Mechanical Properties of Full-Scale Wooden Beams Strengthened with Carbon-Fibre-Reinforced Polymer Sheets
Abstract
1. Introduction
2. Materials and Methods
2.1. Materials
2.1.1. Wood
2.1.2. Carbon-Fibre-Reinforced Polymer Sheets
2.1.3. Adhesive
2.2. Methods
- A—unreinforced beams;
- B—the beams were reinforced with a single layer of a 7 cm wide sheet bonded to the bottom surface (reinforcement ratio pt = 0.196%);
- C—beams reinforced with two layers of sheet, each measuring 7 cm in width, bonded to the lower surface (pt = 0.392%);
- D—beams reinforced with a single layer of 30 cm wide sheet bonded to the bottom and side surfaces (pt = 0.839%);
- E—beams reinforced with two layers of sheet, each 30 cm wide, bonded to the bottom (pt = 1.203%) and side surfaces, with overlap in the tension zone (pc = 0.476%).
3. Results and Discussion
3.1. Load-Bearing Capacity
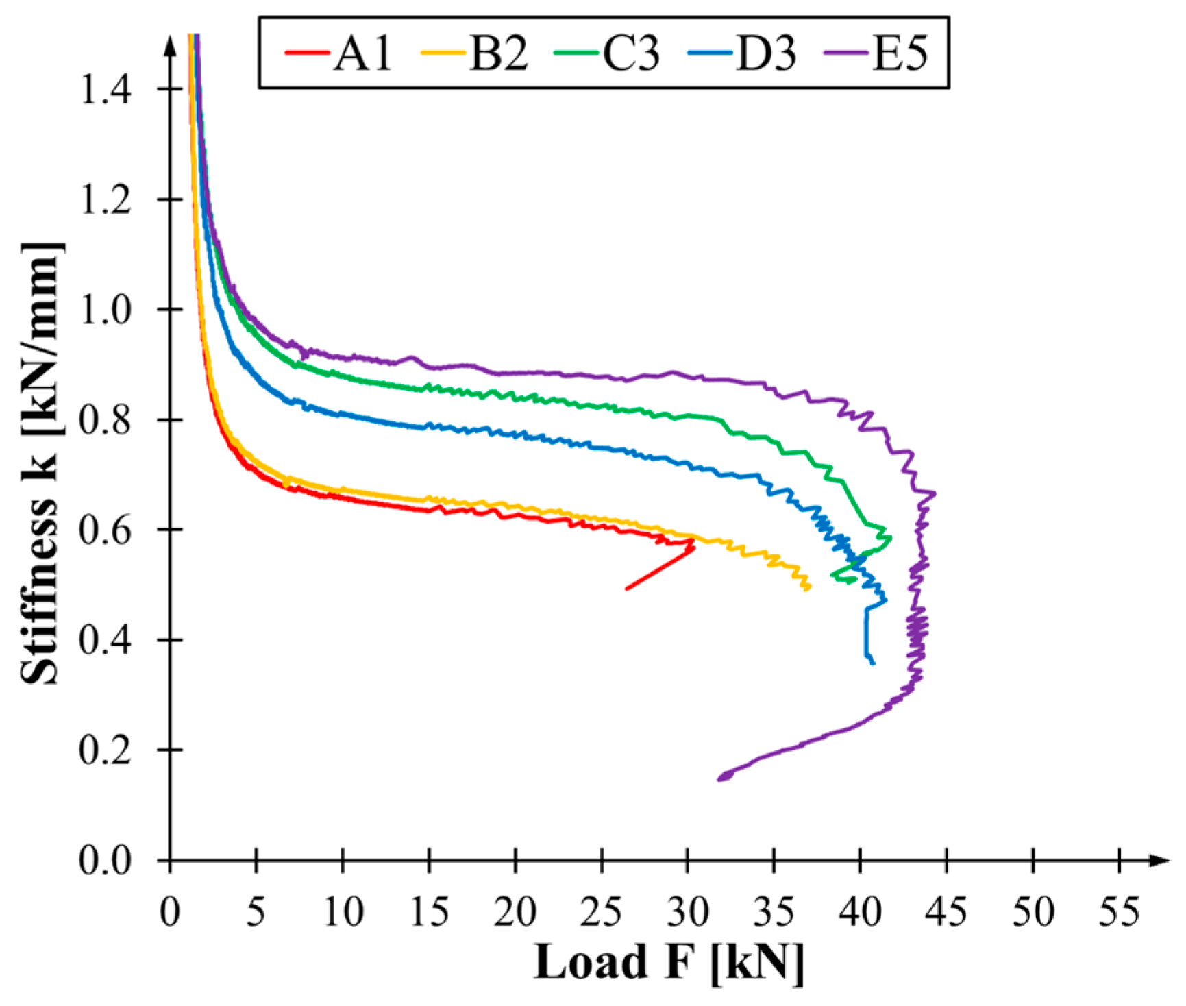
3.2. Bending Stiffness
3.3. Ductility
3.4. Failure Mode
3.5. Numerical Analysis
3.6. Economic Consideration
4. Conclusions
Funding
Institutional Review Board Statement
Informed Consent Statement
Data Availability Statement
Acknowledgments
Conflicts of Interest
References
- Rudziński, L. Konstrukcje Drewniane. Naprawy, Wzmocnienia, Przykłady Obliczeń; Wydawnictwo Politechniki Świętokrzyskiej: Kielce, Poland, 2010. [Google Scholar]
- Kamperidou, V.; Vasileiou, V. Strength Properties of the Most Frequent Corner and Middle Joints of Upholstered Furniture Frames Constructed with Beech and Poplar Solid Wood; First Serbian Forestry Congress, Belgrade University, Faculty of Forestry: Belgrade, Serbia, 2010. [Google Scholar]
- Masłowski, E.; Spiżewska, D. Wzmacnianie Konstrukcji Budowlanych; Wydawnictwo Arkady: Warszawa, Poland, 2000. [Google Scholar]
- Jasieńko, J. Połączenia Klejowe i Inżynierskie w Naprawie Konserwacji i Wzmacnianiu Zabytkowych Konstrukcji Drewnianych; DWE Dolnośląskie Wydawnictwo Edukacyjne: Wrocław, Poland, 2003. [Google Scholar]
