Graphene/Metal Composites Decorated with Ni Nanoclusters: Mechanical Properties
Abstract
1. Introduction
2. Simulation Details
3. Results and Discussion
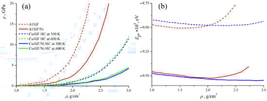
3.1. Hydrostatic Compression
3.2. Uniaxial Tension
4. Conclusions
Author Contributions
Funding
Institutional Review Board Statement
Informed Consent Statement
Data Availability Statement
Conflicts of Interest
Abbreviations
| MD | Molecular dynamics |
| GF | Graphene flake |
| HC | Hydrostatic compression |
| Me | Metal |
References
- Ilgamov, M.A.; Aitbaeva, A.A.; Pavlov, I.S.; Dmitriev, S.V. Carbon Nanotube Under Pulsed Pressure. In Facta Universitatis, Series: Mechanical Engineering; University of Nis: Nis, Serbia, 2024; p. 275. [Google Scholar] [CrossRef]
- Gao, T.; Huang, H.; Huang, J.; Chen, Q.; Xiao, Q. Molecular dynamic studies of the micromechanical response of titanium–aluminum layered twin structures and graphene. Mech. Mater. 2024, 195, 105050. [Google Scholar] [CrossRef]
- Gao, T.; He, H.; Liu, Y.; Bian, Z.; Chen, Q.; Xie, Q.; Liang, Y.; Xiao, Q. Molecular dynamics simulation of dislocation network formation and tensile properties of graphene/TiAl-layered composites. Surfaces Interfaces 2023, 39, 102983. [Google Scholar] [CrossRef]
- Zhang, X.; Gao, J.; Zhang, L.; Chen, Y.; Zhang, Y.; Zhang, K. Molecular Dynamics Study on the Sintering Mechanism and Tensile Properties of Novel Cu Nanoparticle/Graphene Nanoplatelet Composite Solder Paste. Materials 2024, 17, 4759. [Google Scholar] [CrossRef] [PubMed]
- Yankovaskaya, U.I.; Korznikova, E.A.; Korpusova, S.D.; Zakharov, P.V. Mechanical Properties of the Pt-CNT Composite under Uniaxial Deformation: Tension and Compression. Materials 2023, 16, 4140. [Google Scholar] [CrossRef]
- Süzer, İ.; Hayirci, S.B.; Boyaci, E.; Deniz, A.; Mertdinç-Ülküseven, S.; Öveçoğlu, M.L.; Gökçe, H.; Ağaoğulları, D. Graphene nanoplatelet reinforced Al-based composites prepared from recycled powders via mechanical alloying and pressureless sintering. Diam. Relat. Mater. 2024, 149, 111552. [Google Scholar] [CrossRef]
- Devarajan, B.; Lakshminarasimhan, R.; Murugan, A.; Rangappa, S.M.; Siengchin, S.; Marinkovic, D. Recent Developments in Natural Fiber Hybrid Composites for Ballistic Applications: A Comprehensive Review of Mechanisms and Failure Criteria. In Facta Universitatis, Series: Mechanical Engineering; University of Nis: Nis, Serbia, 2024; p. 343. [Google Scholar] [CrossRef]
- Yu, M.; Yuan, X.; Guo, J.; Tang, N.; Ye, S.; Liang, J.; Jiang, L. Selective graphene-like metal-free 2D nanomaterials and their composites for photocatalysis. Chemosphere 2021, 284, 131254. [Google Scholar] [CrossRef]
- Zhao, Z.; Bai, P.; Du, W.; Liu, B.; Pan, D.; Das, R.; Liu, C.; Guo, Z. An overview of graphene and its derivatives reinforced metal matrix composites: Preparation, properties and applications. Carbon 2020, 170, 302–326. [Google Scholar] [CrossRef]
- Kausar, A.; Ahmad, I.; Zhao, T.; Aldaghri, O.; Ibnaouf, K.H.; Eisa, M.H. Graphene Nanocomposites as Innovative Materials for Energy Storage and Conversion—Design and Headways. Int. J. Mol. Sci. 2023, 24, 11593. [Google Scholar] [CrossRef]
- Kazakov, A.M.; Korznikova, G.F.; Tuvalev, I.I.; Izosimov, A.A.; Korznikova, E.A. The Effect of Copper–Graphene Composite Architecture on Thermal Transport Efficiency. Materials 2023, 16, 7199. [Google Scholar] [CrossRef]
