Toward Sustainable 3D-Printed Sensor: Green Fabrication of CNT-Enhanced PLA Nanocomposite via Solution Casting
Abstract
1. Introduction
2. Materials and Methods
2.1. Materials
2.2. Methods
2.2.1. Polymeric Nanocomposite (PNC) Preparation
2.2.2. Filament Fabrication and FDM 3D Printing
3. Characterization Tests
3.1. Attenuated Total Reflection–Fourier-Transform Infrared Spectroscopy (ATR-FTIR)
3.2. Thermal Analysis
3.3. Rheological Characteristics
3.4. Electrical Characteristics
3.5. Mechanical Properties
3.6. Morphology and Electrochemical Performance
4. Results and Discussion
4.1. FTIR Spectroscopy
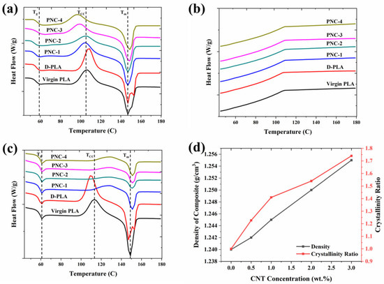
4.2. Thermal Analysis
4.3. Rheology Characteristics of FDM 3D-Printed PNCs
4.4. Electrical Conductivity of FDM 3D-Printed PNCs
4.5. Mechanical Characteristics of FDM 3D-Printed Specimens
4.6. Electrochemical Performance and Morphology
5. Conclusions
Author Contributions
Funding
Institutional Review Board Statement
Informed Consent Statement
Data Availability Statement
Conflicts of Interest
References
- Erdem, A.; Yildiz, E.; Senturk, H.; Maral, M. Implementation of 3D printing technologies to electrochemical and optical biosensors developed for biomedical and pharmaceutical analysis. J. Pharm. Biomed. Anal. 2023, 230, 115385. [Google Scholar] [CrossRef]
- Mohammadpour-Haratbar, A.; Zare, Y.; Rhee, K.Y. Electrochemical biosensors based on polymer nanocomposites for detecting breast cancer: Recent progress and future prospects. Adv. Colloid Interface Sci. 2022, 309, 102795. [Google Scholar] [CrossRef]
- Gamal, O.; Eldin, M.H.; Refaat, A.A.; Hassan, R.Y.A. Advances in nanocomposites-based electrochemical biosensors for the early diagnosis of breast cancer. Front. Sens. 2024, 5, 1399441. [Google Scholar] [CrossRef]
- Rasal, R.K.; Badsha, I.; Shellaiah, M.; Subramanian, K.; Gayathri, A.; Hirad, A.H.; Kaliaperumal, K.; Devasena, T. Fabrication of Curcumin-Based Electrochemical Nanosensors for the Detection of Environmental Pollutants: 1,4-Dioxane and Hydrazine. Biosensors 2024, 14, 291. [Google Scholar] [CrossRef] [PubMed]
- Durai, L.; Badhulika, S. Current Challenges and Developments in Perovskite-Based Electrochemical Biosensors for Effective Theragnostics of Neurological Disorders. ACS Omega 2022, 7, 39491–39497. [Google Scholar] [CrossRef] [PubMed]
- Sharma, A.; Faber, H.; Khosla, A.; Anthopoulos, T.D. 3D printed electrochemical devices for bio-chemical sensing: A review. Mater. Sci. Eng. R Rep. 2023, 156, 100754. [Google Scholar] [CrossRef]
- Osman, A.; Lu, J. 3D printing of polymer composites to fabricate wearable sensors: A comprehensive review. Mater. Sci. Eng. R Rep. 2023, 154, 100734. [Google Scholar] [CrossRef]
- Hussan KS, J.; Subramaniam, M.P.; Kenz, K.T.M.; Sreeram, P.; Parvathi, S.; Sari, P.S.; Pullanchiyodan, A.; Mulhivill, D.M.; Raghavan, P. Fabrication and challenges of 3D printed sensors for biomedical applications-Comprehensive review. Results Eng. 2024, 21, 101867. [Google Scholar] [CrossRef]
- Karimi, N.; Fayazfar, H. Development of highly filled nickel-polymer feedstock from recycled and biodegradable resources for low-cost material extrusion additive manufacturing of metals. J. Manuf. Process 2023, 107, 506–514. [Google Scholar] [CrossRef]
- Tan, L.J.; Zhu, W.; Zhou, K. Recent Progress on Polymer Materials for Additive Manufacturing. Adv. Funct. Mater. 2020, 30, 2003062. [Google Scholar] [CrossRef]
