Dynamic Recrystallization Simulation of PH13-8Mo Stainless Steel by Cellular Automata Method Based on Laasraoui–Jonas Dislocation Density Model
Abstract
1. Introduction
2. Materials and Experiments
3. Results and Discussion
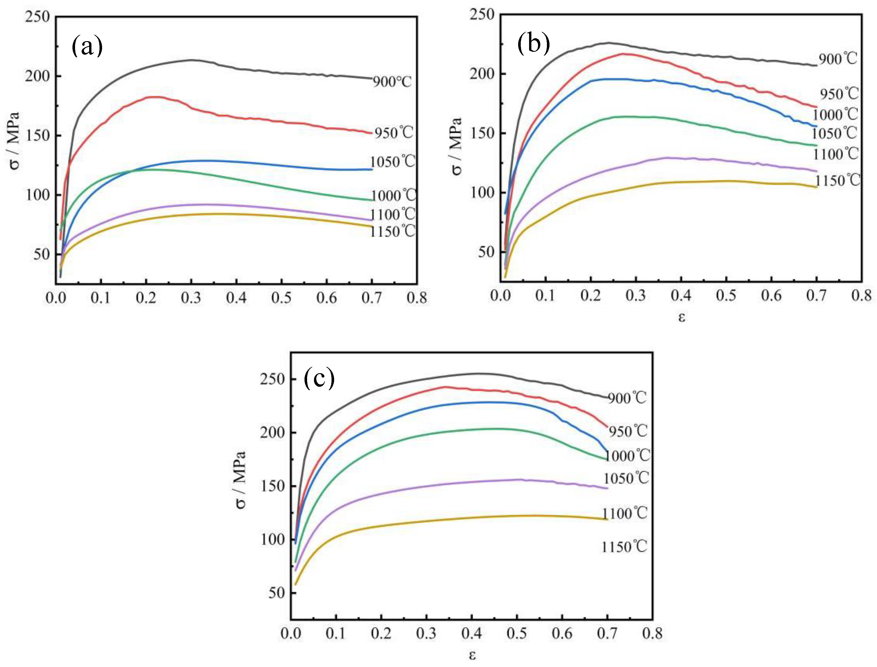
3.1. Results of Hot Compression
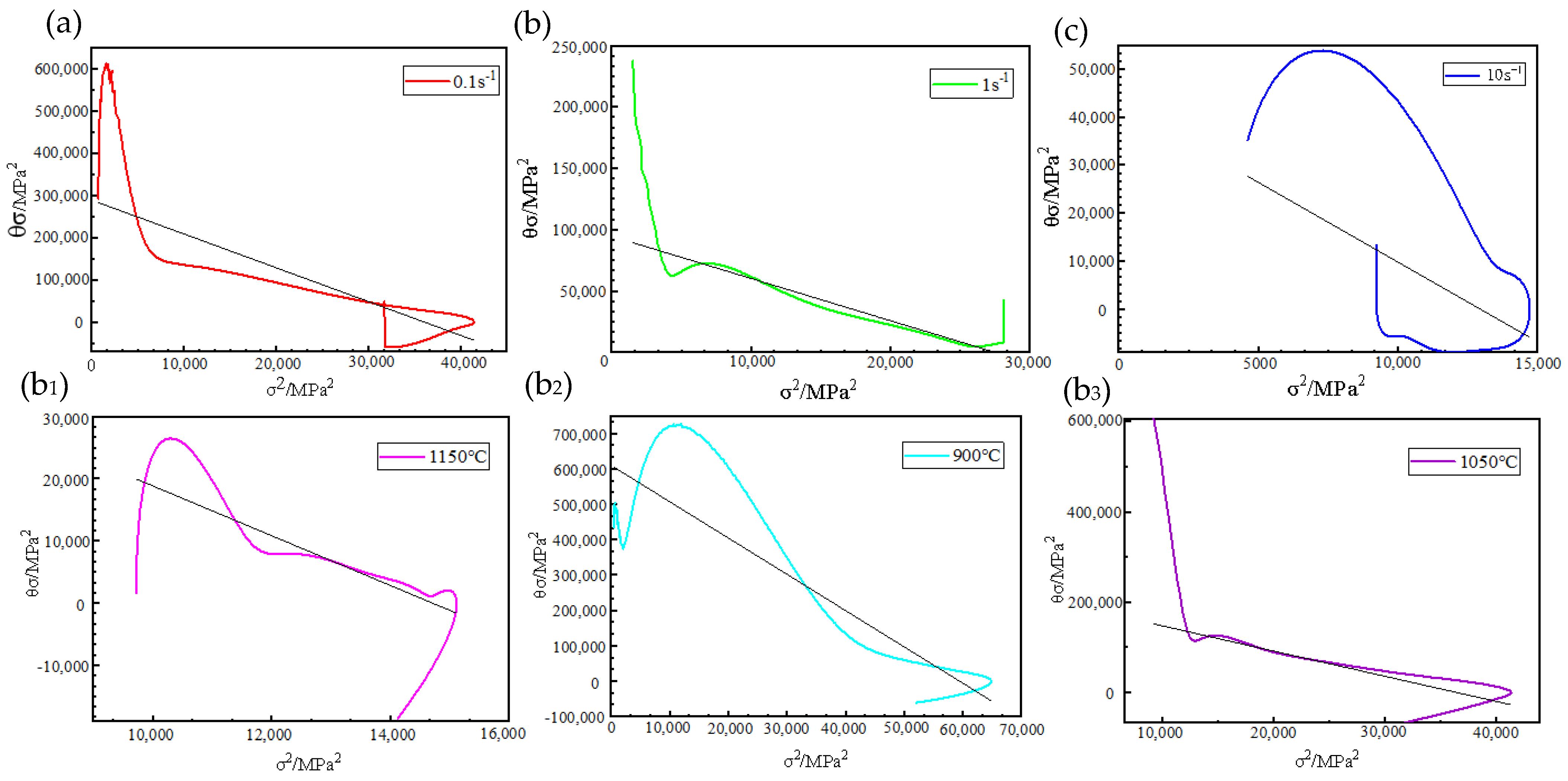
3.2. The L–J Dislocation Density Model
4. Micro-Structure Simulation and CA Model Validation
4.1. Finite Element Modeling
4.2. Numerical Simulation of Dynamic Recrystallization Meta CA
4.3. Theoretical Reasoning and Models of the CA Method
- (1)
- Boundary conditions and their settings
- (2)
- Dislocation density model
- (3)
- Nucleation and growth of dynamic recrystallization
- (4)
- Flow stress and material constants
4.4. Analysis of the CA Simulation Results
5. Conclusions
Author Contributions
Funding
Institutional Review Board Statement
Informed Consent Statement
Data Availability Statement
Conflicts of Interest
References
- Huang, K.E.; Logé, R.E. A review of dynamic recrystallization phenomena in metallic materials. Mater. Des. 2016, 111, 548–574. [Google Scholar] [CrossRef]
- Shu, X.Y.; Lu, S.Q.; Li, G.F.; Wang, K.L. Research on hot deformation behavior of PH13-8Mo stainless steel. Spec. Cast. Nonferr. Alloys 2018, 38, 1182–1185. [Google Scholar]
- Yang, D.W.; Wei, L.; Lin, Y.Y.; Gu, G.J. Hot deformation behavior and constitutive model of PH13-8Mo steel. Forg. Technol. 2021, 46, 234–499. [Google Scholar]
- Moradi, M.J.; Emadoddin, E.; Omidvar, H. Transient Liquid Phase Bonding of 17-4-PH Stainless Steel Using Conventional and Two-Step Heating Process. Met. Mater. Int. 2021, 27, 5268–5277. [Google Scholar] [CrossRef]
- Mittra, J.; Dey, G.K.; Sen, D.; Patra, A.K.; Mazumder, S.; De, P.K. Solution quenched structure of wrought PH13–8Mo stainless steel. Scr. Mater. 2004, 51, 349–353. [Google Scholar] [CrossRef]
- Ghaffari, M.; Nemani, A.V.; Nasiri, A. Microstructure and mechanical behavior of PH13-8Mo martensitic stainless steel fabricated by wire arc additive manufacturing. Addit. Manuf. 2022, 49, 102374. [Google Scholar]
- Zai, L.; Zhang, C.; Wang, Y.; Guo, W.; Wellmann, D.; Tong, X.; Tian, Y. Laser powder bed fusion of precipitation-hardened martensitic stainless steels: A review. Metals 2020, 10, 255. [Google Scholar] [CrossRef]
- Snir, Y.; Haroush, S.; Danon, A.; Landau, A.; Gelbstein, Y.; Eliezer, D. Metallurgical and hydrogen effects on the small punch tested mechanical properties of PH13-8Mo stainless steel. Materials 2018, 11, 1966. [Google Scholar] [CrossRef]
