The Role of Al/Ti in Precipitate-Strengthened and Austenite-Toughened Co-Free Maraging Stainless Steel
Abstract
1. Introduction
2. Materials and Methods
3. Results and Discussion
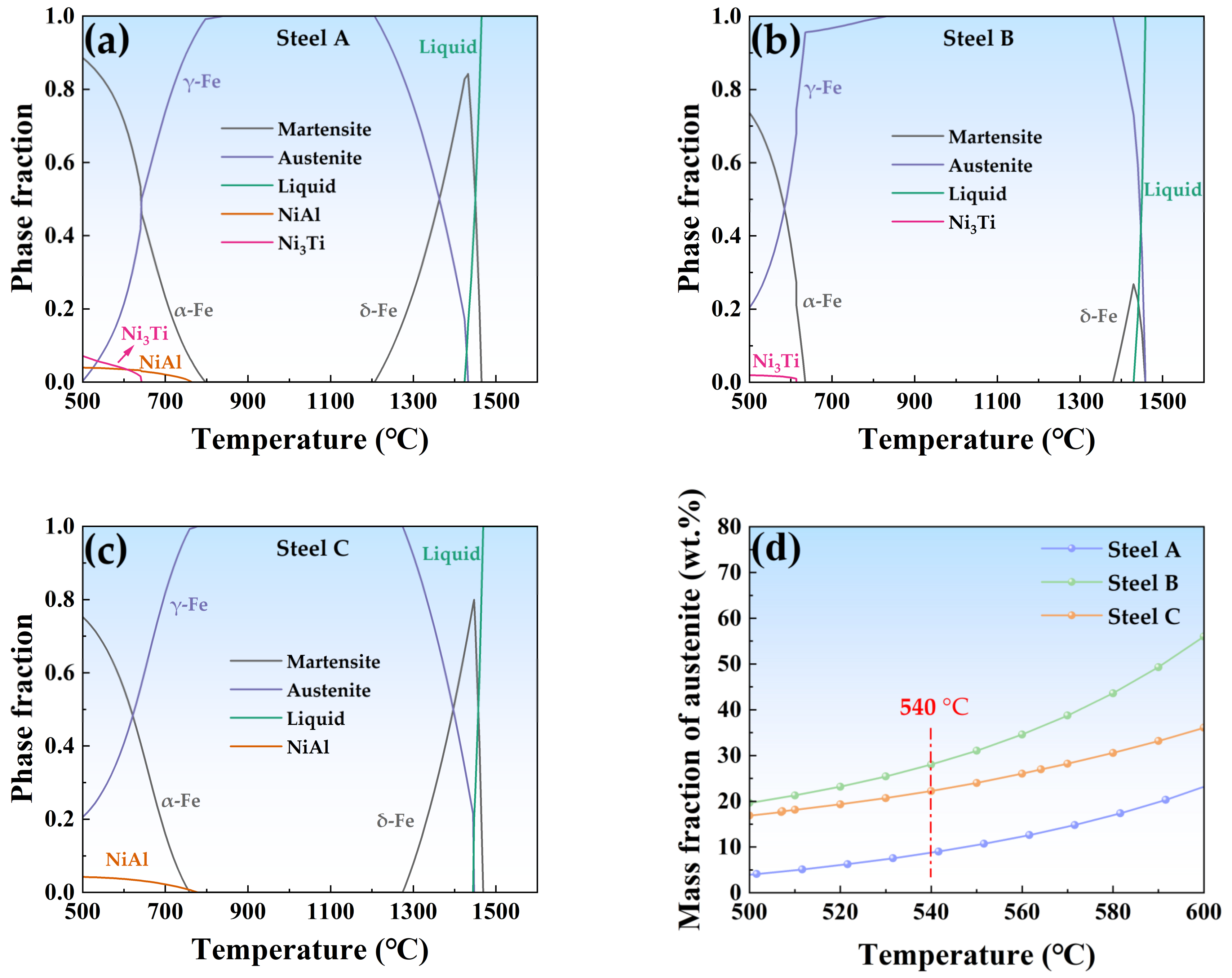
3.1. Thermal Expansion Analysis and Thermodynamic Calculations
3.2. XRD
3.3. Mechanical Properties
3.4. Fractography
3.5. Microstructure
4. Discussion
5. Conclusions
- (1)
- In the Fe-12Cr-11Ni-1.7Al-0.5Ti alloy, Ti and Al demonstrate significant solid solution effects, with the tensile strength of the solution-treated state reaching 927 MPa. Subsequent aging treatment leads to the simultaneous precipitation of spherical β-NiAl and rod-like η-Ni3Ti phases, increasing the tensile strength to 1571 MPa;
- (2)
- In the Fe-12Cr-11Ni-0.5Ti alloy, the absence of the Al lowers the Ms temperature, resulting in the highest amount of austenite after solution treatment. Although cryogenic treatment can reduce its quantity, aging at 540 °C increases the austenite content to 53.66%. The Ni-rich reversed austenite sequesters Ni atoms that could otherwise precipitate more η-Ni3Ti phases, leading to a modest increase in strength. This observation diverges from the work of Leitner et al. [20], who observed an increase in strength with Ti addition due to the formation of η-Ni3Ti without the competing influence of austenite;
- (3)
- The Fe-12Cr-11Ni-1.7Al alloy shows the best balance of strength and toughness. Al not only contributes to solid solution strengthening but also leads to the precipitation of coherent spherical β-NiAl phases around a high dislocation density matrix during aging treatment. These phases are finely and sparsely distributed in the matrix, which is the primary reason for the tensile strength of 1492 MPa. This finding aligns with prior research by Charline et al. [10], who reported the beneficial effects of Al on strengthening via the precipitation of β-NiAl. At this point, the austenite content in the alloy is 11.23% and the impact absorption energy is 115 J, more than double that of the Fe-12Cr-11Ni-1.7Al-0.5Ti alloy. Our findings are corroborated by studies, such as those by Zhou et al. [23], who reported the beneficial effects of Al on the stability of austenite and the overall toughness of maraging steels.