- Turesson, J.; Dosmaev, D.; Ekevad, M. Strengthening of Cross-Laminated Timber by adding aluminium plates. In Proceedings of the CompWood 2019—Computational Methods in Wood Mechanics—From Material Properties to Timber Structures, Växjö, Sweden, 17–19 June 2019. [Google Scholar]
- Kılınçarslan, Ş.; Türker, Ş.T.; Davraz, M. Effect of reinforcement with aramid fiber reinforced polymer on the flexural properties of wood material. In Proceedings of the Conference: 3rd International Turkish World Engineering and Science Congress, online, 22–24 October 2021. [Google Scholar]
- Kramár, S.; Král, P. Reinforcing effect of a thin basalt fiber-reinforced polymer plywood coating. Bioresources 2018, 14, 2062–2078. [Google Scholar]
- Karaman, A. Bending moment resistance of t-type joints reinforced with basalt and glass woven fabric materials. Maderas Cienc. Tecnol. 2021, 23, 1–12. [Google Scholar] [CrossRef]
- de la Rosa, P.; González, M.d.l.N.; Prieto, M.I.; Gómez, E. Compressive Behavior of Pieces of Wood Reinforced with Fabrics Composed of Carbon Fiber and Basalt Fiber. Appl. Sci. 2021, 11, 2460. [Google Scholar] [CrossRef]
- Raftery, G.M.; Kelly, F. Basalt FRP rods for reinforcement and repair of timber. Compos. Part B Eng. 2015, 70, 9–19. [Google Scholar] [CrossRef]
- Jiang, Y.F.; Liu, H.W.; Jia, T.F. Improving Mechanical Properties of Wood Composites Using Basalt Glass Powder and Basalt Fiber. Adv. Mater. Res. 2014, 1048, 400–403. [Google Scholar] [CrossRef]
- Borri, A.; Corradi, M. Strengthening of timber beams with high strength steel cords. Compos. Part B Eng. 2011, 42, 1480–1491. [Google Scholar] [CrossRef]
- Sokołowski, P.K.; Kossakowski, P.G. Static Analysis of Wooden Beams Strengthened with FRCM-PBO Composite in Bending. Materials 2023, 16, 1870. [Google Scholar] [CrossRef]
- Nowak, T.P.; Jasieńko, J.; Czepiżak, D. Experimental tests and numerical analysis of historic bent timber elements reinforced with CFRP strips. Constr. Build. Mater. 2013, 40, 197–206. [Google Scholar] [CrossRef]
- Jasieńko, J.; Nowak, T.P. Solid timber beams strengthened with steel plates—Experimental studies. Constr. Build. Mater. 2014, 63, 81–88. [Google Scholar] [CrossRef]