- Martins, P.; Pereira, N.; Lima, A.C.; Garcia, A.; Mendes-Filipe, C.; Policia, R.; Correia, V.; Lanceros-Mendez, S. Advances in Printing and Electronics: From Engagement to Commitment. Adv. Funct. Mater. 2023, 33, 2213744. [Google Scholar] [CrossRef]
- Katseli, V.; Economou, A.; Kokkinos, C. Single-step fabrication of an integrated 3D-printed device for electrochemical sensing applications. Electrochem. Commun. 2019, 103, 100–103. [Google Scholar] [CrossRef]
- Sharifi, J.; Rizvi, G.; Fayazfar, H. Sustainable 3D printing of enhanced carbon nanotube-based polymeric nanocomposites: Green solvent-based casting for eco-friendly electrochemical sensing applications. Int. J. Adv. Manuf. Technol. 2024, 131, 4825–4837. [Google Scholar] [CrossRef]
- Shinyama, K. Influence of Electron Beam Irradiation on Electrical Insulating Properties of PLA with Soft Resin Added. Polymers 2018, 10, 898. [Google Scholar] [CrossRef] [PubMed]
- Azizi-Lalabadi, M.; Jafari, S.M. Bio-nanocomposites of graphene with biopolymers; fabrication, properties, and applications. Adv. Colloid Interface Sci. 2021, 292, 102416. [Google Scholar] [CrossRef] [PubMed]
- Shameem, M.M.; Sasikanth, S.M.; Annamalai, R.; Raman, R.G. A brief review on polymer nanocomposites and its applications. Mater. Today Proc. 2021, 45, 2536–2539. [Google Scholar] [CrossRef]
- Carroccio, S.C.; Scarfato, P.; Bruno, E.; Aprea, P.; Dintcheva, N.T.; Filippone, G. Impact of nanoparticles on the environmental sustainability of polymer nanocomposites based on bioplastics or recycled plastics—A review of life-cycle assessment studies. J. Clean. Prod. 2022, 335, 130322. [Google Scholar] [CrossRef]
- Ferrier, D.C.; Honeychurch, K.C. Carbon nanotube (CNT)-based biosensors. Biosensors 2021, 11, 486. [Google Scholar] [CrossRef]
- Karimi, F.; Karimi-Maleh, H.; Rouhi, J.; Zare, N.; Karaman, C.; Baghayeri, M.; Fu, L.; Rostamnia, S.; Dragoi, E.N.; Ayati, A.; et al. Revolutionizing cancer monitoring with carbon-based electrochemical biosensors. Environ. Res. 2023, 239, 117368. [Google Scholar] [CrossRef]
- Ma, P.C.; Siddiqui, N.A.; Marom, G.; Kim, J.K. Dispersion and functionalization of carbon nanotubes for polymer-based nanocomposites: A review. Compos. Part A Appl. Sci. Manuf. 2010, 41, 1345–1367. [Google Scholar] [CrossRef]
- Soni, S.K.; Thomas, B.; Kar, V.R. A Comprehensive Review on CNTs and CNT-Reinforced Composites: Syntheses, Characteristics and Applications. Mater. Today Commun. 2020, 25, 101546. [Google Scholar] [CrossRef]
- Mi, D.; Zhao, Z.; Bai, H. Improved Yield and Electrical Properties of Poly(Lactic Acid)/Carbon Nanotube Composites by Shear and Anneal. Materials 2023, 16, 4012. [Google Scholar] [CrossRef] [PubMed]
- Khan, T.; Irfan, M.; Ali, M.; Dong, Y.; Ramakrishna, S.; Umer, R. Insights to low electrical percolation thresholds of carbon-based polypropylene nanocomposites. Carbon 2021, 176, 602–631. [Google Scholar] [CrossRef]
- Ong, Y.T.; Tan, S.H. Carbon nanotube-based biodegradable polymeric nanocomposites: 3Rs (Reduce, Reuse, and Recycle) in the design. Handb. Ecomater. 2019, 4, 2787–2802. [Google Scholar] [CrossRef]
- Ivanov, E.; Kotsilkova, R.; Xia, H.; Chen, Y.; Donato, R.K.; Donato, K.; Godoy, A.P.; Di Maio, R.; Silvestre, C.; Cimmino, S.; et al. PLA/Graphene/MWCNT Composites with Improved Electrical and Thermal Properties Suitable for FDM 3D Printing Applications. Appl. Sci. 2019, 9, 1209. [Google Scholar] [CrossRef]
