari, M.F.; Greco, F.; Lonetti, P.; Spadea, S. An Experimental and Numerical Study to Evaluate the Crack Path Under Mixed Mode Loading on PVC Foams. In Proceedings of the XXIV AIMETA Conference 2019, AIMETA 2019, Rome, Italy, 15–19 September 2019; Lecture Notes in Mechanical Engineering; Carcaterra, A., Paolone, A., Graziani, G., Eds.; Springer: Cham, Switzerland, 2019. [Google Scholar] [CrossRef]
- Nunes, T.; Ribas, M.J.P.; Akhavan-Safar, A.; Carbas, R.J.C.; Marques, E.A.S.; Wenig, S.; da Silva, L.F.M. Fracture Analysis of Highly Flexible Adhesives: Cohesive Zone Modelling across a Wide Spectrum of Temperatures and Strain Rates. Polymers 2024, 16, 2383. [Google Scholar] [CrossRef] [PubMed]
- EN 26891:1991; Timber Structures—Joints Made With Mechanical Fasteners—General Principles for the Determination of Strength and Deformation Characteristics. British Standards Institution: London, UK, 1991.
- Szeptyński, P.; Pochopień, J.G.; Jasińska, D.; Kwiecień, A. The Influence of the Flexibility of a Polymeric Adhesive Layer on the Mechanical Response of a Composite Reinforced Concrete Slab and a Reinforced Concrete Beam Girder. Polymers 2024, 16, 444. [Google Scholar] [CrossRef]
- Zając, B. Ścinane Połączenia Klejone Sztywne i Podatne Pracujące w Podwyższonej Temperaturze; Wydawnictwo Politechniki Krakowskiej: Kraków, Poland, 2018; ISBN 978-83-65991-31-7. [Google Scholar]
- Kwiecień, K.; Kwiecień, A.; Stryszewska, T.; Szumera, M.; Dudek, M. Durability of PS-Polyurethane dedicated for composite strengthening applications in masonry and concrete structures. Polymers 2020, 12, 2830. [Google Scholar] [CrossRef] [PubMed]
- Śliwa-Wieczorek, K.; Zając, B. Rigid and Flexible Double Shear Lap Adhesive Joint at Elevated Temperature—An Experimental Study. Polymers 2021, 13, 2873. [Google Scholar] [CrossRef] [PubMed]
- CEN/TS 19103:2022; Eurocode 5 Design of Timber Structures—Structural Design of Timber-Concrete Composites Structures—Common Rules and Rules for Buildings. European Committee for Standardization: Brussels, Belgium, 2022.
- Binder, E.; Derkowski, W.; Bader, T.K. Development of creep deformations during service life: A comparison of CLT and TCC floor constructions. Buildings 2022, 12, 239. [Google Scholar] [CrossRef]
- SS-EN 1991–1-1 2002; Actions on Structures—Part 1–1: General Actions—Densities, Self-Weight, Imposed Loads for Buildings. Swedish Institute for Standards: Stockholm, Sweeden, 2002.
- EKS 11 BFS 2011:10; Boverkets Konstruktionsregler, BFS 2011:10 med Ändringar till och med 2019:1 (EKS 11). Boverkets: Karlskrona, Sweden, 2019; ISBN 978-91-7563-649-8.
- Irfan-ul-Hassan, M.; Pichler, B.; Reihsner, R.; Hellmich, C. Elastic and creep properties of young cement paste, as determined from hourly repeated minute-long quasi-static tests. Cem. Concr. Res. 2016, 82, 36–49. [Google Scholar] [CrossRef]
- Königsberger, M.; Irfan-ul-Hassan, M.; Pichler, B.; Hellmich, C. Downscaling based identification of nonaging power-law creep of cement hydrates. J. Eng. Mech. 2016, 142, 04016106. [Google Scholar] [CrossRef]
- EN ISO 10365:2022; Adhesives—Designation of Main Failure Patterns. ISO: Geneva, Switzerland, 2022.
- EN 12512:2002; Timber Structures—Test Methods—Cyclic Testing of Joints Made With Mechanical Fasteners. BSI: London, UK, 2001.
