Influence of the Addition of Zinc, Strontium, or Magnesium Oxides to the Bioglass 45S5 Network on Electrical Behavior
Abstract
1. Introduction
2. Materials and Methods
2.1. Bioglasses Synthesis
2.2. Structural and Morphological Characterizations
2.3. Electrical Characterization
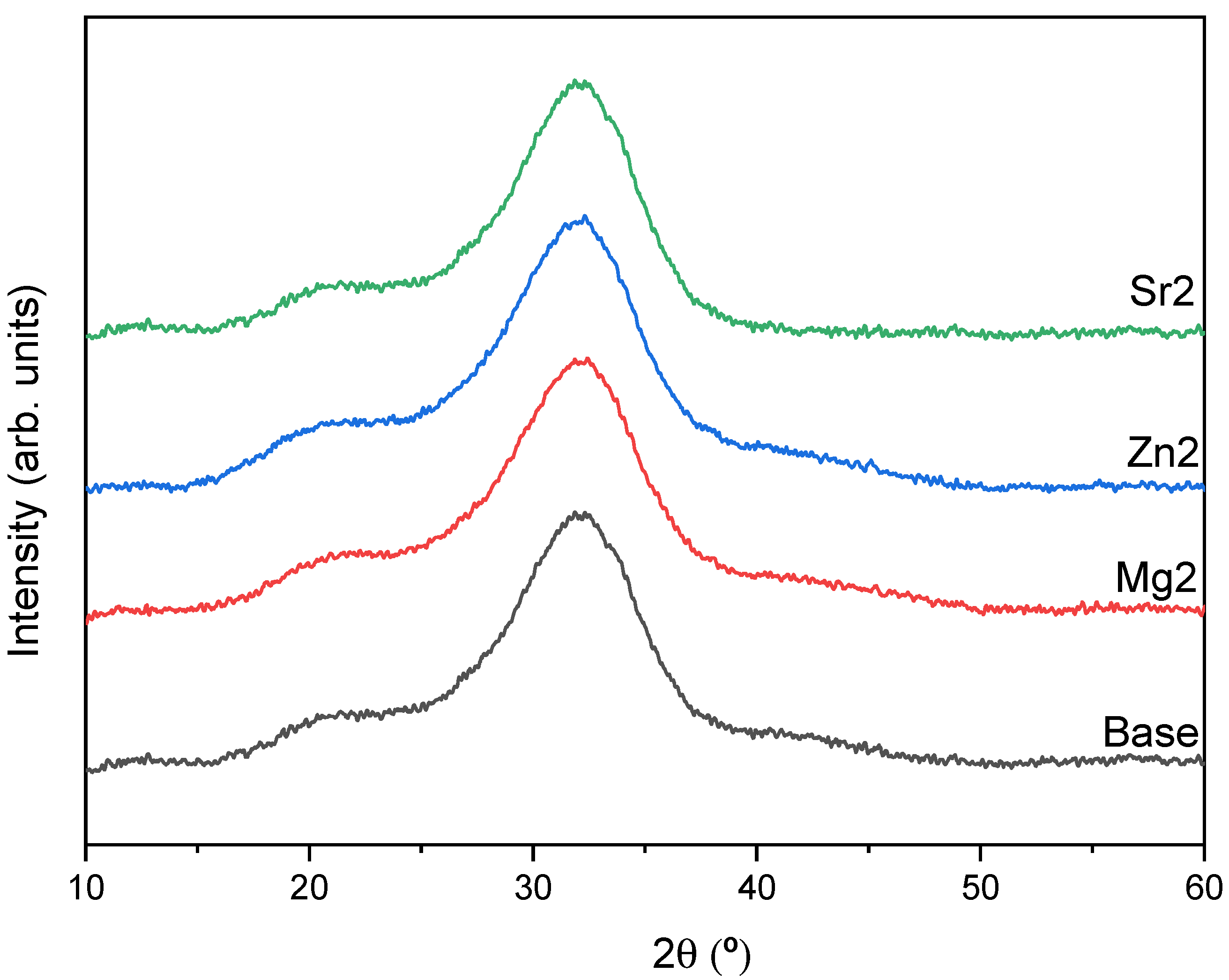
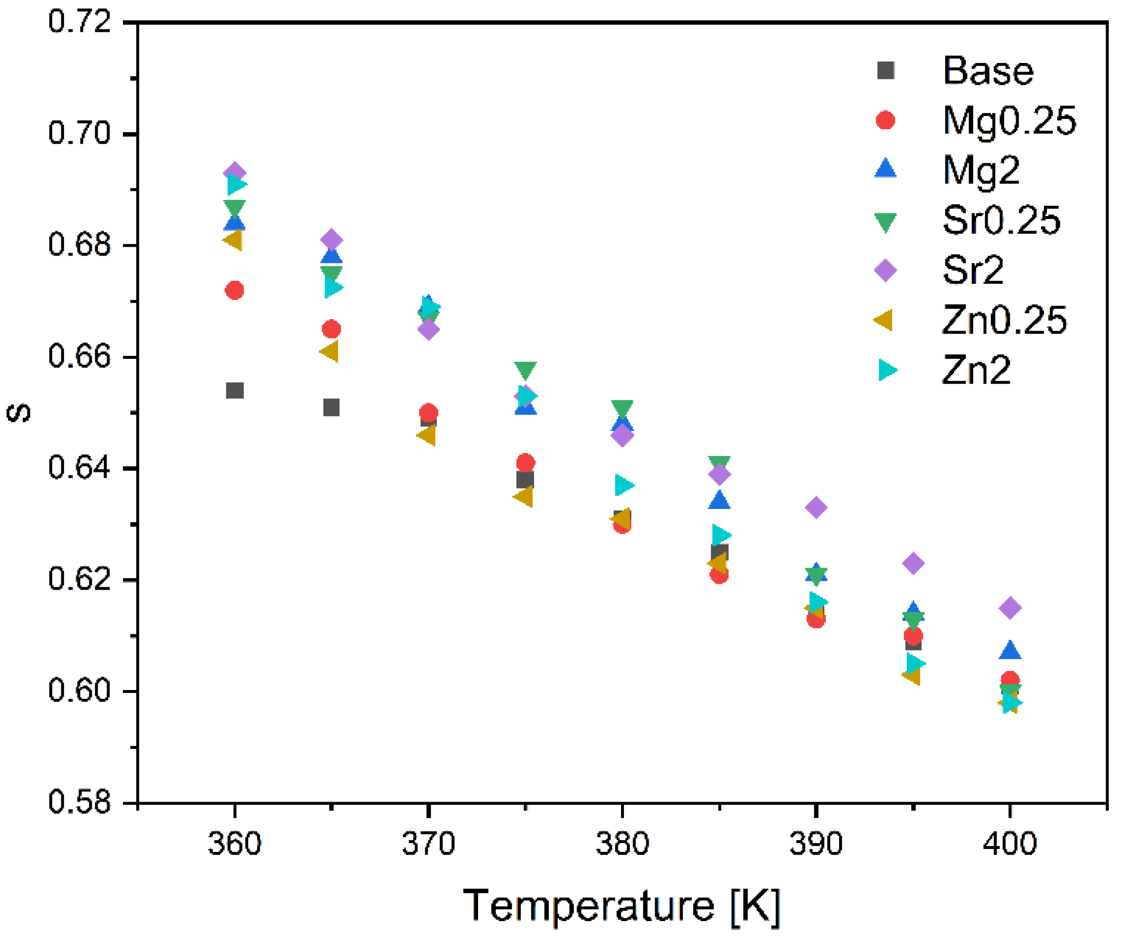
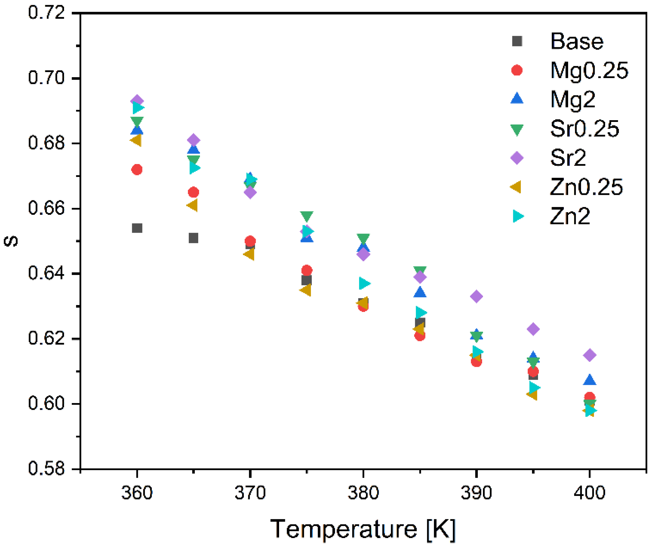
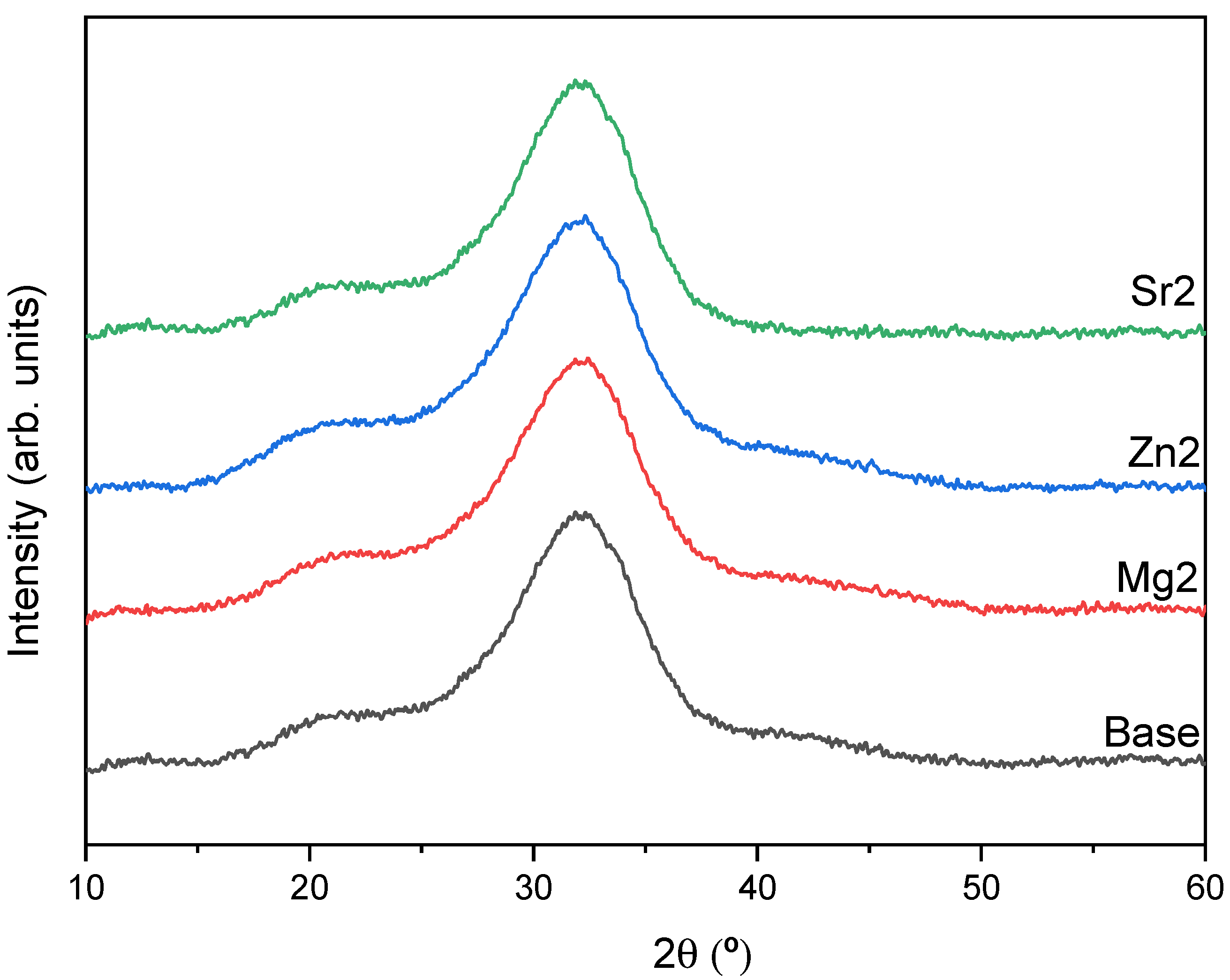
3. Results and Discussion
4. Conclusions
Author Contributions
Funding
Institutional Review Board Statement
Informed Consent Statement
Data Availability Statement
Conflicts of Interest
References
- Petersen, R.C. Titanium Implant Osseointegration Problems with Alternate Solutions Using Epoxy/Carbon-Fiber-Reinforced Composite. Metals 2014, 4, 549–569. [Google Scholar] [CrossRef] [PubMed]
- Silva, R.C.S.; Agrelli, A.; Andrade, A.N.; Mendes-Marques, C.L.; Arruda, I.R.S.; Santos, L.R.L.; Vasconcelos, N.F.; Machado, G. Titanium Dental Implants: An Overview of Applied Nanobiotechnology to Improve Biocompatibility and Prevent Infections. Materials 2022, 15, 3150. [Google Scholar] [CrossRef] [PubMed]
- Kearns, V.R.; Williams, R.L.; Mirvakily, F.; Doherty, P.J.; Martin, N. Guided Gingival Fibroblast Attachment to Titanium Surfaces: An in Vitro Study. J. Clin. Periodontol. 2013, 40, 99–108. [Google Scholar] [CrossRef] [PubMed]
- Wang, Q.; Zhou, P.; Liu, S.; Attarilar, S.; Ma, R.L.-W.; Zhong, Y.; Wang, L. Multi-Scale Surface Treatments of Titanium Implants for Rapid Osseointegration: A Review. Nanomaterials 2020, 10, 1244. [Google Scholar] [CrossRef] [PubMed]
- Guglielmotti, M.B.; Olmedo, D.G.; Cabrini, R.L. Research on Implants and Osseointegration. Periodontology 2000 2019, 79, 178–189. [Google Scholar] [CrossRef] [PubMed]
- Pádua, A.S.; Gavinho, S.R.; Vieira, T.; Hammami, I.; Silva, J.C.; Borges, J.P.; Graça, M.P.F. In Vitro Characterization of Doped Bioglass 45S5/HAp Coatings Obtained by CoBlastTM Deposition. Coatings 2023, 13, 1775. [Google Scholar] [CrossRef]
- Lung, C.Y.K.; Abdalla, M.M.; Chu, C.H.; Yin, I.; Got, S.-R.; Matinlinna, J.P. A Multi-Element-Doped Porous Bioactive Glass Coating for Implant Applications. Materials 2021, 14, 961. [Google Scholar] [CrossRef]
- Davidson, D.J.; Spratt, D.; Liddle, A.D. Implant Materials and Prosthetic Joint Infection: The Battle with the Biofilm. EFORT Open Rev. 2019, 4, 633–639. [Google Scholar] [CrossRef]
- Priyadarshini, B.; Rama, M.; Chetan; Vijayalakshmi, U. Bioactive Coating as a Surface Modification Technique for Biocompatible Metallic Implants: A Review. J. Asian Ceram. Soc. 2019, 7, 397–406. [Google Scholar] [CrossRef]