- Doan, D.Q.; Vu, H.C.; Nguyen, V.T.; Vu, T.Q.; Tran, V.T.; Chu, V.T. An atomic-scale insight into mechanical enhancement and frictional properties of amorphous/graphene multilayers. Tribol. Int. 2024, 197, 109783. [Google Scholar] [CrossRef]
- Li, Q.; Xue, S.; Wang, J.; Shao, S.; Kwong, A.H.; Giwa, A.; Fan, Z.; Liu, Y.; Qi, Z.; Ding, J.; et al. High-Strength Nanotwinned Al Alloys with 9R Phase. Adv. Mater. 2018, 30, 1704629. [Google Scholar] [CrossRef] [PubMed]
- Chen, B.Q.; Liu, K.; Xu, S. Recent Advances in Aluminum Welding for Marine Structures. J. Mar. Sci. Eng. 2024, 12, 1539. [Google Scholar] [CrossRef]
- Williams, J.C.; Starke, E.A. Progress in structural materials for aerospace systems11The Golden Jubilee Issue—Selected topics in Materials Science and Engineering: Past, Present and Future, edited by S. Suresh. Acta Mater. 2003, 51, 5775–5799. [Google Scholar] [CrossRef]
- Pollock, T.M. Alloy design for aircraft engines. Nat. Mater. 2016, 15, 809–815. [Google Scholar] [CrossRef]
- Chen, D.; Li, J.; Sun, K.; Fan, J. Graphene-reinforced metal matrix composites: Fabrication, properties, and challenges. Int. J. Adv. Manuf. Technol. 2023, 125, 2925–2965. [Google Scholar] [CrossRef]
- Du, Y.; Wang, M.; Ye, X.; Liu, B.; Han, L.; Jafri, S.H.M.; Liu, W.; Zheng, X.; Ning, Y.; Li, H. Advances in the Field of Graphene-Based Composites for Energy–Storage Applications. Crystals 2023, 13, 912. [Google Scholar] [CrossRef]
- Dadkhah, M.; Saboori, A.; Fino, P. An Overview of the Recent Developments in Metal Matrix Nanocomposites Reinforced by Graphene. Materials 2019, 12, 2823. [Google Scholar] [CrossRef]
- Saboori, A.; Dadkhah, M.; Fino, P.; Pavese, M. An Overview of Metal Matrix Nanocomposites Reinforced with Graphene Nanoplatelets; Mechanical, Electrical and Thermophysical Properties. Metals 2018, 8, 423. [Google Scholar] [CrossRef]
- Zhou, T.; Lei, M.; Xu, J. Recent progress in the development and properties of aluminum matrix composites reinforced with graphene: A review. Mater. Today Sustain. 2024, 25, 100674. [Google Scholar] [CrossRef]
- Aydın, F. A review of recent developments in the corrosion performance of aluminium matrix composites. J. Alloys Compd. 2023, 949, 169508. [Google Scholar] [CrossRef]
- Cao, M.; Xiong, D.B.; Tan, Z.; Ji, G.; Amin-Ahmadi, B.; Guo, Q.; Fan, G.; Guo, C.; Li, Z.; Zhang, D. Aligning graphene in bulk copper: Nacre-inspired nanolaminated architecture coupled with in-situ processing for enhanced mechanical properties and high electrical conductivity. Carbon 2017, 117, 65–74. [Google Scholar] [CrossRef]
- Hwang, J.; Yoon, T.; Jin, S.H.; Lee, J.; Kim, T.; Hong, S.H.; Jeon, S. Enhanced Mechanical Properties of Graphene/Copper Nanocomposites Using a Molecular-Level Mixing Process. Adv. Mater. 2013, 25, 6724–6729. [Google Scholar] [CrossRef] [PubMed]
- Hwang, B.; Kim, W.; Kim, J.; Lee, S.; Lim, S.; Kim, S.; Oh, S.H.; Ryu, S.; Han, S.M. Role of Graphene in Reducing Fatigue Damage in Cu/Gr Nanolayered Composite. Nano Lett. 2017, 17, 4740–4745. [Google Scholar] [CrossRef]
- Shuang, F.; Aifantis, K.E. Dislocation-graphene interactions in Cu/graphene composites and the effect of boundary conditions: A molecular dynamics study. Carbon 2021, 172, 50–70. [Google Scholar] [CrossRef]