- Li, X.; Zhang, J.; Akiyama, E.; Li, Q.; Wang, Y. Effect of heat treatment on hydrogen-assisted fracture behavior of PH13-8Mo steel. Corros. Sci. 2017, 128, 198–212. [Google Scholar] [CrossRef]
- Nemani, A.V.; Ghaffari, M.; Nasiri, A. On the nucleation site and formation sequence of secondary phases during isothermal high-temperature aging of wire arc additively manufactured PH13-8Mo stainless steel. Vacuum 2022, 201, 111076. [Google Scholar] [CrossRef]
- Snir, Y.; Haroush, S.; Dannon, A.; Landau, A.; Eliezer, D.; Gelbstein, Y. Aging condition and trapped hydrogen effects on the mechanical behavior of a precipitation hardened martensitic stainless steel. J. Alloys Compd. 2019, 805, 509–516. [Google Scholar] [CrossRef]
- Li, X.; Zhang, J.; Fu, Q.; Akiyama, E.; Song, X.; Shen, S.; Li, Q. Hydrogen embrittlement of high strength steam turbine last stage blade steels: Comparison between PH17-4 steel and PH13-8Mo steel. Mater. Sci. Eng. A 2019, 742, 353–363. [Google Scholar] [CrossRef]
- Zhao, Q.Y.; Zhao, J.B.; Liu, Y.N.; Huang, Y.H.; Cheng, X.Q.; Li, X.G. Corrosion behavior of PH13-8Mo stainless steel after long-term exposure to semi-rural atmosphere. Chin. J. Eng. 2021, 43, 400–408. [Google Scholar]
- Raabe, D. Cellular automata in materials science with particular reference to recrystallization simulation. Annu. Rev. Mater. Res. 2002, 32, 53–76. [Google Scholar] [CrossRef]
- Raabe, D. Introduction of a scalable three-dimensional cellular automaton with a probabilistic switching rule for the discrete mesoscale simulation of recrystallization phenomena. Philos. Mag. A 1999, 79, 2339–2358. [Google Scholar] [CrossRef]
- Li, H.; Sun, X.; Yang, H. A three-dimensional cellular automata-crystal plasticity finite element model for predicting the multiscale interaction among heterogeneous deformation DRX microstructural evolution and mechanical responses in titanium alloys. Int. J. Plast. 2016, 87, 154–180. [Google Scholar] [CrossRef]
- Jian, W. Determination of the kinetics for dynamic recrystallization based on dislocation density variation. J. Plast. Eng. 2009, 4, 2685–2699. [Google Scholar]
- Matsumoto, H.; Velay, V. Mesoscale modeling of dynamic recrystallization behavior, grain size evolution, dislocation density, processing map characteristic, and room temperature strength of Ti-6Al-4V alloy forged in the (α + β) region. J. Alloys Compd. 2017, 708, 404–413. [Google Scholar] [CrossRef]