- Zafar, M.S.; Farooq, I.; Awais, M.; Najeeb, S.; Khurshid, Z.; Zohaib, S. Chapter 11-Bioactive Surface Coatings for Enhancing Osseointegration of Dental Implants. In Biomedical, Therapeutic and Clinical Applications of Bioactive Glasses; Kaur, G., Ed.; Woodhead Publishing Series in Biomaterials; Woodhead Publishing: Sawston, UK, 2019; pp. 313–329. ISBN 978-0-08-102196-5. [Google Scholar]
- Aswad, M.A.; Sabree, I.K.; Abd, A.H.S. An Examination of the Effect of Adding Zirconia to Bioactive Glass-Ceramic Properties. IOP Conf. Ser. Mater. Sci. Eng. 2021, 1067, 012121. [Google Scholar] [CrossRef]
- Joy-anne, N.O.; Su, Y.; Lu, X.; Kuo, P.-H.; Du, J.; Zhu, D. Bioactive Glass Coatings on Metallic Implants for Biomedical Applications. Bioact. Mater. 2019, 4, 261–270. [Google Scholar]
- Hench, L.L. The Story of Bioglass®. J. Mater. Sci. Mater. Med. 2006, 17, 967–978. [Google Scholar] [CrossRef] [PubMed]
- Hench, L.L. An Introduction to Bioceramics, 2nd ed.; World Scientific: Singapore, 2013; pp. 1–600. [Google Scholar] [CrossRef]
- Hench, L.L.; Greenspan, D. Interactions between Bioactive Glass and Collagen: A Review and New Perspectives. J. Aust. Ceram. Soc. 2013, 49, 1–40. [Google Scholar]
- Xynos, I.D.; Hukkanen, M.V.J.; Batten, J.J.; Buttery, L.D.; Hench, L.L.; Polak, J.M. Bioglass ®45S5 Stimulates Osteoblast Turnover and Enhances Bone Formation In Vitro: Implications and Applications for Bone Tissue Engineering. Calcif. Tissue Int. 2000, 67, 321–329. [Google Scholar] [CrossRef] [PubMed]
- Bano, S.; Romero, A.R.; Grant, D.M.; Nommeots-Nomm, A.; Scotchford, C.; Ahmed, I.; Hussain, T. In-Vitro Cell Interaction and Apatite Forming Ability in Simulated Body Fluid of ICIE16 and 13–93 Bioactive Glass Coatings Deposited by an Emerging Suspension High Velocity Oxy Fuel (SHVOF) Thermal Spray. Surf. Coat. Technol. 2021, 407, 126764. [Google Scholar] [CrossRef]
- Al Mugeiren, O.M.; Baseer, M.A. Dental Implant Bioactive Surface Modifiers: An Update. J. Int. Soc. Prev. Community Dent. 2019, 9, 1. [Google Scholar] [CrossRef] [PubMed]
- Hammami, I.; Gavinho, S.R.; Pádua, A.S.; Sá-Nogueira, I.; Silva, J.C.; Borges, J.P.; Valente, M.A.; Graça, M.P.F. Bioactive Glass Modified with Zirconium Incorporation for Dental Implant Applications: Fabrication, Structural, Electrical, and Biological Analysis. Int. J. Mol. Sci. 2023, 24, 10571. [Google Scholar] [CrossRef]
- Joy-anne, N.O.; Akande, O.; Ecker, M. Incorporation of Novel Elements in Bioactive Glass Compositions to Enhance Implant Performance. In Current Concepts in Dental Implantology-From Science to Clinical Research; IntechOpen: London, UK, 2021. [Google Scholar]
- Xynos, I.D.; Edgar, A.J.; Buttery, L.D.; Hench, L.L.; Polak, J.M. Ionic Products of Bioactive Glass Dissolution Increase Proliferation of Human Osteoblasts and Induce Insulin-like Growth Factor II mRNA Expression and Protein Synthesis. Biochem. Biophys. Res. Commun. 2000, 276, 461–465. [Google Scholar] [CrossRef]