- Balmori, J.-A.; Basterra, L.-A.; Acuña, L. Internal GFRP Reinforcement of Low-Grade Maritime Pine Duo Timber Beams. Materials 2020, 13, 571. [Google Scholar] [CrossRef]
- De Jesus, A.M.P.; Pinto, J.M.T.; Morais, J.J.L. Analysis of solid wood beams strengthened with CFRP laminates of distinct lengths. Constr. Build. Mater. 2012, 35, 817–828. [Google Scholar] [CrossRef]
- Yang, Y.-L.; Liu, J.-W.; Xiong, G.-J. Flexural behavior of wood beams strengthened with HFRP. Constr. Build. Mater. 2013, 43, 118–124. [Google Scholar] [CrossRef]
- Wang, B.; Bachtiar, E.V.; Yan, L.; Kasal, B.; Fiore, V. Flax, Basalt, E-Glass FRP and Their Hybrid FRP Strengthened Wood Beams: An Experimental Study. Polymers 2019, 11, 1255. [Google Scholar] [CrossRef] [PubMed]
- Huang, S.; Yan, L.; Kasal, B. Flexural behaviour of wood beams strengthened by flax-glass hybrid FRP subjected to hygrothermal and weathering exposures. Constr. Build. Mater. 2023, 365, 130076. [Google Scholar] [CrossRef]
- Abdallah, A.E.; Chen, S.; El-Salakawy, E.F. Developing a Sprayed-Glass Fiber-Reinforced Polymer Retrofitting System for Decommissioned Wooden Utility Poles. CivilEng 2023, 4, 1243–1262. [Google Scholar] [CrossRef]
- Lee, M.-G.; Huang, Y.; Kan, Y.-C.; Wang, Y.-C.; Chen, Y.-S.; Kao, S.-C. Experimental study on durability of CFRP-strengthened wood members. J. Mater. Res. Technol. 2023, 24, 3704–3716. [Google Scholar] [CrossRef]
- Taheri, F.; Nagaraj, M.; Khosravi, P. Buckling response of glue-laminated columns reinforced with fiber-reinforced plastic sheets. Compos. Struct. 2009, 88, 481–490. [Google Scholar] [CrossRef]
- Brol, J.; Nowak, T. Strengthening wooden construction elements with CFRP carbon fibre tapes and matting—Conclusion from research. Ann. WULS-SGGW For. Wood Technol. 2014, 88, 38–41. [Google Scholar]
- Available online: https://www.horseen.com/solution/wooden-structure-reinforced-with-carbon-fiber-reinforced-polymer (accessed on 3 October 2024).
- Available online: https://www.structuralrs.com/post/wood-pile-carbon-fiber-reinforcement (accessed on 3 October 2024).
