Automatic Image Analysis Method as a Tool to Evaluate the Anisotropy of Autoclaved Aerated Concrete for Moisture and Heat Transport
Abstract
1. Introduction
2. Materials and Methods
2.1. Moisture Migration Test Setup
2.2. Thermal Conductivity Test Setup
2.3. Image Analysis
- Angle—(0–180 degrees) constitutes the angle between the major axis and a line parallel to the horizontal axis of the image.
- Major—the primary axis of the best-fitting ellipse
- Minor—the secondary axis of the best-fitting ellipse.
- Area—the selected area in square pixels.
- Perimeter—the length of the external border of the selection.
- Circ.—the shape factor, 1.0, denotes that the object is a circle, while 0.0 is an elongated shape; it is expressed using the equation below:
- AR—the ratio of the axis length of the ellipse fitted to the shape of the selection.
- Round—roundness, expressed using the following equation:where denotes the major axis of the ellipse fitted to the selection.
- Feret’s diameter—the largest distance between two points along the border of the selection.
- Feret’s angle—(0–180 degrees) the angle between Feret’s diameter and the line, which is parallel to the horizontal axis of the image.
- MinFeret—the smallest distance between two points along the boundary of the selection.
- Solidity—the ratio of the selected area to the convex hull.
3. Results
3.1. Results on Moisture Migration Experiment
3.2. Results on Thermal Conductivity Coefficient Evaluation
3.3. Result of Image Processing
4. Discussion
5. Conclusions
Author Contributions
Funding
Institutional Review Board Statement
Informed Consent Statement
Data Availability Statement
Conflicts of Interest
References
- Christopher, S.; Vikram, M.P.; Bakli, C.; Thakur, A.K.; Ma, Y.; Ma, Z.; Xu, H.; Cuce, P.M.; Cuce, E.; Singh, P. Renewable Energy Potential towards Attainment of Net-Zero Energy Buildings Status—A Critical Review. J. Clean. Prod. 2023, 405, 136942. [Google Scholar] [CrossRef]
- Pham, A.D.; Ngo, N.T.; Ha Truong, T.T.; Huynh, N.T.; Truong, N.S. Predicting Energy Consumption in Multiple Buildings Using Machine Learning for Improving Energy Efficiency and Sustainability. J. Clean. Prod. 2020, 260, 121082. [Google Scholar] [CrossRef]
- Kamal, M.A. Analysis of Autoclaved Aerated Concrete (AAC) Blocks with Reference to Its Potential and Sustainability. J. Build. Mater. Struct. 2020, 7, 76–86. [Google Scholar] [CrossRef]
- Rafiza, A.R.; Fazlizan, A.; Thongtha, A.; Asim, N.; Noorashikin, M.S. The Physical and Mechanical Properties of Autoclaved Aerated Concrete (AAC) with Recycled AAC as a Partial Replacement for Sand. Buildings 2022, 12, 60. [Google Scholar] [CrossRef]
- Narayanan, N.; Ramamurthy, K. Microstructural Investigations on Aerated Concrete. Cem. Concr. Res. 2000, 30, 457–464. [Google Scholar] [CrossRef]
- Wang, Y.; Xi, Y. The Effect of Temperature on Moisture Transport in Concrete. Materials 2017, 10, 926. [Google Scholar] [CrossRef]
- Jerman, M.; Černý, R. Effect of Moisture Content on Heat and Moisture Transport and Storage Properties of Thermal Insulation Materials. Energy Build. 2012, 53, 39–46. [Google Scholar] [CrossRef]