- Zhao, Z.Y.; Guan, R.G.; Guan, X.H.; Feng, Z.X.; Chen, H.; Chen, Y. Microstructures and Properties of Graphene-Cu/Al Composite Prepared by a Novel Process Through Clad Forming and Improving Wettability with Copper. Adv. Eng. Mater. 2014, 17, 663–668. [Google Scholar] [CrossRef]
- Katin, K.P.; Kochaev, A.I.; Bereznitskiy, I.V.; Kalika, E.B.; Kaya, S.; Flores-Moreno, R.; Maslov, M.M. Interaction of pristine and novel graphene allotropes with copper nanoparticles: Coupled density functional and molecular dynamics study. Diam. Relat. Mater. 2023, 138, 110190. [Google Scholar] [CrossRef]
- Garzon, A.; Wang, S.; Omoniyi, A.; Tam, L.; Che, F.; Hensley, A.J. Temperature and pressure driven functionalization of graphene with hydrogen and oxygen via ab initio phase diagrams. Appl. Surf. Sci. 2024, 677, 161053. [Google Scholar] [CrossRef]
- Barkov, P.V.; Slepchenkov, M.M.; Glukhova, O.E. Current flow patterns in graphene nanomesh films functionalized with carbonyl and carboxyl groups. Lett. Mater. 2024, 14, 210–215. [Google Scholar] [CrossRef]
- Biji, C.A.; Janardhanan, J.C.; John, H. Facile interface engineering of highly stable covalently functionalized graphene oxide-nickel based metal organic framework heterostructures for supercapacitor applications. Electrochim. Acta 2024, 507, 145158. [Google Scholar] [CrossRef]
- Wang, S.; Guo, X.; Li, K.; Wang, G.; Su, S.; Wu, J.; Li, L.; Xie, Y.; Guo, C.; Pan, K. Monodispersed Ni12P5 nanocrystals in situ grown on reduced graphene oxide matrix with enhanced Li-electrochemical properties. J. Alloys Compd. 2023, 968, 171939. [Google Scholar] [CrossRef]
- Rodrigues, D.C.; Amorim, R.G.; Latgé, A.; Venezuela, P. Improving the sensitivity of graphyne nanosensor by transition metal doping. Carbon 2023, 212, 118087. [Google Scholar] [CrossRef]
- Holec, D.; Kostoglou, N.; Tampaxis, C.; Babic, B.; Mitterer, C.; Rebholz, C. Theory-guided metal-decoration of nanoporous carbon for hydrogen storage applications. Surf. Coatings Technol. 2018, 351, 42–49. [Google Scholar] [CrossRef]
- Guan, R.; Wang, Y.; Zheng, S.; Su, N.; Ji, Z.; Liu, Z.; An, Y.; Chen, B. Fabrication of aluminum matrix composites reinforced with Ni-coated graphene nanosheets. Mater. Sci. Eng. A 2019, 754, 437–446. [Google Scholar] [CrossRef]
- Luo, Y.; Huang, Y.; Hassan, A.; Quanfang, C. Nickel-encapsulated graphene reinforced aluminum matrix composites with increased mechanical strength and electrical conductivity. J. Mater. Res. 2022, 37, 3803–3815. [Google Scholar] [CrossRef]
- Liu, G.; Zhao, N.; Shi, C.; Liu, E.; He, F.; Ma, L.; Li, Q.; Li, J.; He, C. In-situ synthesis of graphene decorated with nickel nanoparticles for fabricating reinforced 6061Al matrix composites. Mater. Sci. Eng. A 2017, 699, 185–193. [Google Scholar] [CrossRef]
- Soni, K.; Panwar, N.L.; Lanjekar, P.R. Emergence of carbonaceous material for hydrogen storage: An overview. Clean Energy 2024, 8, 147–168. [Google Scholar] [CrossRef]
- Wang, X.; Xiao, W.; Wang, J.; Sun, L.; Shi, J.; Guo, H.; Liu, Y.; Wang, L. Enhanced interfacial strength of graphene reinforced aluminum composites via X (Cu, Ni, Ti)-coating: Molecular-dynamics insights. Adv. Powder Technol. 2021, 32, 2585–2590. [Google Scholar] [CrossRef]