- Silver, I.A.; Deas, J.; Erecińska, M. Interactions of Bioactive Glasses with Osteoblasts in Vitro: Effects of 45S5 Bioglass®, and 58S and 77S Bioactive Glasses on Metabolism, Intracellular Ion Concentrations and Cell Viability. Biomaterials 2001, 22, 175–185. [Google Scholar] [CrossRef]
- Kang, T.-Y.; Seo, J.-Y.; Ryu, J.-H.; Kim, K.-M.; Kwon, J.-S. Improvement of the Mechanical and Biological Properties of Bioactive Glasses by the Addition of Zirconium Oxide (ZrO2) as a Synthetic Bone Graft Substitute. J. Biomed. Mater. Res. Part A 2021, 109, 1196–1208. [Google Scholar] [CrossRef]
- Hammami, I.; Gavinho, S.R.; Pádua, A.S.; Graça, M.P.F.; Silva, J.C. Synthesis and Characterization of Iron Containing Bioactive Glass for Implants. In Proceedings of the 2022 E-Health and Bioengineering Conference (EHB), Iași, Romania, 17–18 November 2022; pp. 1–4. [Google Scholar]
- Gavinho, S.R.; Pádua, A.S.; Sá-Nogueira, I.; Silva, J.C.; Borges, J.P.; Costa, L.C.; Graça, M.P.F. Biocompatibility, Bioactivity, and Antibacterial Behaviour of Cerium-Containing Bioglass®. Nanomaterials 2022, 12, 4479. [Google Scholar] [CrossRef]
- Balamurugan, A.; Balossier, G.; Laurent-Maquin, D.; Pina, S.; Rebelo, A.H.S.; Faure, J.; Ferreira, J.M.F. An in Vitro Biological and Anti-Bacterial Study on a Sol-Gel Derived Silver-Incorporated Bioglass System. Dent. Mater. 2008, 24, 1343–1351. [Google Scholar] [CrossRef]
- Akhtach, S.; Tabia, Z.; El Mabrouk, K.; Bricha, M.; Belkhou, R. A Comprehensive Study on Copper Incorporated Bio-Glass Matrix for Its Potential Antimicrobial Applications. Ceram. Int. 2021, 47, 424–433. [Google Scholar] [CrossRef]
- Hammami, I.; Gavinho, S.R.; Jakka, S.K.; Valente, M.A.; Graça, M.P.F.; Pádua, A.S.; Silva, J.C.; Sá-Nogueira, I.; Borges, J.P. Antibacterial Biomaterial Based on Bioglass Modified with Copper for Implants Coating. J. Funct. Biomater. 2023, 14, 369. [Google Scholar] [CrossRef]
- Bargavi, P.; Chitra, S.; Durgalakshmi, D.; Radha, G.; Balakumar, S. Zirconia Reinforced Bio-Active Glass Coating by Spray Pyrolysis: Structure, Surface Topography, in-Vitro Biological Evaluation and Antibacterial Activities. Mater. Today Commun. 2020, 25, 101253. [Google Scholar] [CrossRef]
- Cacciotti, I. Bivalent Cationic Ions Doped Bioactive Glasses: The Influence of Magnesium, Zinc, Strontium and Copper on the Physical and Biological Properties. J. Mater. Sci. 2017, 52, 8812–8831. [Google Scholar] [CrossRef]
- Palanikumar, L.; Ramasamy, S.N.; Balachandran, C. Size-Dependent Antimicrobial Response of Zinc Oxide Nanoparticles. IET Nanobiotechnology 2014, 8, 111–117. [Google Scholar] [CrossRef]
