Magnetic Memory Effects in BaFe2(As0.68P0.32)2 Superconducting Single Crystal
Abstract
1. Introduction
2. Materials and Methods
3. Results
3.1. Isothermal Magnetization Loops and Critical Current Density
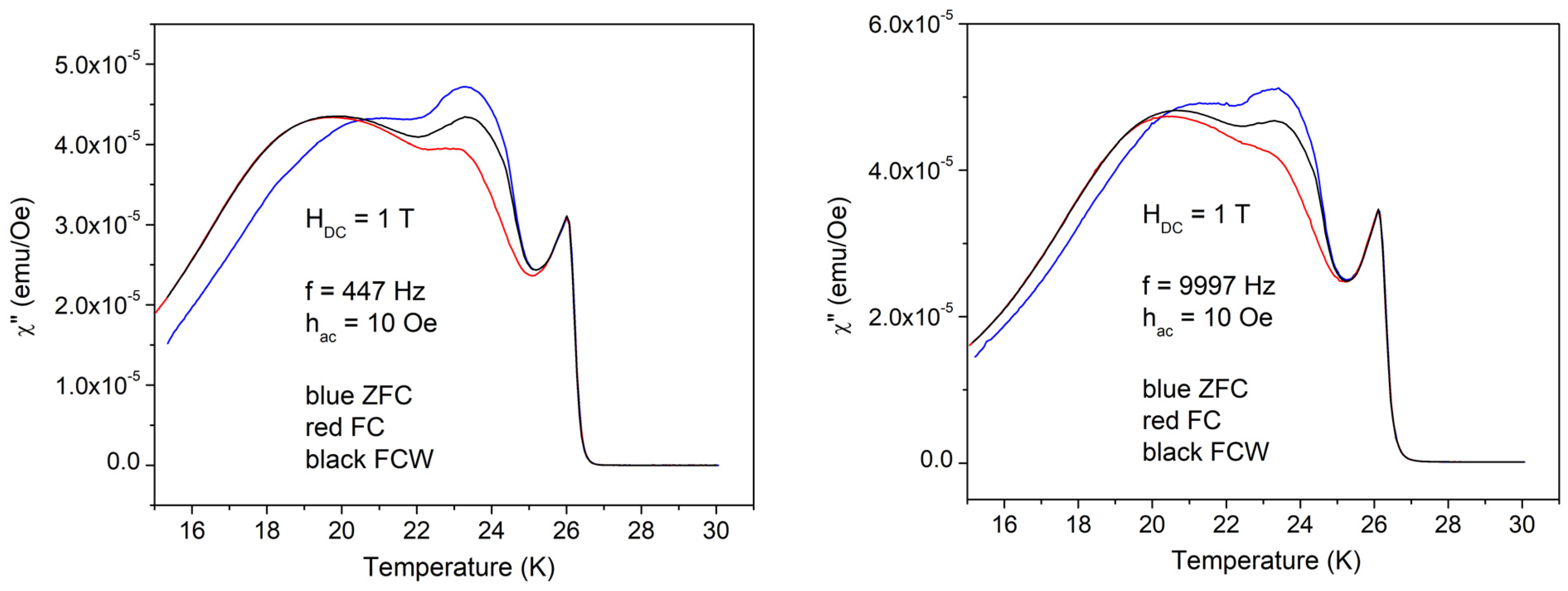
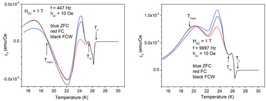
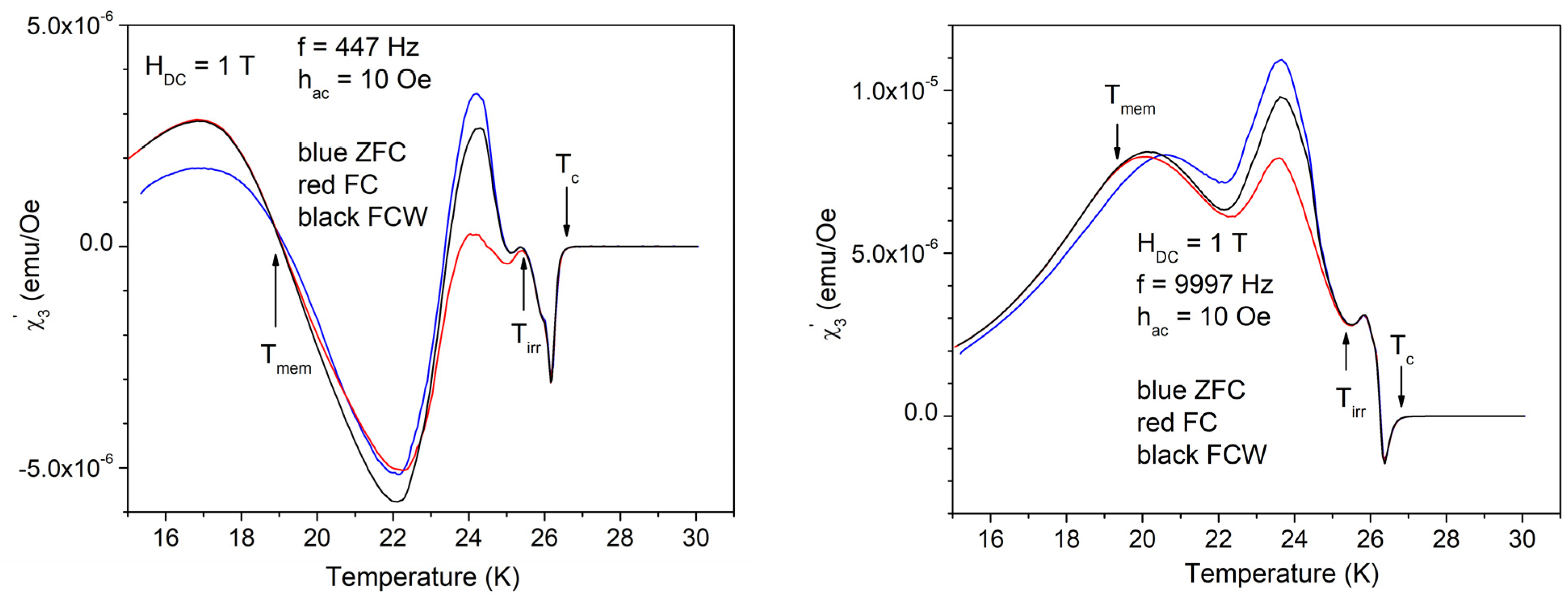
3.2. Multiharmonic AC Susceptibility in HDC = 1 T
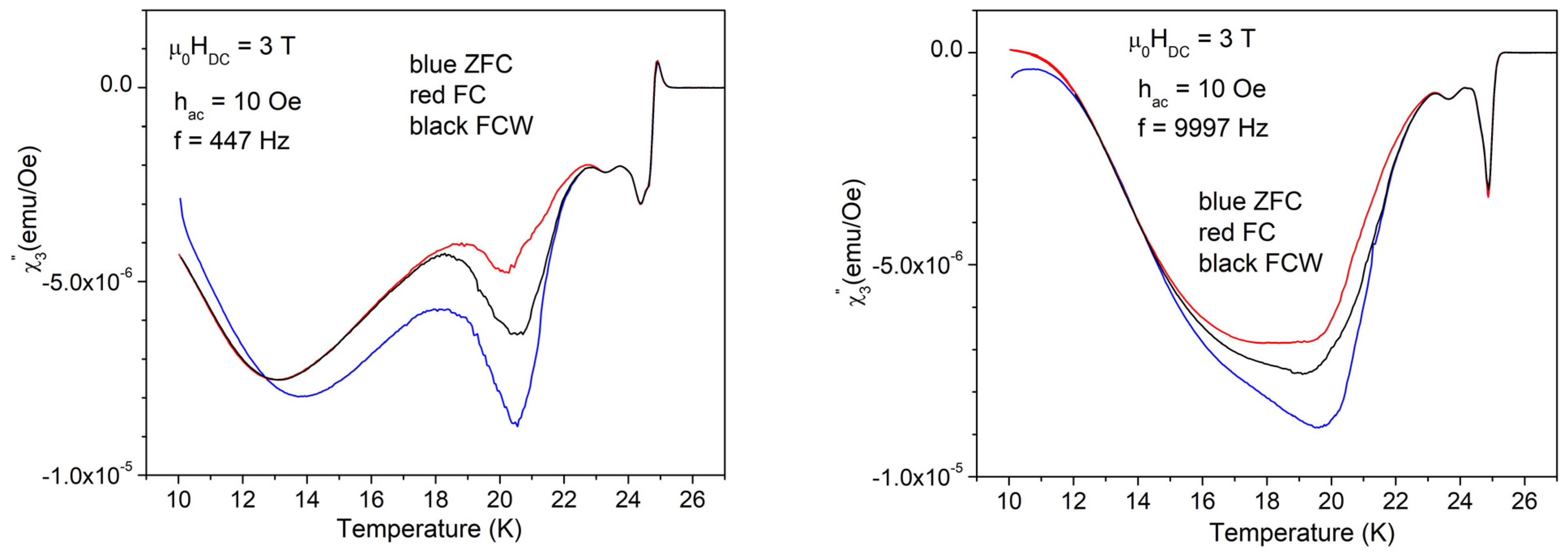
3.3. Multiharmonic AC Susceptibility in Higher DC Fields
4. Discussion
5. Conclusions
Author Contributions
Funding
Institutional Review Board Statement
Informed Consent Statement
Data Availability Statement
Conflicts of Interest
References
- Kamihara, Y.; Watanabe, T.; Hirano, M.; Hosono, H. Iron-Based Layered Superconductor La[O1−xFx]FeAs (x = 0.05–0.12) with Tc = 26 K. J. Am. Chem. Soc. 2008, 130, 3296–3297. [Google Scholar] [CrossRef] [PubMed]
- Ren, Z.A.; Che, G.C.; Dong, X.L.; Yang, J.; Lu, W.; Yi, W.; Shen, X.L.; Li, Z.C.; Sun, L.L.; Zhou, F.; et al. Superconductivity and phase diagram in iron-based arsenic-oxides ReFeAsO1−δ (Re = rare-earth metal) without fluorine doping. EPL 2008, 83, 17002. [Google Scholar] [CrossRef]
- Tsukada, I.; Hanawa, M.; Akiike, T.; Nabeshima, F.; Imai, Y.; Ichinose, A.; Komiya, S.; Hikage, T.; Kawaguchi, T.; Ikuta, H.; et al. Epitaxial growth of FeSe0.5Te0.5 thin films on CaF2 substrates with high critical current density. Appl. Phys. Express 2011, 4, 053101. [Google Scholar] [CrossRef]
- Rotter, M.; Tegel, M.; Johrendt, D. Superconductivity at 38 K in the iron arsenide (Ba1−xKx)Fe2As2. Phys. Rev. Lett. 2008, 101, 107006. [Google Scholar] [CrossRef] [PubMed]