Author Contributions
Funding
Institutional Review Board Statement
Informed Consent Statement
Data Availability Statement
Conflicts of Interest
References
- Liu, Z.; Liang, J.; Yang, Z.; Wang, X.; Sun, Y.; Wang, C.; Yang, Z. Application and research progress of high-strength stainless steel. China Metall. 2022, 32, 42–53. [Google Scholar]
- Liu, Z.; Liang, J.; Su, J.; Wang, X.; Sun, Y.; Wang, C.; Yang, Z. Research and development status of high-strength stainless steel. Acta Metall. Sin. 2020, 56, 549–557. [Google Scholar] [CrossRef]
- Wen, Y.; Liang, L.; Chiang, F.; Gao, F.; Bai, H.; Wang, H.; Lin, K.; Xiao, D.; Qiang, W. Influences of manganese content and heat treatment on mechanical properties of precipitation-strengthened steels. Mater. Sci. Eng. A 2022, 837, 142724. [Google Scholar] [CrossRef]
- Liu, Z.; Yang, Z.; Liang, J.; Zhang, L.; Zhang, X. Formation dynamics and precipitation behavior of reversed austenite in high-strength stainless steel. Trans. Mater. Heat Treat. 2010, 31, 39–44. [Google Scholar] [CrossRef]
- Abdelshehid, M.; Mahmodieh, K.; Mori, K.; Chen, L.; Stoyanov, P.; Davlantes, D.; Foyos, J.; Ogren, J.; Clark, R.; Es-Said, O.S. On the correlation between fracture toughness and precipitation hardening heat treatments in 15-5PH Stainless Steel. Eng. Fail. Anal. 2007, 14, 626–631. [Google Scholar] [CrossRef]
- Li, Y.; Sun, X.; Li, Z.; Yong, Q.; Wang, X.; Zhang, K. Stability of reversed austenite in Mn-Ni steel. Trans. Mater. Heat Treat. 2016, 31, 39–44. [Google Scholar] [CrossRef]
- Zhou, B.; Yang, T.; Zhou, G.; Wang, H.; Luan, J.; Jiao, Z. Mechanisms for suppressing discontinuous precipitation and improving mechanical properties of NiAl-strengthened steels through nanoscale Cu partitioning. Acta Mater. 2021, 205, 116561. [Google Scholar] [CrossRef]
- Yang, Z.; Liu, Z.; Liang, J.; Sun, Y.; Li, W. Development of maraging stainless steel. Trans. Mater. Heat Treat. 2008, 29, 1–7. [Google Scholar] [CrossRef]
- Anil, K.; Karthikeyan, M.; Gupta, R.; Prakash, F. Aging behavior in 15-5 PH precipitation hardening martensitic stainless steel. Mater. Sci. Forum. 2012, 710, 483–488. [Google Scholar] [CrossRef]
- Nué, L.; Cloué, J.; Mathon, M.; Puech, S. Relationship between the Yield Strength-Fracture Toughness Balance and the Multiscale Microstructure of a Maraging Stainless Steel for Aircraft Applications. Mater. Sci. Forum. 2016, 879, 413–418. [Google Scholar] [CrossRef]
- Moshka, O.; Pinkas, M.; Brosh, E.; Ezersky, V.; Meshi, L. Addressing the issue of precipitates in maraging steels-unambiguous answer. Mater. Sci. Eng. A 2015, 638, 232–239. [Google Scholar] [CrossRef]
- Shekhter, A.; Aaronson, H.; Miller, M.; Ringer, S.; Pereloma, E. Effect of aging and deformation on the microstructure and properties of Fe-Ni-Ti maraging steel. Metall. Mater. Trans. A 2004, 35, 973–983. [Google Scholar] [CrossRef][Green Version]
- Schober, M.; Schnitzer, R.; Leitner, H. Precipitation evolution in a Ti free and Ti-containing stainless maraging steel. Ultramicroscopy 2009, 109, 553–562. [Google Scholar] [CrossRef] [PubMed]
- Jiao, Z.; Luan, J.; Miller, M.; Yu, C.; Liu, C. Effects of Mn partitioning on nanoscale precipitation and mechanical properties of ferritic steels strengthened by NiAl nanoparticles. Acta Mater. 2015, 84, 283–291. [Google Scholar] [CrossRef]