- Ansari, M.A.; Khan, H.M.; Khan, A.A.; Sultan, A.; Azam, A. Characterization of Clinical Strains of MSSA, MRSA and MRSE Isolated from Skin and Soft Tissue Infections and the Antibacterial Activity of ZnO Nanoparticles. World J. Microbiol. Biotechnol. 2012, 28, 1605–1613. [Google Scholar] [CrossRef]
- Malka, E.; Perelshtein, I.; Lipovsky, A.; Shalom, Y.; Naparstek, L.; Perkas, N.; Patick, T.; Lubart, R.; Nitzan, Y.; Banin, E.; et al. Eradication of Multi-Drug Resistant Bacteria by a Novel Zn-Doped CuO Nanocomposite. Small 2013, 9, 4069–4076. [Google Scholar] [CrossRef]
- Gavinho, S.R.; Pádua, A.S.; Sá-Nogueira, I.; Silva, J.C.; Borges, J.P.; Costa, L.C.; Graça, M.P.F. Fabrication, Structural and Biological Characterization of Zinc-Containing Bioactive Glasses and Their Use in Membranes for Guided Bone Regeneration. Materials 2023, 16, 956. [Google Scholar] [CrossRef]
- Tabia, Z.; Mabrouk, K.E.; Bricha, M.; Nouneh, K. Mesoporous Bioactive Glass Nanoparticles Doped with Magnesium: Drug Delivery and Acellular in Vitro Bioactivity. RSC Adv. 2019, 9, 12232–12246. [Google Scholar] [CrossRef]
- Moghanian, A.; Sedghi, A.; Ghorbanoghli, A.; Salari, E. The Effect of Magnesium Content on in Vitro Bioactivity, Biological Behavior and Antibacterial Activity of Sol–Gel Derived 58S Bioactive Glass. Ceram. Int. 2018, 44, 9422–9432. [Google Scholar] [CrossRef]
- Coelho, C.C.; Padrão, T.; Costa, L.; Pinto, M.T.; Costa, P.C.; Domingues, V.F.; Quadros, P.A.; Monteiro, F.J.; Sousa, S.R. The Antibacterial and Angiogenic Effect of Magnesium Oxide in a Hydroxyapatite Bone Substitute. Sci. Rep. 2020, 10, 19098. [Google Scholar] [CrossRef]
- Damian-Buda, A.I.; Voicu, G.; Vasile, B.S.; Banciu, A.; Iordache, F.; Ciocan, L.T. Development of Mesoporous Borosilicate Bioactive Glass Nanoparticles Containing Mg2+ and Zn2+: Biocompatibility, Bioactivity and Antibacterial Activity. J. Non-Cryst. Solids 2022, 594, 121819. [Google Scholar] [CrossRef]
- Gavinho, S.R.; Pádua, A.S.; Holz, L.I.V.; Sá-Nogueira, I.; Silva, J.C.; Borges, J.P.; Valente, M.A.; Graça, M.P.F. Bioactive Glasses Containing Strontium or Magnesium Ions to Enhance the Biological Response in Bone Regeneration. Nanomaterials 2023, 13, 2717. [Google Scholar] [CrossRef]
- Mosaddad, S.A.; Yazdanian, M.; Tebyanian, H.; Tahmasebi, E.; Yazdanian, A.; Seifalian, A.; Tavakolizadeh, M. Fabrication and Properties of Developed Collagen/Strontium-Doped Bioglass Scaffolds for Bone Tissue Engineering. J. Mater. Res. Technol. 2020, 9, 14799–14817. [Google Scholar] [CrossRef]
- Chaichana, W.; Insee, K.; Chanachai, S.; Benjakul, S.; Aupaphong, V.; Naruphontjirakul, P.; Panpisut, P. Physical/Mechanical and Antibacterial Properties of Orthodontic Adhesives Containing Sr-Bioactive Glass Nanoparticles, Calcium Phosphate, and Andrographolide. Sci. Rep. 2022, 12, 6635. [Google Scholar] [CrossRef]