- Han, R.; Song, H.; Wang, J.; Li, Y. Strengthening mechanism of Al matrix composites reinforced by nickel-coated graphene: Insights from molecular dynamics simulation. Phys. B Condens. Matter 2021, 601, 412620. [Google Scholar] [CrossRef]
- Zhang, S.; Yang, N.; Tang, Y.; Ma, C.; Peng, H.; Chang, G.; Li, L.; Li, X.; Zhang, W.; Elmarakbi, A.; et al. Achieving better strength-toughness synergy in heterogeneous Cu/Ni/graphene composites: A molecular dynamics simulation. Mater. Today Commun. 2024, 40, 109757. [Google Scholar] [CrossRef]
- Yang, Y.; Liu, M.; Zhou, S.; Ren, W.; Zhou, Q.; Zhang, W. Strengthening behaviour of continuous graphene network in metal matrix composites. Carbon 2021, 182, 825–836. [Google Scholar] [CrossRef]
- Safina, L.R.; Krylova, K.A.; Baimova, J.A. Molecular dynamics study of the mechanical properties and deformation behavior of graphene/metal composites. Mater. Today Phys. 2022, 28, 100851. [Google Scholar] [CrossRef]
- Vardanyan, V.H.; Urbassek, H.M. Morphology of graphene flakes in Ni-graphene nanocomposites and its influence on hardness: An atomistic study. Carbon 2021, 185, 660–668. [Google Scholar] [CrossRef]
- Yang, Y.; Liu, M.; Du, J.; Zhang, W.; Zhou, S.; Ren, W.; Zhou, Q.; Shi, L. Construction of graphene network in Ni matrix composites: A molecular dynamics study of densification process. Carbon 2022, 191, 55–66. [Google Scholar] [CrossRef]
- Wu, P.; Wei, T.; Wei, J.; Zhou, Q.; Zhang, W.; Liu, M. Simulation on fabricating graphene-coated nickel powders through micromechanical exfoliation. Mater. Today Commun. 2024, 40, 109853. [Google Scholar] [CrossRef]
- Safina, L.R.; Rozhnova, E.A.; Krylova, K.A.; Murzaev, R.T.; Baimova, J.A. Interatomic potentials for graphene reinforced metal composites: Optimal choice. Comput. Phys. Commun. 2024, 301, 109235. [Google Scholar] [CrossRef]
- Wu, Y.; An, C.; Guo, Y.; Zong, Y.; Jiang, N.; Zheng, Q.; Yu, Z.Z. Highly Aligned Graphene Aerogels for Multifunctional Composites. Nano-Micro Lett. 2024, 16, 118. [Google Scholar] [CrossRef]
- Zhang, F.; Liu, J.; Hu, L.; Guo, C. Recent Progress of Three-Dimensional Graphene-Based Composites for Photocatalysis. Gels 2024, 10, 626. [Google Scholar] [CrossRef]
- Cao, L.; Wang, C.; Huang, Y. Structure optimization of graphene aerogel-based composites and applications in batteries and supercapacitors. Chem. Eng. J. 2023, 454, 140094. [Google Scholar] [CrossRef]
- Qiu, C.; Su, Y.; Yang, J.; Chen, B.; Ouyang, Q.; Zhang, D. Structural modelling and mechanical behaviors of graphene/carbon nanotubes reinforced metal matrix composites via atomic-scale simulations: A review. Compos. Part C Open Access 2021, 4, 100120. [Google Scholar] [CrossRef]
- Safina, L.; Baimova, J.; Krylova, K.; Murzaev, R.; Mulyukov, R. Simulation of metal-graphene composites by molecular dynamics: A review. Lett. Mater. 2020, 10, 351–360. [Google Scholar] [CrossRef]
- Yazdani, M.; Ghassemi, A.; Shahgholi, M.; Fesharaki, J.J.; Galehdari, S.A. Molecular dynamics method to investigate the interaction energy and mechanical properties of the reinforced graphene aerogel with paraffin as the phase change material in the presence of different external heat fluxes. J. Taiwan Inst. Chem. Eng. 2024, 165, 105777. [Google Scholar] [CrossRef]
- Wang, Q.; Wang, L.; Wu, Y. Study on tensile properties of copper/graphene/2D-SiC composite materials: A molecular dynamics simulation. Mater. Today Commun. 2024, 40, 109512. [Google Scholar] [CrossRef]