- Zhang, C.; Wang, C.; Wang, A.; Zheng, C.; Liu, Z.; Liang, J.; Su, J.; Ge, Q. Effect of Aging on Transformation Behavior of Reverted Austenite and Toughness in Co-Free Maraging Stainless Steel. J. Mater. Eng. Perform. 2022, 31, 9850–9863. [Google Scholar] [CrossRef]
- Zhou, C.; Ye, Q.; Zhao, T.; Hu, J.; Gao, X.; Wang, Z. Strengthening and toughening mechanisms in Ni-alloyed steel: Enhancing the integral stability of retained austenite. Mater. Sci. Eng. A 2022, 852, 143703. [Google Scholar] [CrossRef]
- Zhou, B.; Liu, S.; Wu, H.; Luan, J.; Guo, J.; Yang, T.; Jiao, Z. Nanoscale precipitation, mechanical properties, and deformation behavior of NiAl-strengthened high-strength steels: Effects of Ni and Al contents and ratios. Mater. Des. 2023, 134, 112341. [Google Scholar] [CrossRef]
- Niu, M.; Zhou, G.; Wang, W.; Shahzad, M.; Shan, Y.; Yang, K. Precipitate evolution and strengthening behavior during aging process in a 2.5 GPa grade maraging steel. Acta Mater. 2019, 179, 296–307. [Google Scholar] [CrossRef]
- Zhang, C.; Wang, C.; Zhang, S.; Ding, Y.; Ge, Q.; Su, J. Effect of aging temperature on the precipitation behavior and mechanical properties of Fe-Cr-Ni maraging stainless steel. Mater. Sci. Eng. A 2021, 806, 140763. [Google Scholar] [CrossRef]
- Leitner, H.; Schober, M.; Schnitzer, R.; Zinner, S. Strengthening behavior of Fe-Cr-Ni-Al-(Ti) maraging steels. Mater. Sci. Eng. A 2011, 528, 5264–5270. [Google Scholar] [CrossRef]
- Jiang, Y.; Yin, Z.; Zhu, J.; Li, M. Quantitative analysis of the influence of alloy elements on the Ms temperature of martensitic aging stainless steel. Spec. Steel 2003, 06, 9–12. [Google Scholar] [CrossRef]
- Avishan, B.; Tavakolian, M.; Yazdani, S. Two-step austempering of high performance steel with nanoscale microstructure. Mater. Sci. Eng. A 2017, 693, 178–185. [Google Scholar] [CrossRef]
- Song, Y.; Li, X.; Rong, L.; Li, Y. The influence of tempering temperature on the reversed austenite formation and tensile properties in Fe-13%Cr-4%Ni-Mo low carbon martensite stainless steels. Mater. Sci. Eng. A 2011, 528, 4075–4079. [Google Scholar] [CrossRef]
- Song, Y.; Ping, D.; Yin, F.; Li, X.; Li, Y. Microstructural evolution and low temperature impact toughness of a Fe-13%Cr-4%Ni-Mo martensitic stainless steel. Mater. Sci. Eng. A 2010, 527, 614–618. [Google Scholar] [CrossRef]
- Vanderwalker, D. The precipitation sequence of Ni3Ti in Co-free maraging steel. Metall. Trans. A 1987, 18, 1191–1194. [Google Scholar] [CrossRef]
- Sha, W.; Cerezo, A.; Smith, G. Phase chemistry and precipitation reactions in maraging steels: Part II. Co-free T-300 steel. Metall. Trans. A 1993, 24, 1233–1239. [Google Scholar] [CrossRef]
- Gemperle, A.; Gemperlová, J.; Sha, W.; Smith, G. Aging behavior of cobalt-free chromium-containing maraging steels. Mater. Sci. Technol. 1992, 8, 546–554. [Google Scholar] [CrossRef]
- Zhang, H.; Ji, X.; Ma, D.; Tong, M.; Wang, T.; Xu, B.; Sun, M.; Li, D. Effect of aging temperature on the austenite reversion and mechanical properties of a Fe–10Cr–10Ni cryogenic maraging steel. J. Mater. Res. Technol. 2021, 11, 98–111. [Google Scholar] [CrossRef]