- Manoochehri, H.; Ghorbani, M.; Moosazadeh Moghaddam, M.; Nourani, M.R.; Makvandi, P.; Sharifi, E. Strontium Doped Bioglass Incorporated Hydrogel-Based Scaffold for Amplified Bone Tissue Regeneration. Sci. Rep. 2022, 12, 10160. [Google Scholar] [CrossRef]
- Mutreja, I.; Kumar, D.; Hogan, K.; Campbell, E.; Mansky, K.; Aparicio, C. Strontium- and Peptide-Modified Silicate Nanostructures for Dual Osteogenic and Antimicrobial Activity. Biomater. Adv. 2022, 135, 212735. [Google Scholar] [CrossRef]
- Kumar, A.; Banrjee, S.; Roy, P.; Xu, H.; Mariappan, C.R. Osteogenic Commitment of Strontium Nanoparticles Doped Mesoporous Bioactive Glass-Ceramics. Mater. Sci. Eng. B 2022, 286, 116068. [Google Scholar] [CrossRef]
- Obata, A.; Nakamura, S.; Moriyoshi, Y.; Yamashita, K. Electrical Polarization of Bioactive Glass and Assessment of Their in Vitro Apatite Deposition. J. Biomed. Mater. Res. Part A 2003, 67, 413–420. [Google Scholar] [CrossRef]
- Dubey, A.K.; Oyama, Y.; Kakimoto, K. Surface Charge-Assisted Synthesis of ZnO on Polarized BaTiO3 Substrate. Ionics 2019, 25, 1351–1358. [Google Scholar] [CrossRef]
- Obata, A.; Nakamura, S.; Yamashita, K. Interpretation of Electrical Polarization and Depolarization Mechanisms of Bioactive Glasses in Relation to Ionic Migration. Biomaterials 2004, 25, 5163–5169. [Google Scholar] [CrossRef]
- Obata, A.; Nakamura, S.; Sekijima, Y.; Yamashita, K. Control of Surface Reactions of Bioactive Glass by Electrical Polarization. J. Ceram. Soc. Jpn. 2004, S822–S825. [Google Scholar] [CrossRef]
- Kobayashi, M.; Saito, H.; Mase, T.; Sasaki, T.; Wang, W.; Tanaka, Y.; Nakamura, M.; Nagai, A.; Yamashita, K. Polarization of Hybridized Calcium Phosphoaluminosilicates with 45S5-Type Bioglasses. Biomed. Mater. 2010, 5, 025001. [Google Scholar] [CrossRef]
- Guo, W.; Liu, Y.; Zhu, X.; Wang, S. Temperature-Dependent Dielectric Properties of Honey Associated with Dielectric Heating. J. Food Eng. 2011, 102, 209–216. [Google Scholar] [CrossRef]
- Gavinho, S.R.; Melo, B.M.G.; Borges, J.P.; Silva, J.C.; Graça, M.P.F. Thermal, Structural, Morphological and Electrical Characterization of Cerium-Containing 45S5 for Metal Implant Coatings. Coatings 2023, 13, 294. [Google Scholar] [CrossRef]
- Yamashita, K.; Oikawa, N.; Umegaki, T. Acceleration and Deceleration of Bone-Like Crystal Growth on Ceramic Hydroxyapatite by Electric Poling. Chem. Mater. 1996, 8, 2697–2700. [Google Scholar] [CrossRef]
- Verma, A.S.; Kumar, D.; Dubey, A.K. Antibacterial and Cellular Response of Piezoelectric Na0.5K0.5NbO3modified 1393 Bioactive Glass. Mater. Sci. Eng. C 2020, 116, 111138. [Google Scholar] [CrossRef]