- Gourdet, S.; Montheillet, F. A model of continuous dynamic recrystallization. Acta Mater. 2003, 51, 2685–2699. [Google Scholar] [CrossRef]
- Chen, X.; Zhang, J.; Du, Y.; Wang, G.; Huang, T. Dynamic recrystallization simulation for X12 alloy steel by CA method based on modified LJ dislocation density model. Metals 2019, 9, 1291. [Google Scholar] [CrossRef]
- Li, L.; He, F.; Liu, X.; Lou, Y.; Zhou, J.; Duczczyk, J. Simulation of the grain structure evolution of a Mg-Al-Ca-based alloy during hot extrusion using the cellular automation method. Key Eng. Mater. 2012, 491, 265–272. [Google Scholar] [CrossRef]
- Liu, X.; Li, L.-X.; He, F.-Y.; Zhou, J.; Zhu, B.-W.; Zhang, L.-Q. Simulation on dynamic recrystallization behavior of AZ31 magnesium alloy using cellular automaton method coupling Laasraoui–Jonas model. Trans. Nonferr. Met. Soc. China 2013, 23, 2692–2699. [Google Scholar] [CrossRef]
- Kugler, G.; Turk, R. Modeling the dynamic recrystallization under multi-stage hot deformation. Acta Mater. 2004, 52, 4659–4668. [Google Scholar] [CrossRef]
- Ding, R.; Guo, Z.X. Coupled quantitative simulation of microstructural evolution and plastic flow during dynamic recrystallization. Acta Mater. 2001, 49, 3163–3175. [Google Scholar] [CrossRef]
- Quan, G.Z. Characterization for dynamic recrystallization kinetics based on stress-strain curves. In Recent Developments in the Study of Recrystallization; INTECH: Vienna, Austria, 2013; pp. 61–64. [Google Scholar]
- Zhang, K.; Wang, K.; Lu, S.; Liu, M.; Zhong, P.; Tian, Y. Dynamic recrystallization behavior and numerical simulation of S280 ultra-high strength stainless steel. J. Mater. Res. Technol. 2022, 20, 4419–4431. [Google Scholar] [CrossRef]
- Wolfram, S. Computation theory of cellular automata. Commun. Math. Phys. 1984, 96, 15–57. [Google Scholar] [CrossRef]
- Cao, Z.-H.; Sun, Y.; Zhou, C.; Wan, Z.-P.; Yang, W.-H.; Ren, L.-L.; Hu, L.-X. Cellular automaton simulation of dynamic recrystallization behavior in V-10Cr-5Ti alloy under hot deformation conditions. Trans. Nonferr. Met. Soc. China 2019, 29, 98–111. [Google Scholar] [CrossRef]
- Zhang, W.; Yang, Q.; Tan, Y.; Yang, Y.; Xiang, S.; Zhao, F. Study on the Dynamic Recrystallization Behavior of 47Zr-45Ti-5Al-3V Alloy by CA–FE Simulation. Materials 2021, 14, 2562. [Google Scholar] [CrossRef]
- Wei, H.L. Study on Hot Deformation Behavior of Medium and Low Carbon Microalloyed Steel and C.Mn.Al (SI) High Strength Steel. Ph.D. Thesis, Beijing University of Science and Technology, Beijing, China, 2015. [Google Scholar]