- Mora, A.; Verma, P.; Kumar, S. Electrical conductivity of CNT/polymer composites: 3D printing, measurements and modeling. Compos. Part B Eng. 2020, 183, 107600. [Google Scholar] [CrossRef]
- Ke, K.; Wang, Y.; Liu, X.-Q.; Cao, J.; Luo, Y.; Yang, W.; Xie, B.-H.; Yang, M.-B. A comparison of melt and solution mixing on the dispersion of carbon nanotubes in a poly(vinylidene fluoride) matrix. Compos. Part B Eng. 2012, 43, 1425–1432. [Google Scholar] [CrossRef]
- Spinelli, G.; Lamberti, P.; Tucci, V.; Kotsilkova, R.; Tabakova, S.; Ivanova, R.; Angelova, P.; Angelov, V.; Ivanov, E.; Di Maio, R.; et al. Morphological, Rheological and Electromagnetic Properties of Nanocarbon/Poly(lactic) Acid for 3D Printing: Solution Blending vs. Melt Mixing. Materials 2018, 11, 2256. [Google Scholar] [CrossRef]
- Kim, H.-G.; Hajra, S.; Oh, D.; Kim, N.; Kim, H.J. Additive manufacturing of high-performance carbon-composites: An integrated multi-axis pressure and temperature monitoring sensor. Compos. Part B Eng. 2021, 222, 109079. [Google Scholar] [CrossRef]
- Junpha, J.; Wisitsoraat, A.; Prathumwan, R.; Chaengsawang, W.; Khomungkhun, K.; Subannajui, K. Electronic tongue and cyclic voltammetric sensors based on carbon nanotube/polylactic composites fabricated by fused deposition modelling 3D printing. Mater. Sci. Eng. C 2020, 117, 111319. [Google Scholar] [CrossRef]
- Torkelson, T.R.; Oyen, F.; Rowe, V.K. The toxicity of chloroform as determined by single and repeated exposure of laboratory animals. Am. Ind. Hyg. Assoc. J. 1976, 37, 697–705. [Google Scholar] [CrossRef] [PubMed]
- Schlosser, P.M.; Bale, A.S.; Gibbons, C.F.; Wilkins, A.; Cooper, G.S. Human Health Effects of Dichloromethane: Key Findings and Scientific Issues. Environ. Health Perspect. 2014, 123, 114–119. [Google Scholar] [CrossRef] [PubMed]
- Han, W.; Rao, D.; Gao, H.; Yang, X.; Fan, H.; Li, C.; Dong, L.; Meng, H. Green-solvent-processable biodegradable poly(lactic acid) nanofibrous membranes with bead-on-string structure for effective air filtration: “Kill two birds with one stone”. Nano Energy 2022, 97, 107237. [Google Scholar] [CrossRef]
- Vergaelen, M.; Verbraeken, B.; Van Guyse, J.F.R.; Podevyn, A.; Tigrine, A.; de la Rosa, V.R.; Monnery, B.D.; Hoogenboom, R. Ethyl acetate as solvent for the synthesis of poly(2-ethyl-2-oxazoline). Green Chem. 2020, 22, 1747–1753. [Google Scholar] [CrossRef]
- De Bortoli, L.; de Farias, R.; Mezalira, D.; Schabbach, L.; Fredel, M. Functionalized carbon nanotubes for 3D-printed PLA-nanocomposites: Effects on thermal and mechanical properties. Mater. Today Commun. 2022, 31, 103402. [Google Scholar] [CrossRef]
- Jubinville, D.; Sharifi, J.; Mekonnen, T.H.; Fayazfar, H. A Comparative Study of the Physico-Mechanical Properties of Material Extrusion 3D-Printed and Injection Molded Wood-Polymeric Biocomposites. J. Polym. Environ. 2023, 31, 3338–3350. [Google Scholar] [CrossRef]
- Dealy, J.M.; Wissbrun, K.F. Theory and Applications. In Melt Rheology and Its Role in Plastics Processing; Springer: Dordrecht, The Netherlands, 1999; Available online: https://link.springer.com/book/10.1007/978-94-009-2163-4 (accessed on 7 November 2024). [CrossRef]
- ASTM D638; Standard Test Method for Tensile Properties of Plastics. ASTM International: West Conshohocken, PA, USA, 2022.