- Bakalarz, M. Load bearing capacity of laminated veneer lumber beams strengthened with CFRP strips. Arch. Civ. Eng. 2021, 67, 139–155. [Google Scholar]
- Bakalarz, M.M.; Kossakowski, P.G.; Tworzewski, P. Strengthening of Bent LVL Beams with Near-Surface Mounted (NSM) FRP Reinforcement. Materials 2020, 13, 2350. [Google Scholar] [CrossRef]
- Bakalarz, M.M.; Kossakowski, P.G. Strengthening of Full-Scale Laminated Veneer Lumber Beams with CFRP Sheets. Materials 2022, 15, 6526. [Google Scholar] [CrossRef] [PubMed]
- Tworzewski, P.; Alexy, J.K.; Barnes, R.W. Intermediate Crack Debonding of Externally Bonded FRP Reinforcement—Comparison of Methods. Materials 2022, 15, 7390. [Google Scholar] [CrossRef] [PubMed]
- Ke, L.; Li, Y.; Li, C.; Cheng, Z.; Ma, K.; Zeng, J. Bond behavior of CFRP-strengthened steel structures and its environmental influence factors: A critical review. Sustain. Struct. 2024, 4, 00038. [Google Scholar] [CrossRef]
- Xian, G.; Guo, R.; Li, C.; Wang, Y. Mechanical performance evolution and life prediction of prestressed CFRP plate exposed to hygrothermal and freeze-thaw environments. Compos. Struct. 2022, 293, 115719. [Google Scholar] [CrossRef]
- Available online: https://www.scanwood.com.pl/ (accessed on 4 April 2024).
- Bodig, J.; Goodman, J. Prediction of elastic parameters for wood. Wood Sci. 1973, 5, 249–264. [Google Scholar]
- Available online: http://www.tanel.com.pl/wilgotnosciomierz.php?kod_produktu=wrd100 (accessed on 4 April 2024).
- PN-EN 408+A1:2012; Timber Structures. Structural Timber and Glued Laminated Timber. Determination of Some Physical and Mechanical Properties. PKN: Warszawa, Poland, 2012.
- PN-EN 338:2016-06; Drewno Konstrukcyjne. Klasy Wytrzymałości. PKN: Warszawa, Poland, 2016.
- Available online: https://www.sp-reinforcement.pl/pl-PL (accessed on 4 April 2024).
- S&P C-Sheet 240—Technical Information. Available online: https://www.sp-reinforcement.pl/sites/default/files/field_product_col_doc_file/c-sheet_240_polska_ver20190627.pdf (accessed on 4 April 2024).
- S&P Resin 55 HP–Technical Information. Available online: https://www.sp-reinforcement.pl/sites/default/files/field_product_col_doc_file/resin55_hp_polska_ver20190523.pdf (accessed on 4 April 2024).
- Available online: https://www.instron.com/pl-pl/ (accessed on 2 October 2024).
- Available online: https://www.hbkworld.com/en (accessed on 2 October 2024).
- Nadir, Y.; Nagarajan, P.; Ameen, M.; Arif, M.M. Flexural stiffness and strength enhancement of horizontally glued laminated wood beams with GFRP and CFRP composite sheets. Constr. Build. Mater. 2016, 112, 547–555. [Google Scholar] [CrossRef]
- Liu, Q.; Ma, S.; Han, X. Study on the flexural behavior of poplar beams externally strengthened by BFRP strips. J. Wood Sci. 2020, 66, 40. [Google Scholar] [CrossRef]
- Gómez, E.P.; González, M.N.; Hosokawa, K.; Cobo, A. Experimental study of the flexural behavior of timber beams reinforced with different kinds of FRP and metallic fiber. Compos. Struct. 2019, 213, 308–316. [Google Scholar] [CrossRef]
- Zhang, C.; Chun, Q.; Wang, H.; Lin, Y.; Shi, J. Experimental study on the flexural behaviour of timber beams strengthened with high ductility and low cost hybrid fibre sheets. Constr. Build. Mater. 2022, 322, 126514. [Google Scholar] [CrossRef]