- Krylova, K.A.; Safina, L.R.; Murzaev, R.T.; Baimova, J.A.; Mulyukov, R.R. Effect of Nanoparticle Size on the Mechanical Strength of Ni–Graphene Composites. Materials 2021, 14, 3087. [Google Scholar] [CrossRef] [PubMed]
- Murzaev, R.T.; Krylova, K.A.; Baimova, J.A. Thermal Expansion and Thermal Conductivity of Ni/Graphene Composite: Molecular Dynamics Simulation. Materials 2023, 16, 3747. [Google Scholar] [CrossRef]
- Sarkar, K.; Talukder, M.A. Structurally realistic carbide-derived carbon model in annealing molecular dynamics methodology with analytic bond-order potential. Mater. Adv. 2024, 5, 5738–5748. [Google Scholar] [CrossRef]
- Stuart, S.J.; Tutein, A.B.; Harrison, J.A. A reactive potential for hydrocarbons with intermolecular interactions. J. Chem. Phys. 2000, 112, 6472–6486. [Google Scholar] [CrossRef]
- Orekhov, N.; Ostroumova, G.; Stegailov, V. High temperature pure carbon nanoparticle formation: Validation of AIREBO and ReaxFF reactive molecular dynamics. Carbon 2020, 170, 606–620. [Google Scholar] [CrossRef]
- Rozhkov, M.; Abramenko, N.; Kolesnikova, A.; Romanov, A. Zero misorientation interfaces in graphene. Lett. Mater. 2020, 10, 551–557. [Google Scholar] [CrossRef]
- Zhou, J.; Shen, J.; Yue, W.; Liu, Y.; Chen, Z. Molecular dynamics simulation of reinforcement mechanism of graphene/aluminum composites and microstructure evolution. J. Mater. Res. Technol. 2023, 23, 2147–2159. [Google Scholar] [CrossRef]
- Katin, K.P.; Prudkovskiy, V.S.; Maslov, M.M. Molecular dynamics simulation of nickel-coated graphene bending. Micro Nano Lett. 2018, 13, 160–164. [Google Scholar] [CrossRef]
- Galashev, A.Y.; Katin, K.P.; Maslov, M.M. Morse parameters for the interaction of metals with graphene and silicene. Phys. Lett. A 2019, 383, 252–258. [Google Scholar] [CrossRef]
- Katin, K.; Kaya, S.; Maslov, M. Graphene nanoflakes and fullerenes doped with aluminum: Features of Al-C interaction and adsorption characteristics of carbon shell. Lett. Mater. 2022, 12, 148–152. [Google Scholar] [CrossRef]
- Huang, S.P.; Mainardi, D.S.; Balbuena, P.B. Structure and dynamics of graphite-supported bimetallic nanoclusters. Surf. Sci. 2003, 545, 163–179. [Google Scholar] [CrossRef]
- Tavenner, J.P.; Mendelev, M.I.; Neuberger, R.; Arroyave, R.; Otis, R.; Lawson, J.W. Determination of γ/γ’ interface free energy for solid state precipitation in Ni–Al alloys from molecular dynamics simulation. J. Chem. Phys. 2024, 161, 041102. [Google Scholar] [CrossRef]
- Fischer, F.; Schmitz, G.; Eich, S. A systematic study of grain boundary segregation and grain boundary formation energy using a new copper–nickel embedded-atom potential. Acta Mater. 2019, 176, 220–231. [Google Scholar] [CrossRef]
- Somlyai-Sipos, L.; Janovszky, D.; Sycheva, A.; Baumli, P. Investigation of the Melting Point Depression of Copper Nanoparticles. IOP Conf. Ser. Mater. Sci. Eng. 2020, 903, 012002. [Google Scholar] [CrossRef]
- Puri, P.; Yang, V. Effect of Particle Size on Melting of Aluminum at Nano Scales. J. Phys. Chem. C 2007, 111, 11776–11783. [Google Scholar] [CrossRef]
- LAMMPS. Large-Scale Atomic/Molecular Massively Parallel Simulator. Available online: https://www.lammps.org/ (accessed on 2 October 2024).