- Rocha, D.P.; Rocha, R.G.; Castro, S.V.F.; Trindade, M.A.G.; Munoz, R.A.A.; Richter, E.M.; Angnes, L. Posttreatment of 3D-printed surfaces for electrochemical applications: A critical review on proposed protocols. Electrochem. Sci. Adv. 2022, 2, e2100136. [Google Scholar] [CrossRef]
- Park, S.G.; Abdal-Hay, A.; Lim, J.K. Biodegradable poly(lactic acid)/multiwalled carbon nanotube nanocomposite fabrication using casting and hot press techniques. Arch. Metall. Mater. 2015, 60, 1557–1559. [Google Scholar] [CrossRef]
- Zhang, C.; Lan, Q.; Zhai, T.; Nie, S.; Luo, J.; Yan, W. Melt crystallization behavior and crystalline morphology of Polylactide/Poly(ε-caprolactone) blends compatibilized by lactide-caprolactone copolymer. Polymers 2018, 10, 1181. [Google Scholar] [CrossRef]
- Petrovics, N.; Kirchkeszner, C.; Patkó, A.; Tábi, T.; Magyar, N.; Székely, I.K.; Szabó, B.S.; Nyiri, Z.; Eke, Z. Effect of crystallinity on the migration of plastic additives from polylactic acid-based food contact plastics. Food Packag. Shelf Life 2023, 36, 101054. [Google Scholar] [CrossRef]
- Papadopoulos, L.; Klonos, P.A.; Terzopoulou, Z.; Psochia, E.; Sanusi, O.M.; Hocine, N.A.; Benelfellah, A.; Giliopoulos, D.; Triantafyllidis, K.; Kyritsis, A.; et al. Comparative study of crystallization, semicrystalline morphology, and molecular mobility in nanocomposites based on polylactide and various inclusions at low filler loadings. Polymer 2021, 217, 123457. [Google Scholar] [CrossRef]
- Li, Y.; Yin, D.; Liu, W.; Zhou, H.; Zhang, Y.; Wang, X. Fabrication of biodegradable poly (lactic acid)/carbon nanotube nanocomposite foams: Significant improvement on rheological property and foamability. Int. J. Biol. Macromol. 2020, 163, 1175–1186. [Google Scholar] [CrossRef]
- Ali, F.; Ishfaq, N.; Said, A.; Nawaz, Z.; Ali, Z.; Ali, N.; Afzal, A.; Bilal, M. Fabrication, characterization, morphological and thermal investigations of functionalized multi-walled carbon nanotubes reinforced epoxy nanocomposites. Prog. Org. Coat. 2021, 150, 105962. [Google Scholar] [CrossRef]
- Jubinville, D.; Sharifi, J.; Fayazfar, H.; Mekonnen, T.H. Hemp hurd filled PLA-PBAT blend biocomposites compatible with additive manufacturing processes: Fabrication, rheology, and material property investigations. Polym. Compos. 2023, 44, 8946–8961. [Google Scholar] [CrossRef]
- Xu, Z.; Niu, Y.; Yang, L.; Xie, W.; Li, H.; Gan, Z.; Wang, Z. Morphology, rheology and crystallization behavior of polylactide composites prepared through addition of five-armed star polylactide grafted multiwalled carbon nanotubes. Polymer 2010, 51, 730–737. [Google Scholar] [CrossRef]