- Yuan, H.Q.; Singleton, J.; Balakirev, F.F.; Baily, S.A.; Chen, G.F.; Luo, J.L.; Wang, N.L. Nearly isotropic superconductivity in (Ba,K)Fe2As2. Nature 2009, 457, 565–568. [Google Scholar] [CrossRef] [PubMed]
- Altarawneh, M.M.; Collar, K.; Mielke, C.H.; Ni, N.; Bud’Ko, S.L.; Canfield, P.C. Determination of anisotropic Hc2 up to 60 T in Ba0.55K0.45Fe2As2 single crystals. Phys. Rev. B—Condens. Matter Mater. Phys. 2008, 78, 220505. [Google Scholar] [CrossRef]
- Nakajima, M.; Uchida, S.; Kihou, K.; Lee, C.-H.; Iyo, A.; Eisaki, H. Growth of BaFe2(As1−xPx)2 Single Crystals (0 ≤ x ≤ 1) by Ba2As3/Ba2P3-Flux Method. J. Phys. Soc. Jpn. 2012, 81, 104710. [Google Scholar] [CrossRef]
- van der Beek, C.J.; Konczykowski, M.; Kasahara, S.; Terashima, T.; Okazaki, R.; Shibauchi, T.; Matsuda, Y. Quasiparticle Scattering Induced by Charge Doping of Iron-Pnictide Superconductors Probed by Collective Vortex Pinning. Phys. Rev. Lett. 2010, 105, 267002. [Google Scholar] [CrossRef] [PubMed]
- Jaroszynski, J.; Hunte, F.; Balicas, L.; Jo, Y.; Raicevic, I.; Gurevich, A.; Larbalestier, D.C.; Balakirev, F.F.; Fang, L.; Cheng, P.; et al. Upper critical fields and thermally-activated transport of Nd(O0.7F0.3) FeAs single crystal. Phys. Rev. B 2008, 78, 174523. [Google Scholar] [CrossRef]
- Demirdiş, S.; Fasano, Y.; Kasahara, S.; Terashima, T.; Shibauchi, T.; Matsuda, Y.; Konczykowski, M.; Pastoriza, H.; Van Der Beek, C.J. Disorder, critical currents, and vortex pinning energies in isovalently substituted BaFe2(As1−xPx)2. Phys. Rev. B—Condens. Matter Mater. Phys. 2013, 87, 094506. [Google Scholar] [CrossRef]
- Hashimoto, K.; Yamashita, M.; Kasahara, S.; Senshu, Y.; Nakata, N.; Tonegawa, S.; Ikada, K.; Serafin, A.; Carrington, A.; Terashima, T.; et al. Line nodes in the energy gap of superconducting BaFe2(As1−xPx)2 single crystals as seen via penetration depth and thermal conductivity. Phys. Rev. B—Condens. Matter Mater. Phys. 2010, 81, 220501. [Google Scholar] [CrossRef]