- Śliwa-Wieczorek, K.; Derkowski, W.; Binder, E. Short-term creep test of shear adhesive joints in Timber-Concrete Composites. Materiały Budowlane. 2024. Available online: https://www.materialybudowlane.info.pl/images/2024/02/s006-010.pdf (accessed on 8 December 2024).
- Smith, M. ABAQUS/Standard User’s Manual, Version 6.12.; Dassault Systèmes Simulia Corp.: Providence, RI, USA, 2009. [Google Scholar]
























| Material | Young’s Modulus [MPa] | Shear Modulus [MPa] | Poisson Ratio [-] |
|---|---|---|---|
| Norway spruce, strength class C24 | EL = 11,000 | GLR = 690 | νLR = 0.05 |
| ER = 700 | GLT = 600 | νLT = 0.04 | |
| ET = 400 | GRT = 70 | νRT = 0.30 |
| Material | Young’s Modulus [MPa] | Tensile Strength [MPa] | Poisson Ratio [-] | Density [g/cm3] |
|---|---|---|---|---|
| PS | 20 | 2.6 | ν = 0.47 [39] | 1.40 |
| PSTF-S | 150 | 17.3 | ν = 0.4 [39] | 1.22 |
| Specimen | Type A | Type B | Type C | |||
|---|---|---|---|---|---|---|
(kN) | (mm) | (kN) | (mm) | (kN) | (mm) | |
| 1 | 114.7 | 1.81 | 74.1 | 2.36 | 69.5 | 2.15 |
| 2 | 128.5 | 1.59 | 81.7 | 2.30 | 51.3 | 1.60 |
| 3 | 87.0 | 2.18 | 61.0 | 2.19 | 75.7 | 2.07 |
| 4 | 156.7 | 1.95 | 54.8 | 1.83 | 77.9 | 2.23 |
| 5 | 146.3 | 1.72 | 68.8 | 2.12 | 76.8 | 2.32 |
| Average | 126.6 | 1.85 | 68.1 | 2.16 | 70.2 | 2.08 |
| CoV (%) | 21.7 | 12.2 | 15.6 | 9.6 | 15.8 | 13.5 |
| FEM | 129.3 | 1.58 | 82.0 | 2.47 | 70.1 | 1.83 |
| Specimen | Type A | |||||
|---|---|---|---|---|---|---|
(kN) | (mm) | (mm) | (kN/mm) | (kN/mm) | (N/mm/mm2) | |
| 1 | 45.9 | 0.056 | 0.266 | 164 | 109.3 | 2.79 |
| 2 | 51.4 | 0.151 | 0.353 | 190.6 | 127.1 | 2.85 |
| 3 | 34.8 | 0.076 | 0.286 | 124.1 | 82.8 | 2.07 |
| 4 | 62.7 | 0.077 | 0.361 | 166 | 110.7 | 2.22 |
| 5 | 58.5 | 0.044 | 0.227 | 240.8 | 160.5 | 3.01 |
| Average | 50.66 | 0.08 | 0.3 | 177.1 | 118.1 | 2.59 |
| CoV (%) | 21.7 | 51.3 | 19.3 | 24.2 | 24.2 | 16.1 |
| FEM-A | 51.7 | 0.129 | 0.368 | 170.5 | 113.7 | - |
| Specimen | Type B | |||||
(kN) | (mm) | (mm) | (kN/mm) | (kN/mm) | (N/mm/mm2) | |
| 1 | 29.6 | 0.048 | 0.184 | 162.4 | 108.3 | 4.45 |
| 2 | 32.7 | 0.071 | 0.26 | 129.2 | 86.2 | 3.71 |
| 3 | 24.4 | 0.112 | 0.335 | 82 | 54.7 | 2.46 |
| 4 | 21.9 | 0.159 | 0.377 | 75.2 | 50.1 | 2.52 |
| 5 | 27.6 | 0.164 | 0.325 | 128.5 | 85.7 | 4.09 |
| Average | 27.23 | 0.11 | 0.3 | 115.5 | 77 | 3.45 |
| CoV (%) | 15.5 | 46.7 | 25.4 | 31.5 | 31.5 | 26.3 |
| FEM-B | 32.8 | 0.076 | 0.263 | 127.8 | 85.2 | - |
| Specimen | Type C | |||||
(kN) | (mm) | (mm) | (kN/mm) | (kN/mm) | (N/mm/mm2) | |