- Xue, Q.; Sun, J. Electrical conductivity and percolation behavior of polymer nanocomposites. In Polymer Nanocomposites: Electrical and Thermal Properties; Springer International Publishing: Cham, Switzerland, 2016; pp. 51–82. [Google Scholar]
- Al-Saleh, M.H.; Sundararaj, U. A review of vapor grown carbon nanofiber/polymer conductive composites. Carbon 2009, 47, 2–22. [Google Scholar] [CrossRef]
- Poghossian, A.; Weil, M.; Cherstvy, A.G.; Schöning, M.J. Electrical monitoring of polyelectrolyte multilayer formation by means of capacitive field-effect devices. Anal. Bioanal. Chem. 2013, 405, 6425–6436. [Google Scholar] [CrossRef] [PubMed]
- Lamberti, P.; Spinelli, G.; Kuzhir, P.P.; Guadagno, L.; Naddeo, C.; Romano, V.; Kotsilkova, R.; Angelova, P.; Georgiev, V. Evaluation of thermal and electrical conductivity of carbon-based PLA nanocomposites for 3D printing. AIP Conf. Proc. 2018, 1981, 020158. [Google Scholar] [CrossRef]
- Vidakis, N.; Petousis, M.; Kourinou, M.; Velidakis, E.; Mountakis, N.; Fischer-Griffiths, P.E.; Grammatikos, S.; Tzounis, L. Additive manufacturing of multifunctional polylactic acid (PLA)—Multiwalled carbon nanotubes (MWCNTs) nanocomposites. Nanocomposites 2021, 7, 184–199. [Google Scholar] [CrossRef]
- Petousis, M.; Ninikas, K.; Vidakis, N.; Mountakis, N.; Kechagias, J.D. Multifunctional PLA/CNTs nanocomposites hybrid 3D printing integrating material extrusion and CO2 laser cutting. J. Manuf. Process 2023, 86, 237–252. [Google Scholar] [CrossRef]









| Code Chart | PLA (wt.%) | MWCNTs-COOH (wt.%) |
|---|---|---|
| PLA | 100 | 0 |
| D-PLA | 100 | 0 |
| PNC-1 | 99.5 | 0.5 |
| PNC-2 | 99 | 1 |
| PNC-3 | 98 | 2 |
| PNC-4 | 97 | 3 |
| Printing Parameters | |
|---|---|
| Nozzle diameter | 0.4 mm |
| Nozzle temperature | 200 °C |
| Bed temperature | 60 °C |
| Infill density | 100% |
| Layer height | 0.2 mm |
| Raster angle | 45° |
| Print speed | 10 mm/s |
| Flow rate | 100% |
| First Heating Cycle | Second Heating Cycle | |||||||
|---|---|---|---|---|---|---|---|---|
| Tg (°C) | TCC (°C) | Tm (°C) | %XCr | Tg (°C) | TCC (°C) | Tm (°C) | %XCr | |
| PLA | 59 | 106 | 147 | 6.96 | 61 | 113 | 149 | 4.1 |
| D-PLA | 59 | 108 | 147 * | 3.49 | 61 | 109 | 147 * | 3 |
| PNC-1 | 59 | 106 | 146 | 5.3 | 61 | 127 | 151 | 3.68 |
| PNC-2 | 59 | 105 | 147 | 14.95 | 61 | 128 | 151 | 4.23 |
| PNC-3 | 60 | 99 | 148 | 15.78 | 61 | 129 | 151 | 4.62 |
| PNC-4 | 60 | 97 | 149 | 16.45 | 61 | 130 | 151 | 5.22 |
| Zero-Shear Viscosity (Pa.S) | R2 | |
|---|---|---|
| PLA | 3.03 × 102 | 0.93 |
| D-PLA | 9.39 × 102 | 0.96 |
| PNC-1 | 1.76 × 105 | 0.99 |
| PNC-2 | 2.81 × 105 | 0.99 |
| PNC-3 | 6.46 × 105 | 0.99 |
| PNC-4 | 1.6 × 105 | 0.99 |
| PLA | PNC-2 | PNC-3 | PNC-4 | |
|---|---|---|---|---|
| Tensile strength (MPa) | 55.8 ± 1.4 | 60.5 ± 2.35 | 63.9 ± 2.8 | 71 ± 3.2 |
| Tensile modulus (GPa) | 2.63 ± 0.1 | 2.84 ± 0.05 | 2.9 ± 0.1 | 3.1 ± 0.07 |