- Hashimoto, K.; Cho, K.; Shibauchi, T.; Kasahara, S.; Mizukami, Y.; Katsumata, R.; Tsuruhara, Y.; Terashima, T.; Ikeda, H.; Tanatar, M.A.; et al. A sharp peak of the zero-temperature penetration depth at optimal composition in BaFe2(As1−xPx)2. Science 2012, 336, 1554–1557. [Google Scholar] [CrossRef] [PubMed]
- Salem-Sugui, S.; Mosqueira, J.; Alvarenga, A.D.; Sóñora, D.; Herculano, E.P.; Hu, D.; Chen, G.; Luo, H. Observation of an anomalous peak in isofield M(T) curves in BaFe2(As0.68P0.32)2 suggesting a phase transition in the irreversible regime. Supercond. Sci. Technol. 2015, 28, 055017. [Google Scholar] [CrossRef]
- Salem-Sugui, S.; Mosqueira, J.; Alvarenga, A.D.; Sóñora, D.; Crisan, A.; Ionescu, A.M.; Sundar, S.; Hu, D.; Li, S.L.; Luo, H.Q. Vortex-glass state in the isovalent optimally doped pnictide superconductor BaFe2(As0.68P0.32)2. Supercond. Sci. Technol. 2017, 30, 055003. [Google Scholar] [CrossRef]
- Miu, L.; Ionescu, A.M.; Miu, D.; Burdusel, M.; Badica, P.; Batalu, D.; Crisan, A. Second magnetization peak, rhombic-to-square Bragg vortex glass transition, and intersecting magnetic hysteresis curves in overdoped BaFe2(As1−xPx)2 single crystals. Sci. Rep. 2020, 10, 17274. [Google Scholar] [CrossRef] [PubMed]
- Polichetti, M.; Adesso, M.G.; Pace, S. Third harmonics of the AC magnetic susceptibility: A method for the study of flux dynamics in high temperature superconductors. Eur. Phys. J. B 2003, 36, 27–36. [Google Scholar] [CrossRef]