- Min, H.; Zhang, W.; Gu, X.; Černý, R. Coupled Heat and Moisture Transport in Damaged Concrete under an Atmospheric Environment. Constr. Build. Mater. 2017, 143, 607–620. [Google Scholar] [CrossRef]
- Baroghel-Bouny, V.; Thiéry, M.; Wang, X. Modelling of Isothermal Coupled Moisture-Ion Transport in Cementitious Materials. Cem. Concr. Res. 2011, 41, 828–841. [Google Scholar] [CrossRef]
- Zhang, Q.; Kang, Z.; Ling, Y.; Chen, H.; Li, K. Influence of Temperature on the Moisture Transport in Concrete. Crystals 2021, 11, 8. [Google Scholar] [CrossRef]
- Kalpana, M.; Mohith, S. Study on Autoclaved Aerated Concrete: Review. Mater. Today Proc. 2020, 22, 894–896. [Google Scholar] [CrossRef]
- Cabrillac, R.; Fiorio, B.; Beaucour, A.L.; Dumontet, H.; Ortola, S. Experimental Study of the Mechanical Anisotropy of Aerated Concretes and of the Adjustment Parameters of the Introduced Porosity. Constr. Build. Mater. 2006, 20, 286–295. [Google Scholar] [CrossRef]
- Qu, X.; Zhao, X. Previous and Present Investigations on the Components, Microstructure and Main Properties of Autoclaved Aerated Concrete—A Review. Constr. Build. Mater. 2017, 135, 505–516. [Google Scholar] [CrossRef]
- Wägner, F.; Schober, G.; Mörtel, H. Measurement of the Gas Permeability of Autoclaved Aerated Concrete in Conjunction with Its Physical Properties. Cem. Concr. Res. 1995, 25, 1621–1626. [Google Scholar] [CrossRef]
- Rajala, T.; Redenbach, C.; Särkkä, A.; Sormani, M. A Review on Anisotropy Analysis of Spatial Point Patterns. Spat. Stat. 2018, 28, 141–168. [Google Scholar] [CrossRef]
- Mauer, L.J. Moisture and Total Solids Analysis. In Nielsen’s Food Analysis; Food Science Text Series (FSTS); Springer: Cham, Switzerland, 2024; pp. 233–260. [Google Scholar] [CrossRef]
- Majcher, J. Use of TDR Technique to Measure Grain Moisture Content. Metrol. Meas. Syst. 2024, 31, 150288. [Google Scholar]
- Chung, C.-C.; Lin, C.-P. Apparent Dielectric Constant and Effective Frequency of TDR Measurements: Influencing Factors and Comparison. Vadose Zone J. 2009, 8, 548–556. [Google Scholar] [CrossRef]
- Suchorab, Z.; Widomski, M.K.; Łagód, G.; Barnat-Hunek, D.; Majerek, D. A Noninvasive TDR Sensor to Measure the Moisture Content of Rigid Porous Materials. Sensors 2018, 18, 3935. [Google Scholar] [CrossRef]
- Futa, A.; Jastrzębska, M.; Paśnikowska-łukaszuk, M.; Wośko, E.; Suchorab, Z. Improving the Calibration of Surface TDR Sensors for Moisture Evaluation of Building Materials Using the ANCOVA Method. Adv. Sci. Technol. Res. J. 2023, 17, 326–336. [Google Scholar] [CrossRef]
- Skierucha, W.; Wilczek, A.; Alokhina, O. Calibration of a TDR Probe for Low Soil Water Content Measurements. Sens. Actuators A Phys. 2008, 147, 544–552. [Google Scholar] [CrossRef]
- He, H.; Aogu, K.; Li, M.; Xu, J.; Sheng, W.; Jones, S.B.; González-Teruel, J.D.; Robinson, D.A.; Horton, R.; Bristow, K.; et al. A Review of Time Domain Reflectometry (TDR) Applications in Porous Media. Adv. Agron. 2021, 168, 83–155. [Google Scholar] [CrossRef]
- Oliveira, J.G.D.; Junior, J.G.D.; Pinto, E.N.M.G.; Neto, V.P.S.; D’Assunção, A.G. A New Planar Microwave Sensor for Building Materials Complex Permittivity Characterization. Sensors 2020, 20, 6328. [Google Scholar] [CrossRef]