| Elongation at break (%) | 4.1 ± 0.2 | 5.32 ± 0.5 | 6.5 ± 0.3 | 7.1 ± 0.2 |
| Toughness (MJ/m3) | 1.52 ± 0.01 | 1.75 ± 0.03 | 1.83 ± 0.01 | 1.94 ± 0.02 |
| Resilience (MJ/m3) | 0.83 ± 0.01 | 1.17 ± 0.02 | 1.26 ± 0.01 | 1.44 ± 0.04 |
| Nanocomposite Feedstock Preparation Method | CNTs wt.% and Related Conductivity (S.m−1) | Percolation Threshold Onset | Ref. | ||||
|---|---|---|---|---|---|---|---|
| 0.5 | 1 | 2 | 3 | Wt.% | Conductivity (S.m−1) | ||
| Solution casting using Ethyl acetate | 1 × 10−10 | 5 × 10−10 | 8.3 × 10−3 | 5 × 10−2 | 1 | 5 × 10−10 | Our Work |
| Melt extrusion | N/A | N/A | N/A | 1 × 10−2 | 1.5 | 1 × 10−8 | [51] |
| Melt extrusion | N/A | N/A | N/A | 7.8 × 10−4 | 1.5 | 1.4 × 10−8 | [25] |
| Melt extrusion | 5 × 10−7 | 1.5 × 10−3 | 3 × 10−3 | 1 | 0.5 | 5 × 10−7 | [26] |
| Mechanical mixing of PLA powder with CNTs | 1 × 10−9 | 5 × 10−5 | N/A | N/A | 0.5 | 1 × 10−9 | [52] |
| Mechanical mixing of PLA powder with CNTs | 1 × 10−9 | 5 × 10−5 | N/A | N/A | 0.5 | 5 × 10−5 | [53] |
| Solution casting using DCM | N/A | 1 × 10−4 | 1 × 10−1 | 5 × 10−1 | N/A | N/A | [29] |
| Solution casting using chloroform * | N/A | N/A | N/A | N/A | N/A | N/A | [30] |
Disclaimer/Publisher’s Note: The statements, opinions and data contained in all publications are solely those of the individual author(s) and contributor(s) and not of MDPI and/or the editor(s). MDPI and/or the editor(s) disclaim responsibility for any injury to people or property resulting from any ideas, methods, instructions or products referred to in the content. |
© 2024 by the authors. Licensee MDPI, Basel, Switzerland. This article is an open access article distributed under the terms and conditions of the Creative Commons Attribution (CC BY) license (https://creativecommons.org/licenses/by/4.0/).
Share and Cite
Sharifi, J.; Rizvi, G.; Fayazfar, H. Toward Sustainable 3D-Printed Sensor: Green Fabrication of CNT-Enhanced PLA Nanocomposite via Solution Casting. Materials 2024, 17, 5782. https://doi.org/10.3390/ma17235782
Sharifi J, Rizvi G, Fayazfar H. Toward Sustainable 3D-Printed Sensor: Green Fabrication of CNT-Enhanced PLA Nanocomposite via Solution Casting. Materials. 2024; 17(23):5782. https://doi.org/10.3390/ma17235782
Chicago/Turabian StyleSharifi, Javid, Ghaus Rizvi, and Haniyeh (Ramona) Fayazfar. 2024. "Toward Sustainable 3D-Printed Sensor: Green Fabrication of CNT-Enhanced PLA Nanocomposite via Solution Casting" Materials 17, no. 23: 5782. https://doi.org/10.3390/ma17235782
APA StyleSharifi, J., Rizvi, G., & Fayazfar, H. (2024). Toward Sustainable 3D-Printed Sensor: Green Fabrication of CNT-Enhanced PLA Nanocomposite via Solution Casting. Materials, 17(23), 5782. https://doi.org/10.3390/ma17235782