- Ahmad, Y. Bending Behaviour of Timber Beams Strengthened Using Fiber Reinforced Polymer Bars and Plates. Ph.D. Thesis, Universiti Teknologi Malaysia, Skudai, Malaysia, 2010. [Google Scholar]
- Andor, K.; Lengyel, A.; Polgár, R.; Fodor, T.; Karácsonyi, Z. Experimental and statistical analysis of spruce timber beams reinforced with CFRP fabric. Constr. Build. Mater. 2015, 99, 200–207. [Google Scholar] [CrossRef]
- Thorhallsson, E.R.; Hinriksson, G.I.; Snæbjörnsson, J.T. Strength and stiffness of glulam beams reinforced with glass and basalt fibres. Compos. Part B Eng. 2017, 115, 300–307. [Google Scholar] [CrossRef]
- Subhani, M.; Globa, A.; Al-Ameri, R.; Moloney, J. Flexural strengthening of LVL beam using CFRP. Constr. Build. Mater. 2017, 150, 480–489. [Google Scholar] [CrossRef]
- Khelifa, M.; Celzard, A.; Oudjene, M.; Ruelle, J. Experimental and numerical analysis of CFRP-strengthened finger-jointed timber beams. Int. J. Adhes. Adehsives 2016, 68, 283–297. [Google Scholar] [CrossRef]
- Bakalarz, M.M.; Kossakowski, P.G. Strengthening of Laminated Veneer Lumber Slabs with Fiber-Reinforced Polymer Sheets—Preliminary Study. Fibers 2024, 12, 22. [Google Scholar] [CrossRef]
- Bakalarz, M.M.; Kossakowski, P.G. Numerical, Theoretical, and Experimental Analysis of LVL-CFRP Sandwich Structure. Materials 2024, 17, 61. [Google Scholar] [CrossRef]
- Glišović, I.; Pavlović, M.; Stevanović, B.; Todorović, M. Numerical analysis of glulam beams reinforced with CFRP plates. J. Civ. Eng. Manag. 2017, 23, 868–879. [Google Scholar] [CrossRef]
- Szczecina, M. Study of Complexity of Numerical Models of a Strengthened Timber Beam. Materials 2023, 16, 3466. [Google Scholar] [CrossRef]
- Michałowska-Maziejuk, D.; Goszczyńska, B. Effectiveness of Strengthening RC Beams Using Composite Materials—An Accelerated Strengthening Method. Materials 2023, 16, 4847. [Google Scholar] [CrossRef]













| Series | A (x ± s 1) | B (x ± s 1) | C (x ± s 1) | D (x ± s 1) | E (x ± s 1) |
|---|---|---|---|---|---|
| Density (kg/m3) | 479.5 ± 23.5 | 479.3 ± 40.0 | 478.7 ± 33.3 | 479.0 ± 35.4 | 479.2 ± 49.2 |
| Moisture content w (%) | 13.7 ± 0.58 | 14.0 ± 0.36 | 14.1 ± 0.17 | 14.8 ± 0.47 | 13.5 ± 0.51 |
| Series | Value |
|---|---|
| Modulus of elasticity Ef (GPa) | 265 |
| Tensile strength ft,f (MPa) | 5100 |
| Density ρf (kg/m3) | 1800 |
| Elongation at rupture εf (%) | 1.7–1.9 |
| Design thickness tf (mm) | 0.333—one layer; 0.666—two layers |
| Series | Value |
|---|---|
| Bending strength fm (MPa) | 85.3 1 |
| Modulus of elasticity Ek (Mpa) | 3200 |
| Density ρk (kg/m3) | 1200–1300 (1150 1) |
| Compressive strength fc,k (Mpa) | 100 |
| Parameter | Beam | Mean Value (Std. Dev.) | ||||
|---|---|---|---|---|---|---|
| A1 | A2 | A3 | A4 | A5 | ||
| Fmax (kN) | 30.35 | 39.31 | 34.79 | 21.53 | 33.08 | 31.81 (5.91) |
| umax (mm) | 53.41 | 67.55 | 88.33 | 40.27 | 45.52 | 59.02 (17.30) |
| Failure mode | Tension | Tension | Tension | Tension | Tension | |
| Parameter | Beam | Mean Value (Std. Dev.) | ||||
|---|---|---|---|---|---|---|
| B1 | B2 | B3 | B4 | B5 | ||
| Fmax (kN) | 32.45 | 37.06 | 40.72 | 41.80 | 24.95 | 35.40 (6.16) |
| umax (mm) | 71.96 | 74.32 | 80.20 | 62.47 | 57.28 | 69.25 (8.27) |