| 1 | 27.8 | 0.199 | 0.394 | 106.4 | 70.9 | 3.01 |
| 2 | 20.5 | 0.083 | 0.286 | 75.7 | 50.5 | 2.61 |
| 3 | 30.3 | 0.118 | 0.387 | 84.4 | 56.2 | 2.35 |
| 4 | 31.2 | 0.081 | 0.318 | 98.3 | 65.5 | 3 |
| 5 | 30.7 | 0.181 | 0.417 | 97.8 | 65.2 | 2.81 |
| Average | 28.09 | 0.13 | 0.36 | 92.5 | 61.7 | 2.76 |
| CoV (%) | 15.8 | 41.6 | 15.4 | 13.3 | 13.3 | 10.2 |
| FEM-C | 28.05 | 0.082 | 0.332 | 90.5 | 60.3 | - |
| Specimen | Type A | Type B | Type C | |||
|---|---|---|---|---|---|---|
| Failure Mode—Line of Bonding | ||||||
| Left | Right | Left | Right | Left | Right | |
| 1 | ac-p+cp | ac-p+cp | cp | cp+ap-p | cp | cp+ac-p |
| 2 | ap-p+cp | ac-p+cp | cp | cp+ap-p | cp | cp+cc |
| 3 | ac-p+cp | cp | cp+cc | cp+ap-p | cp+ap-p | cp+ac-p |
| 4 | cp | ap-p+cp | cp+ap-p | cp+ ap-p | cp | cp+ap-p |
| 5 | ap-p+cp | ac-p+cp | cp | cp+ ap-p | cp | cp+ap-p |
| [mm2] | ||||||
| left | right | left | right | left | right | |
| 1 | 25,025.5 | 33,790.5 | 18,067.4 | 13,922.2 | 19,179.0 | 16,113.9 |
| 2 | 31,261.7 | 35,643.8 | 19,266.0 | 15,582.0 | 12,836.4 | 16,106.0 |
| 3 | 28,178.9 | 31,915.9 | 18,370.5 | 14,856.6 | 16,717.2 | 19,219.8 |
| 4 | 23,455.1 | 51,153.5 | 16,784.6 | 12,983.0 | 17,759.8 | 14,965.3 |
| 5 | 52,274.0 | 27,705.8 | 18,338.8 | 13,124.7 | 18,317.6 | 16,470.7 |
| Specimen | Type A | Type B | Type C | |||
|---|---|---|---|---|---|---|
(MPa) | (MPa) | (MPa) | ||||
| 1 | 1.95 | 0.58 | 2.31 | 0.73 | 1.97 | 0.67 |
| 2 | 1.92 | 0.51 | 2.34 | 0.72 | 1.77 | 0.52 |
| 3 | 1.45 | 0.68 | 1.83 | 0.69 | 2.10 | 0.65 |
| 4 | 2.10 | 0.68 | 1.84 | 0.58 | 2.38 | 0.70 |
| 5 | 1.83 | 0.61 | 2.19 | 0.67 | 2.21 | 0.72 |
| Average | 1.85 | 0.59 | 2.10 | 0.68 | 2.09 | 0.65 |
| CoV (%) | 13.3 | 11.1 | 11.9 | 8.6 | 11.1 | 12.3 |
| Specimen | Type A | Type B | Type C | ||||||
|---|---|---|---|---|---|---|---|---|---|
(mm) | D (-) | (kN) | (mm) | D (-) | (kN) | (mm) | D (-) | (kN) | |
| 1 | 0.60 | 2.87 | 107.2 | 0.36 | 5.9 | 59.9 | 0.73 | 3.18 | 63.4 |
| 2 | 0.67 | 2.37 | 120.0 | 0.54 | 4.2 | 73.3 | 0.61 | 2.63 | 47.1 |
| 3 | 0.65 | 3.35 | 79.9 | 0.69 | 3.17 | 52.8 | 0.83 | 2.49 | 68.3 |
| 4 | 0.89 | 2.19 | 151.6 | 0.77 | 2.37 | 50.2 | 0.71 | 3.14 | 71.7 |
| 5 | 0.53 | 3.24 | 139.4 | 0.58 | 3.66 | 61.0 | 0.78 | 2.98 | 70.0 |
| Average | 0.67 | 2.80 | 119.6 | 0.59 | 3.87 | 59.4 | 0.73 | 2.88 | 64.10 |
| CoV (%) | 12.2 | 20.3 | 23.4 | 26.6 | 34.2 | 15.2 | 11.3 | 10.7 | 15.6 |
| FEM | 0.61 | 2.86 | 108 | 0.55 | 4.2 | 73.1 | 0.79 | 2.32 | 65.5 |
| Specimen | Type A | Type B | Type C | ||||||
|---|---|---|---|---|---|---|---|---|---|