- Hesselbarth, H.W.; Göbel, I.R. Simulation of recrystallization by cellular automata. Acta Metall. Mater. 1991, 39, 2135–2143. [Google Scholar] [CrossRef]







| C | Cr | Ni | Al | Mo | N | H | Fe |
|---|---|---|---|---|---|---|---|
| 0.025 | 12.49 | 8.28 | 1.21 | 0.57 | 0.0028 | 0.002 | Bal. |
| Strain Rate/s−1 | Temperature/°C | Deformation Amount/% | Simulated Average Grain Size/µm | Experimental Average Grain Size/µm | Experimental Error/% |
|---|---|---|---|---|---|
| 10 | 900 | 30 | 18 | 17 | ±1 |
| 40 | 15 | 14 | ±1 | ||
| 50 | 9 | 10 | ±1 | ||
| 1050 | 30 | 25 | 24 | ±1 | |
| 40 | 21 | 20 | ±1 | ||
| 50 | 17 | 18 | ±1 |
Disclaimer/Publisher’s Note: The statements, opinions and data contained in all publications are solely those of the individual author(s) and contributor(s) and not of MDPI and/or the editor(s). MDPI and/or the editor(s) disclaim responsibility for any injury to people or property resulting from any ideas, methods, instructions or products referred to in the content. |
© 2024 by the authors. Licensee MDPI, Basel, Switzerland. This article is an open access article distributed under the terms and conditions of the Creative Commons Attribution (CC BY) license (https://creativecommons.org/licenses/by/4.0/).
Share and Cite
Hu, L.; Zhou, S.; Yuan, X.; Xu, X.; Yang, R.; Shu, X. Dynamic Recrystallization Simulation of PH13-8Mo Stainless Steel by Cellular Automata Method Based on Laasraoui–Jonas Dislocation Density Model. Materials 2024, 17, 5752. https://doi.org/10.3390/ma17235752
Hu L, Zhou S, Yuan X, Xu X, Yang R, Shu X. Dynamic Recrystallization Simulation of PH13-8Mo Stainless Steel by Cellular Automata Method Based on Laasraoui–Jonas Dislocation Density Model. Materials. 2024; 17(23):5752. https://doi.org/10.3390/ma17235752
Chicago/Turabian StyleHu, Linli, Shaoshuai Zhou, Xunyu Yuan, Xiwen Xu, Ruizhi Yang, and Xiaoyong Shu. 2024. "Dynamic Recrystallization Simulation of PH13-8Mo Stainless Steel by Cellular Automata Method Based on Laasraoui–Jonas Dislocation Density Model" Materials 17, no. 23: 5752. https://doi.org/10.3390/ma17235752
APA StyleHu, L., Zhou, S., Yuan, X., Xu, X., Yang, R., & Shu, X. (2024). Dynamic Recrystallization Simulation of PH13-8Mo Stainless Steel by Cellular Automata Method Based on Laasraoui–Jonas Dislocation Density Model. Materials, 17(23), 5752. https://doi.org/10.3390/ma17235752