- Graça, M.P.F.; Ferreira Da Silva, M.G.; Valente, M.A. Preparation, Structure, Morphology, and Dc and Ac Conductivity of the 88SiO2-6Li2O-6Nb2O5 (% Mole) Sol-Gel Derived Glass-Ceramics. J. Sol-Gel Sci. Technol. 2007, 42, 1–8. [Google Scholar] [CrossRef]
- El-Mallawany, R.A. Tellurite Glasses Handbook: Physical Properties and Data; CRC Press: Boca Raton, FL, USA, 2014. [Google Scholar]
- Barsoukov, E.; Macdonald, J.R. Impedance Spectroscopy: Theory, Experiment, and Applications; John Wiley & Sons: Hoboken, NJ, USA, 2018. [Google Scholar]
- Macdonald, J.R. Emphasizing Solid Materials and Systems. Impedance Spectroscopy; John Wiley & Sons Inc.: New York, NY, USA, 1987. [Google Scholar]
- Miola, M.; Verné, E.; Ciraldo, F.E.; Cordero-Arias, L.; Boccaccini, A.R. Electrophoretic Deposition of Chitosan/45S5 Bioactive Glass Composite Coatings Doped with Zn and Sr. Front. Bioeng. Biotechnol. 2015, 3, 159. [Google Scholar] [CrossRef]
- Sergi, R.; Bellucci, D.; Salvatori, R.; Maisetta, G.; Batoni, G.; Cannillo, V. Zinc Containing Bioactive Glasses with Ultra-High Crystallization Temperature, Good Biological Performance and Antibacterial Effects. Mater. Sci. Eng. C 2019, 104, 109910. [Google Scholar] [CrossRef]
- Neščáková, Z.; Zheng, K.; Liverani, L.; Nawaz, Q.; Galusková, D.; Kaňková, H.; Michálek, M.; Galusek, D.; Boccaccini, A.R. Multifunctional Zinc Ion Doped Sol-Gel Derived Mesoporous Bioactive Glass Nanoparticles for Biomedical Applications. Bioact. Mater. 2019, 4, 312–321. [Google Scholar] [CrossRef]
- Taherkhani, S.; Moztarzadeh, F. Influence of Strontium on the Structure and Biological Properties of Sol–Gel-Derived Mesoporous Bioactive Glass (MBG) Powder. J. Sol-Gel Sci. Technol. 2016, 78, 539–549. [Google Scholar] [CrossRef]
- Zhao, R.; Shi, L.; Gu, L.; Qin, X.; Song, Z.; Fan, X.; Zhao, P.; Li, C.; Zheng, H.; Li, Z.; et al. Evaluation of Bioactive Glass Scaffolds Incorporating SrO or ZnO for Bone Repair: In Vitro Bioactivity and Antibacterial Activity. J. Appl. Biomater. Funct. Mater. 2021, 19, 22808000211040910. [Google Scholar] [CrossRef]
- Dziadek, M.; Zagrajczuk, B.; Jelen, P.; Olejniczak, Z.; Cholewa-Kowalska, K. Structural Variations of Bioactive Glasses Obtained by Different Synthesis Routes. Ceram. Int. 2016, 42, 14700–14709. [Google Scholar] [CrossRef]
- Araujo, M.S.; Silva, A.C.; Bartolomé, J.F.; Mello-Castanho, S. Structural and Thermal Behavior of 45S5 Bioglass®-Based Compositions Containing Alumina and Strontium. J. Am. Ceram. Soc. 2020, 103, 3620–3630. [Google Scholar] [CrossRef]
- Aguiar, H.; Serra, J.; González, P.; León, B. Structural Study of Sol-Gel Silicate Glasses by IR and Raman Spectroscopies. J. Non-Cryst. Solids 2009, 355, 475–480. [Google Scholar] [CrossRef]