(mm) | (mm) | (%) | (mm) | (mm) | (%) | (mm) | (mm) | (%) | |
| 1 | 0.125 | 0.154 | 23.2 | 0.123 | 0.165 | 34.1 | 0.212 | 0.263 | 24.1 |
| 2 | 0.090 | 0.102 | 14.0 | 0.159 | 0.204 | 28.3 | 0.186 | 0.237 | 27.4 |
| 3 | 0.110 | 0.142 | 29.1 | 0.183 | 0.247 | 35.0 | 0.252 | 0.333 | 32.1 |
| 4 | 0.098 | 0.117 | 19.4 | 0.244 | 0.298 | 22.1 | 0.172 | 0.214 | 24.4 |
| 5 | 0.105 | 0.123 | 17.1 | 0.150 | 0.188 | 25.3 | 0.211 | 0.261 | 23.7 |
| Average | 0.106 | 0.128 | 20.4 | 0.172 | 0.220 | 29.0 | 0.207 | 0.262 | 26.3 |
| CoV (%) | 11.2 | 14.4 | 26.3 | 23.8 | 21.4 | 17.1 | 13.2 | 15.3 | 12.1 |
| Cohesive Behavior Parameters [N/mm3] | Type A | Type B | Type C |
|---|---|---|---|
| Knn | 1000 | 1000 | 1000 |
| Kss | 38 | 24 | 18 |
| Ktt | 38 | 24 | 18 |
| Damage Criterion Parameters [MPa] | |
|---|---|
| σnn | 5000 |
| τss | 1.5 |
| τtt | 1.5 |
Disclaimer/Publisher’s Note: The statements, opinions and data contained in all publications are solely those of the individual author(s) and contributor(s) and not of MDPI and/or the editor(s). MDPI and/or the editor(s) disclaim responsibility for any injury to people or property resulting from any ideas, methods, instructions or products referred to in the content. |
© 2024 by the authors. Licensee MDPI, Basel, Switzerland. This article is an open access article distributed under the terms and conditions of the Creative Commons Attribution (CC BY) license (https://creativecommons.org/licenses/by/4.0/).
Share and Cite
Śliwa-Wieczorek, K.; La Scala, A.; Derkowski, W.; Binder, E. Longitudinal Shear in Timber–Concrete Composites with Flexible Adhesive Connections—Experimental and Numerical Investigations. Materials 2024, 17, 6055. https://doi.org/10.3390/ma17246055
Śliwa-Wieczorek K, La Scala A, Derkowski W, Binder E. Longitudinal Shear in Timber–Concrete Composites with Flexible Adhesive Connections—Experimental and Numerical Investigations. Materials. 2024; 17(24):6055. https://doi.org/10.3390/ma17246055
Chicago/Turabian StyleŚliwa-Wieczorek, Klaudia, Armando La Scala, Wit Derkowski, and Eva Binder. 2024. "Longitudinal Shear in Timber–Concrete Composites with Flexible Adhesive Connections—Experimental and Numerical Investigations" Materials 17, no. 24: 6055. https://doi.org/10.3390/ma17246055
APA StyleŚliwa-Wieczorek, K., La Scala, A., Derkowski, W., & Binder, E. (2024). Longitudinal Shear in Timber–Concrete Composites with Flexible Adhesive Connections—Experimental and Numerical Investigations. Materials, 17(24), 6055. https://doi.org/10.3390/ma17246055