- Suchorab, Z.; Tabiś, K.; Brzyski, P.; Szczepaniak, Z.; Rogala, T.; Susek, W.; Łagód, G. Comparison of the Moist Material Relative Permittivity Readouts Using the Non-Invasive Reflectometric Sensors and Microwave Antenna. Sensors 2022, 22, 3622. [Google Scholar] [CrossRef]
- Jones, S.B.; Wraith, J.M.; Or, D. Time Domain Reflectometry Measurement Principles and Applications. Hydrol. Process. 2002, 16, 141–153. [Google Scholar] [CrossRef]
- Wen, J.; Wan, Y.; Xu, C.; Yang, Y. A Review of New Methods for Measuring Saturation of Concrete and Its Impact on Concrete Properties. J. Build. Eng. 2024, 96, 110664. [Google Scholar] [CrossRef]
- Stingl Freitas, T.; Sofia Guimarães, A.; Roels, S.; Peixoto De Freitas, V.; Cataldo, A. Time Domain Reflectometry (TDR) Technique—A Solution to Monitor Moisture Content in Construction Materials. E3S Web Conf. 2020, 172, 17001. [Google Scholar] [CrossRef]
- Robinson, D.A.; Jones, S.B.; Wraith, J.M.; Or, D.; Friedman, S.P. A Review of Advances in Dielectric and Electrical Conductivity Measurement in Soils Using Time Domain Reflectometry. Vadose Zone J. 2003, 2, 444–475. [Google Scholar] [CrossRef]
- Martin, W.D.; Putman, B.J.; Kaye, N.B. Using Image Analysis to Measure the Porosity Distribution of a Porous Pavement. Constr. Build. Mater. 2013, 48, 210–217. [Google Scholar] [CrossRef]
- de Oliveira, J.A.T.; Cássaro, F.A.M.; Pires, L.F. Estimating Soil Porosity and Pore Size Distribution Changes Due to Wetting-Drying Cycles by Morphometric Image Analysis. Soil Tillage Res. 2021, 205, 104814. [Google Scholar] [CrossRef]
- Deshpande, S.; Kulkarni, A.; Sampath, S.; Herman, H. Application of Image Analysis for Characterization of Porosity in Thermal Spray Coatings and Correlation with Small Angle Neutron Scattering. Surf. Coat. Technol. 2004, 187, 6–16. [Google Scholar] [CrossRef]
- Rosiak, M. Zastosowanie Analizy Obrazu Metalograficznego Do Oceny Porowatości w Spiekach. Mechanik 2016, 89, 1736–1737. [Google Scholar] [CrossRef]
- Kozłowska, A.; Kuberska, M. Zastosowanie Metody Komputerowego Przetwarzania i Analizy Obrazu w Mikroskopowej Analizie Skał. Prz. Geol. 2006, 54, 671–673. [Google Scholar]
- Labus, M. Zastosowanie Metody Komputerowego Przetwarzania i Analizy Obrazów Do Oznaczania Porowatości Skał Okruchowych; Silesian University of Technology: Gilwice, Poland, 2000. [Google Scholar]
- Giergiczny, Z.; Glinicki, M.A.; Sokołowski, M.; Zieliński, M. Charakterystyka Porów Powietrznych a Mrozoodporność Betonów Na Cementach Żużlowych; Polish Academy of Sciences: Warsaw, Poland, 2008; pp. 1–8. [Google Scholar]
- Babińska, J. Badania Porowatości W Ocenie Mrozoodporności Betonów Napowietrzanych. Pr. Inst. Tech. Bud. 2011, 40, 3–16. [Google Scholar]
- Ozturk, A.U.; Baradan, B. A Comparison Study of Porosity and Compressive Strength Mathematical Models with Image Analysis. Comput. Mater. Sci. 2008, 43, 974–979. [Google Scholar] [CrossRef]
- Leśniak, G. Zastosowanie Komputerowej Analizy Obrazu w Badaniach Petrofizycznych. Prz. Geol. 1999, 47, 644–651. [Google Scholar]
- EN 1925:1999; Natural Stone Test Methods—Determination of Water Absorption Coefficient by Capillarity. CEN: Bruxelles, Belgium, 2024.