- Bean, C.P. Magnetization of High-Field Superconductors. Rev. Mod. Phys. 1964, 36, 31–39. [Google Scholar] [CrossRef]
















Disclaimer/Publisher’s Note: The statements, opinions and data contained in all publications are solely those of the individual author(s) and contributor(s) and not of MDPI and/or the editor(s). MDPI and/or the editor(s) disclaim responsibility for any injury to people or property resulting from any ideas, methods, instructions or products referred to in the content. |
© 2024 by the authors. Licensee MDPI, Basel, Switzerland. This article is an open access article distributed under the terms and conditions of the Creative Commons Attribution (CC BY) license (https://creativecommons.org/licenses/by/4.0/).
Share and Cite
Badea, A.M.; Ivan, I.; Miclea, C.F.; Crisan, D.N.; Galluzzi, A.; Polichetti, M.; Crisan, A. Magnetic Memory Effects in BaFe2(As0.68P0.32)2 Superconducting Single Crystal. Materials 2024, 17, 5340. https://doi.org/10.3390/ma17215340
Badea AM, Ivan I, Miclea CF, Crisan DN, Galluzzi A, Polichetti M, Crisan A. Magnetic Memory Effects in BaFe2(As0.68P0.32)2 Superconducting Single Crystal. Materials. 2024; 17(21):5340. https://doi.org/10.3390/ma17215340
Chicago/Turabian StyleBadea (Ionescu), Alina M., Ion Ivan, Corneliu F. Miclea, Daniel N. Crisan, Armando Galluzzi, Massimiliano Polichetti, and Adrian Crisan. 2024. "Magnetic Memory Effects in BaFe2(As0.68P0.32)2 Superconducting Single Crystal" Materials 17, no. 21: 5340. https://doi.org/10.3390/ma17215340
APA StyleBadea, A. M., Ivan, I., Miclea, C. F., Crisan, D. N., Galluzzi, A., Polichetti, M., & Crisan, A. (2024). Magnetic Memory Effects in BaFe2(As0.68P0.32)2 Superconducting Single Crystal. Materials, 17(21), 5340. https://doi.org/10.3390/ma17215340