| Steel | Mass Fraction (%) | Strengthening Phase | UTS (MPa) | KU2 (J) | |||||
|---|---|---|---|---|---|---|---|---|---|
| C | Ni | Cr | Mo | Ti | Al | ||||
| PH13-8Mo | 0.03 | 8.2 | 12.7 | 2.2 | - | 1.1 | NiAl | 1551 | 41 |
| Custom465 | 0.02 | 10.9 | 11.6 | 1.0 | 1.5 | Ni3Ti | 1779 | 37 | |
| MLX17 | 0.02 | 11.25 | 12.5 | 2.0 | 0.5 | 1.75 | NiAl/Ni3Ti | 1725 | 44 |
| MLX19 | 0.02 | 13.0 | 10.5 | 2.0 | 1.5 | 1.7 | NiAl/Ni3Ti | 1895 | 26 |
| Steel | C | Cr | Mo | Ni | Ti | Al |
|---|---|---|---|---|---|---|
| Steel A | 0.0010 | 11.71 | 2.10 | 10.89 | 0.51 | 1.67 |
| Steel B | 0.0009 | 11.65 | 2.10 | 10.94 | 0.43 | - |
| Steel C | 0.0010 | 11.77 | 2.09 | 10.81 | - | 1.70 |
| Steel | Volume Fraction of Austenite (%) | Steel | Volume Fraction of Austenite (%) | Steel | Volume Fraction of Austenite (%) |
|---|---|---|---|---|---|
| ST-Steel A | 3.85 | CT-Steel A | 3.02 | AT-Steel A | 8.67 |
| ST-Steel B | 12.40 | CT-Steel B | 8.24 | AT-Steel B | 53.66 |
| ST-Steel C | 3.05 | CT-Steel C | 2.78 | AT-Steel C | 11.23 |
| Steel | UTS (MPa) | YS(0.2% Off-Set) (MPa) | KU2 (J) | eu (%) | ef (%) |
|---|---|---|---|---|---|
| AT-Steel A | 1571 | 1529 | 50 | 12.5 | 65 |
| AT-Steel B | 1096 | 1017 | 209 | 18.0 | 76 |
| AT-Steel C | 1492 | 1460 | 115 | 13.8 | 66 |
| ST-Steel A | 927 | 719 | - | 16.5 | 78 |
| ST-Steel B | 836 | 608 | - | 19.5 | 80 |
| ST-Steel C | 908 | 724 | - | 16.0 | 80 |
Disclaimer/Publisher’s Note: The statements, opinions and data contained in all publications are solely those of the individual author(s) and contributor(s) and not of MDPI and/or the editor(s). MDPI and/or the editor(s) disclaim responsibility for any injury to people or property resulting from any ideas, methods, instructions or products referred to in the content. |
© 2024 by the authors. Licensee MDPI, Basel, Switzerland. This article is an open access article distributed under the terms and conditions of the Creative Commons Attribution (CC BY) license (https://creativecommons.org/licenses/by/4.0/).
Share and Cite
Meng, Q.; Tian, S.; Liu, Z.; Wang, X.; Zhao, W.; Wang, C.; Sun, Y.; Liang, J.; Yang, Z.; Xie, J. The Role of Al/Ti in Precipitate-Strengthened and Austenite-Toughened Co-Free Maraging Stainless Steel. Materials 2024, 17, 5337. https://doi.org/10.3390/ma17215337
Meng Q, Tian S, Liu Z, Wang X, Zhao W, Wang C, Sun Y, Liang J, Yang Z, Xie J. The Role of Al/Ti in Precipitate-Strengthened and Austenite-Toughened Co-Free Maraging Stainless Steel. Materials. 2024; 17(21):5337. https://doi.org/10.3390/ma17215337
Chicago/Turabian StyleMeng, Qihan, Shuai Tian, Zhenbao Liu, Xiaohui Wang, Wenyu Zhao, Changjun Wang, Yongqing Sun, Jianxiong Liang, Zhiyong Yang, and Jinli Xie. 2024. "The Role of Al/Ti in Precipitate-Strengthened and Austenite-Toughened Co-Free Maraging Stainless Steel" Materials 17, no. 21: 5337. https://doi.org/10.3390/ma17215337
APA StyleMeng, Q., Tian, S., Liu, Z., Wang, X., Zhao, W., Wang, C., Sun, Y., Liang, J., Yang, Z., & Xie, J. (2024). The Role of Al/Ti in Precipitate-Strengthened and Austenite-Toughened Co-Free Maraging Stainless Steel. Materials, 17(21), 5337. https://doi.org/10.3390/ma17215337