- Plimpton, S. Fast Parallel Algorithms for Short-Range Molecular Dynamics. J. Comput. Phys. 1995, 117, 1–19. [Google Scholar] [CrossRef]
- Thompson, A.P.; Aktulga, H.M.; Berger, R.; Bolintineanu, D.S.; Brown, W.M.; Crozier, P.S.; in ’t Veld, P.J.; Kohlmeyer, A.; Moore, S.G.; Nguyen, T.D.; et al. LAMMPS—A flexible simulation tool for particle-based materials modeling at the atomic, meso, and continuum scales. Comput. Phys. Commun. 2022, 271, 108171. [Google Scholar] [CrossRef]
- VMD. Molecular Graphics Viewer. Available online: https://www.ks.uiuc.edu/Research/vmd/ (accessed on 2 October 2024).
- OVITO. Open Visualization Tool. Available online: https://www.ovito.org/ (accessed on 2 October 2024).







| System | Parameter | Potential |
|---|---|---|
| Al-C | (eV) | 0.196 |
| (1/Å) | 4.117 | |
| (Å) | 3.450 | |
| (Å) | 4.0 | |
| Ni-C | (eV) | 0.433 |
| (1/Å) | 3.244 | |
| (Å) | 2.316 | |
| (Å) | 4.5 | |
| Cu-C | (eV) | 0.019996 |
| (Å) | 3.225 | |
| (Å) | 8.0625 | |
| C-C | 3.0 |
Disclaimer/Publisher’s Note: The statements, opinions and data contained in all publications are solely those of the individual author(s) and contributor(s) and not of MDPI and/or the editor(s). MDPI and/or the editor(s) disclaim responsibility for any injury to people or property resulting from any ideas, methods, instructions or products referred to in the content. |
© 2024 by the authors. Licensee MDPI, Basel, Switzerland. This article is an open access article distributed under the terms and conditions of the Creative Commons Attribution (CC BY) license (https://creativecommons.org/licenses/by/4.0/).
Share and Cite
Kolesnikov, V.; Mironov, R.; Baimova, J. Graphene/Metal Composites Decorated with Ni Nanoclusters: Mechanical Properties. Materials 2024, 17, 5753. https://doi.org/10.3390/ma17235753
Kolesnikov V, Mironov R, Baimova J. Graphene/Metal Composites Decorated with Ni Nanoclusters: Mechanical Properties. Materials. 2024; 17(23):5753. https://doi.org/10.3390/ma17235753
Chicago/Turabian StyleKolesnikov, Vyacheslav, Roman Mironov, and Julia Baimova. 2024. "Graphene/Metal Composites Decorated with Ni Nanoclusters: Mechanical Properties" Materials 17, no. 23: 5753. https://doi.org/10.3390/ma17235753
APA StyleKolesnikov, V., Mironov, R., & Baimova, J. (2024). Graphene/Metal Composites Decorated with Ni Nanoclusters: Mechanical Properties. Materials, 17(23), 5753. https://doi.org/10.3390/ma17235753