| Failure mode | Tension + FRP rupture | Tension + FRP rupture | Tension + FRP rupture | Tension + FRP rupture | Tension + FRP rupture | |
| Parameter | Beam | Mean Value (Std. Dev.) | ||||
|---|---|---|---|---|---|---|
| C1 | C2 | C3 | C4 | C5 | ||
| Fmax (kN) | 41.70 | 38.48 | 41.72 | 42.68 | 43.29 | 41.57 (1.66) |
| umax (mm) | 140.40 | 61.02 | 71.14 | 74.93 | 103.30 | 90.16 (28.77) |
| Failure mode | Tension + FRP rupture | Tension + FRP debonding | Tension + FRP rupture | Tension + FRP rupture | Tension + FRP rupture | |
| Parameter | Beam | Mean Value (Std. Dev.) | ||||
|---|---|---|---|---|---|---|
| D1 | D2 | D3 | D4 | D5 | ||
| Fmax (kN) | 37.57 | 34.86 | 41.46 | 32.01 | 45.63 | 38.31 (4.81) |
| umax (mm) | 74.46 | 65.02 | 87.63 | 65.49 | 92.85 | 77.09 (11.37) |
| Failure mode | Tension + Compression + FRP rupture | Tension + Compression + FRP rupture | Tension + Compression + FRP rupture | Tension + FRP rupture | Tension + Compression + FRP rupture | |
| Parameter | Beam | Mean Value (Std. Dev.) | ||||
|---|---|---|---|---|---|---|
| E1 | E2 | E3 | E4 | E5 | ||
| Fmax (kN) | 54.13 | 39.28 | 50.24 | 43.97 | 44.29 | 46.38 (5.21) |
| umax (mm) | 90.37 | 81.67 | 78.49 | 118.70 | 66.56 | 87.16 (17.52) |
| Failure mode | Tension + Compression + FRP rupture | Compression + FRP buckling | Tension + Compression + FRP rupture/buckling/debonding | Tension + Compression + FRP rupture/buckling | Compression + FRP buckling | |
| Parameter | Series | ||||
|---|---|---|---|---|---|
| A | B | C | D | E | |
| Wel (J) | 210.03 ± 109.24 | 430.58 ± 154.52 | 459.75 ± 49.88 | 407.23 ± 79.60 | 540.31 ± 88.11 |
| Wtot (J) | 1143.42 ± 547.67 | 1485.47 ± 429.38 | 2937.38 ± 1141.32 | 1850.97 ± 1204.61 | 5673.35 ± 1154.84 |
| µE (-) | 2.49 ± 0.27 | 2.31 ± 0.39 | 3.60 ± 0.91 | 2.71 ± 1.12 | 5.94 ± 1.50 |
Disclaimer/Publisher’s Note: The statements, opinions and data contained in all publications are solely those of the individual author(s) and contributor(s) and not of MDPI and/or the editor(s). MDPI and/or the editor(s) disclaim responsibility for any injury to people or property resulting from any ideas, methods, instructions or products referred to in the content. |
© 2024 by the author. Licensee MDPI, Basel, Switzerland. This article is an open access article distributed under the terms and conditions of the Creative Commons Attribution (CC BY) license (https://creativecommons.org/licenses/by/4.0/).
Share and Cite
Bakalarz, M.M. Mechanical Properties of Full-Scale Wooden Beams Strengthened with Carbon-Fibre-Reinforced Polymer Sheets. Materials 2024, 17, 4917. https://doi.org/10.3390/ma17194917
Bakalarz MM. Mechanical Properties of Full-Scale Wooden Beams Strengthened with Carbon-Fibre-Reinforced Polymer Sheets. Materials. 2024; 17(19):4917. https://doi.org/10.3390/ma17194917
Chicago/Turabian StyleBakalarz, Michał Marcin. 2024. "Mechanical Properties of Full-Scale Wooden Beams Strengthened with Carbon-Fibre-Reinforced Polymer Sheets" Materials 17, no. 19: 4917. https://doi.org/10.3390/ma17194917
APA StyleBakalarz, M. M. (2024). Mechanical Properties of Full-Scale Wooden Beams Strengthened with Carbon-Fibre-Reinforced Polymer Sheets. Materials, 17(19), 4917. https://doi.org/10.3390/ma17194917