- Berezicka, A.; Szumera, M.; Sułowska, J.; Jeleń, P.; Olejniczak, Z.; Stępień, J.; Zając, M.; Pollastri, S.; Olivi, L. Unraveling the Nature of Sulfur-Bearing Silicate-Phosphate Glasses: Insights from Multi-Spectroscopic (Raman, MIR, 29Si, 31P MAS-NMR, XAS, XANES) Investigation. Ceram. Int. 2022, 48, 4238–4254. [Google Scholar] [CrossRef]
- Sun, Y.; Zhang, Z.; Liu, L.; Wang, X. FTIR, Raman and NMR Investigation of CaO–SiO2–P2O5 and CaO–SiO2–TiO2–P2O5 Glasses. J. Non-Cryst. Solids 2015, 420, 26–33. [Google Scholar] [CrossRef]
- Jonscher, A.K.; Réau, J.-M. Analysis of the Complex Impedance Data for β-PbF 2. J. Mater. Sci. 1978, 13, 563–570. [Google Scholar] [CrossRef]
- Funke, K. Jump Relaxation in Solid Electrolytes. Prog. Solid State Chem. 1993, 22, 111–195. [Google Scholar] [CrossRef]
- Bechir, M.B.; Karoui, K.; Tabellout, M.; Guidara, K.; Rhaiem, A.B. Electric and Dielectric Studies of the [N (CH3) 3H] 2CuCl4 Compound at Low Temperature. J. Alloys Compd. 2014, 588, 551–557. [Google Scholar] [CrossRef]
- Ghosh, A. Frequency-Dependent Conductivity in Bismuth-Vanadate Glassy Semiconductors. Phys. Rev. B 1990, 41, 1479–1488. [Google Scholar] [CrossRef]
- Austin, I.G.; Mott, N.F. Polarons in Crystalline and Non-Crystalline Materials. Adv. Phys. 1969, 18, 41–102. [Google Scholar] [CrossRef]
- Keshri, S.R.; Ganisetti, S.; Kumar, R.; Gaddam, A.; Illath, K.; Ajithkumar, T.G.; Balaji, S.; Annapurna, K.; Nasani, N.; Krishnan, N.M.A.; et al. Ionic Conductivity of Na3Al2P3O12 Glass Electrolytes—Role of Charge Compensators. Inorg. Chem. 2021, 60, 12893–12905. [Google Scholar] [CrossRef]











| Sample | Q0 Si Units | Q1 Si Units | Q2 Si Units | Q0 P Units | Q1 P Units | Q3 Si Units |
|---|---|---|---|---|---|---|
| Base | 7.8 | 2.13 | 15.9 | 49.9 | 3.9 | 36.7 |
| Zn0.25 | 12.29 | 3.71 | 28.81 | 29.82 | 14.65 | 28.25 |
| Zn0.5 | 13.23 | 3.66 | 30.47 | 26.53 | 14.97 | 28.91 |
| Zn1 | 13.53 | 4.48 | 29.29 | 26.04 | 11.55 | 31.69 |
| Zn2 | 12.31 | 5.08 | 29.18 | 30.18 | 18.16 | 24.40 |
| Mg0.25 | 12.24 | 3.12 | 32.67 | 26.34 | 14.36 | 27.25 |
| Mg0.5 | 13.45 | 3.15 | 33.96 | 24.75 | 14.40 | 29.06 |
| Mg1 | 13.34 | 3.44 | 32.10 | 25.08 | 16.26 | 27.81 |
| Mg2 | 14.20 | 5.09 | 28.91 | 27.11 | 16.77 | 26.78 |
| Sr0.25 | 13.14 | 3.17 | 29.53 | 30.09 | 15.52 | 25.31 |
| Sr0.5 | 14.58 | 4.23 | 24.41 | 31.41 | 18.12 | 25.53 |
| Sr1 | 15.26 | 4.47 | 27.98 | 31.77 | 17.31 | 21.19 |
| Sr2 | 17.98 | 3.93 | 32.41 | 29.42 | 17.22 | 18.82 |
| Sample | σdc (×10−10) [S/m] | Ea dc [kJ/mol] | σac (×10−7) [S/m] | Ea ac [kJ/mol] | ε′ | tan δ |
|---|---|---|---|---|---|---|
| Base | 6.9 ± 0.10 | 77.7 ± 0.80 | 1.73 ± 0.02 | 40.99 ± 0.43 | 11.9 ± 0.7 | 0.026 ± 0.003 |
| Zn0.25 | 5.7 ± 0.13 | 80.5 ± 0.07 | 1.27 ± 0.02 | 42.27 ± 1.70 | 11.0 ± 0.7 | 0.024 ± 0.003 |
| Zn0.5 | 8.1 ± 0.16 | 79.0 ± 0.13 | 1.30 ± 0.02 | 40.42 ± 1.03 | 11.9 ± 0.7 | 0.019 ± 0.002 |
| Zn1 | 8.7 ± 0.22 | 75.8 ± 0.15 | 1.41 ± 0.03 | 39.80 ± 0.71 | 11.0 ± 0.8 | 0.023 ± 0.004 |
| Zn2 | 10.5 ± 0.26 | 73.5 ± 0.29 | 1.31 ± 0.02 | 38.75 ± 0.76 | 11.6 ± 0.9 | 0.020 ± 0.003 |
| Mg0.25 | 10.4 ± 0.51 | 72.8 ± 0.75 | 1.74 ± 0.04 | 40.67 ± 0.42 | 11.3 ± 1.0 | 0.023 ± 0.004 |
| Mg0.5 | 10.1 ± 0.22 | 75.3 ± 0.78 | 1.68 ± 0.03 | 37.65 ± 0.39 | 12.5 ± 0.8 | 0.024 ± 0.003 |
| Mg1 | 10.2 ± 0.31 | 75.5 ± 0.78 | 1.36 ± 0.03 | 39.54 ± 0.41 | 11.0 ± 0.8 | 0.022 ± 0.003 |
| Mg2 | 5.7 ± 0.13 | 78.1 ± 0.81 | 1.33 ± 0.03 | 39.11 ± 0.40 | 13.1 ± 0.8 | 0.018 ± 0.003 |
| Sr0.25 | 4.9 ± 0.12 | 76.2 ± 0.79 | 1.34 ± 0.02 | 39.00 ± 0.40 | 13.4 ± 0.4 | 0.018 ± 0.002 |
| Sr0.5 | 7.6 ± 0.23 | 75.5 ± 0.78 | 1.42 ± 0.02 | 39.45 ± 0.41 | 12.1 ± 0.1 | 0.021± 0.003 |
| Sr1 | 7.8 ± 0.21 | 74.6 ± 0.77 | 1.30 ± 0.02 | 37.93 ± 0.40 | 11.3 ± 0.2 | 0.021 ± 0.002 |
| Sr2 | 0.9 ± 0.02 | 79.7 ± 0.83 | 1.03 ± 0.01 | 39.94 ± 0.40 | 11.8 ± 0.7 | 0.015 ± 0.002 |
Disclaimer/Publisher’s Note: The statements, opinions and data contained in all publications are solely those of the individual author(s) and contributor(s) and not of MDPI and/or the editor(s). MDPI and/or the editor(s) disclaim responsibility for any injury to people or property resulting from any ideas, methods, instructions or products referred to in the content. |
© 2024 by the authors. Licensee MDPI, Basel, Switzerland. This article is an open access article distributed under the terms and conditions of the Creative Commons Attribution (CC BY) license (https://creativecommons.org/licenses/by/4.0/).
Share and Cite
Gavinho, S.R.; Hammami, I.; Jakka, S.K.; Teixeira, S.S.; Silva, J.C.; Borges, J.P.; Graça, M.P.F. Influence of the Addition of Zinc, Strontium, or Magnesium Oxides to the Bioglass 45S5 Network on Electrical Behavior. Materials 2024, 17, 499. https://doi.org/10.3390/ma17020499
Gavinho SR, Hammami I, Jakka SK, Teixeira SS, Silva JC, Borges JP, Graça MPF. Influence of the Addition of Zinc, Strontium, or Magnesium Oxides to the Bioglass 45S5 Network on Electrical Behavior. Materials. 2024; 17(2):499. https://doi.org/10.3390/ma17020499
Chicago/Turabian StyleGavinho, Sílvia Rodrigues, Imen Hammami, Suresh Kumar Jakka, Sílvia Soreto Teixeira, Jorge Carvalho Silva, João Paulo Borges, and Manuel Pedro Fernandes Graça. 2024. "Influence of the Addition of Zinc, Strontium, or Magnesium Oxides to the Bioglass 45S5 Network on Electrical Behavior" Materials 17, no. 2: 499. https://doi.org/10.3390/ma17020499
APA StyleGavinho, S. R., Hammami, I., Jakka, S. K., Teixeira, S. S., Silva, J. C., Borges, J. P., & Graça, M. P. F. (2024). Influence of the Addition of Zinc, Strontium, or Magnesium Oxides to the Bioglass 45S5 Network on Electrical Behavior. Materials, 17(2), 499. https://doi.org/10.3390/ma17020499