- Schindelin, J.; Arganda-Carreras, I.; Frise, E.; Kaynig, V.; Longair, M.; Pietzsch, T.; Preibisch, S.; Rueden, C.; Saalfeld, S.; Schmid, B.; et al. Fiji: An Open-Source Platform for Biological-Image Analysis. Nat. Methods 2012, 9, 676–682. [Google Scholar] [CrossRef]
- Majerek, D.; Wośko, E.; Pasnikowska-ŁUkaszuk, M.; Łazuka, E.; Suchorab, Z.; Łagód, G. Application of Automatic Image Analysis to Evaluate the Anisotropy of Autoclaved Aerated Concrete for Moisture Transport. J. Phys. Conf. Ser. 2023, 2628, 012019. [Google Scholar] [CrossRef]
- Haddad, R.A.; Akansu, A.N. A Class of Fast Gaussian Binomial Filters for Speech and Image Processing. IEEE Trans. Signal Process. 1991, 39, 723–727. [Google Scholar] [CrossRef]
- Lindeberg, T. Discrete Approximations of Gaussian Smoothing and Gaussian Derivatives. J. Math. Imaging Vis. 2024, 66, 759–800. [Google Scholar] [CrossRef]
- Sankur, B. Survey over Image Thresholding Techniques and Quantitative Performance Evaluation. J. Electron. Imaging 2004, 13, 146. [Google Scholar] [CrossRef]
- Huang, L.K.; Wang, M.J.J. Image Thresholding by Minimizing the Measures of Fuzziness. Pattern Recognit. 1995, 28, 41–51. [Google Scholar] [CrossRef]
- Otsu, N. A Threshold Selection Method from Gray-Level Histograms. IEEE Trans. Syst. Man Cybern. 1996, 9, 62–66. [Google Scholar] [CrossRef]
- Li, C.H.; Lee, C.K. Minimum Cross Entropy Thresholding. Pattern Recognit. 1993, 26, 617–625. [Google Scholar] [CrossRef]
- Couprie, M.; Bertrand, G. Topological Grayscale Watershed Transformation. Ref. SPIE Vis. Geom. VI Proc. 1997, 3168, 136–146. [Google Scholar]
- Rosenblatt, M. Remarks on Some Nonparametric Estimates of a Density Function. Ann. Math. Stat. 1956, 27, 832–837. [Google Scholar] [CrossRef]
- Parzen, E. On Estimation of a Probability Density Function and Mode. Ann. Math. Stat. 1962, 33, 1065–1076. [Google Scholar] [CrossRef]
- Newnham, R.E. Properties of Materials: Anisotropy, Symmetry, Structure; OUP Oxford: Oxford, UK, 2005; ISBN 9780198520757. [Google Scholar]
- Malicki, M.A.; Plagge, R.; Roth, C.H. Improving the Calibration of Dielectric TDR Soil Moisture Determination Taking into Account the Solid Soil. Eur. J. Soil Sci. 1996, 47, 357–366. [Google Scholar] [CrossRef]
- Neuhäuser, M. Wilcoxon–Mann–Whitney Test. In International Encyclopedia of Statistical Science; Springer: Berlin/Heidelberg, Germany, 2011; pp. 1656–1658. [Google Scholar] [CrossRef]
- FOX 314—Insulation & Building Material Instruments. Available online: https://www.tainstruments.com/fox-series-314/ (accessed on 20 August 2024).
- Zhao, J.; Feng, S.; Kou, Z.; Meissner, F.; Ruisinger, U.; Grunewald, J. Characterization of Hygrothermal Properties of Two Wood Species- the Impact of Anisotropy on Their Thermal and Moisture Behaviors. Constr. Build. Mater. 2023, 398, 132375. [Google Scholar] [CrossRef]
- Zhao, J.; Plagge, R. Characterization of hygrothermal properties of sandstones—Impact of anisotropy on their thermal and 363 moisture behaviors. Energy Build. 2015, 107, 479–494. [Google Scholar] [CrossRef]











| Sample Symbol | Dry Sample Mass [g] | Material Density [kg/m3] |
|---|---|---|
| H1 | 797.4 | 443.5 |
| H2 | 793.1 | 442.3 |
| V1 | 803.3 | 445.7 |
| V2 | 823.5 | 447.4 |
| Sample | Moist Sample Mass [g] | Moisture Increase [g] | Average Moisture Increase [g] |
|---|---|---|---|
| V1 | 1091.7 | 294.3 | 305.9 |
| V2 | 1110.6 | 317.5 | |
| H1 | 1313.7 | 510.4 | 505.8 |
| H2 | 1324.7 | 501.2 |
| Sample | Thermal Conductivity Coefficient [W/mK] | Average Thermal Conductivity Coefficient [W/mK] |
|---|---|---|
| V1 | 0.1132 | 0.1143 |
| V2 | 0.1138 | |
| V3 | 0.1147 | |
| V4 | 0.1156 | |
| H1 | 0.1179 | 0.1165 |
| H2 | 0.1163 | |
| H3 | 0.1146 | |
| H4 | 0.1171 |
| Along | Perpendicular | |
|---|---|---|
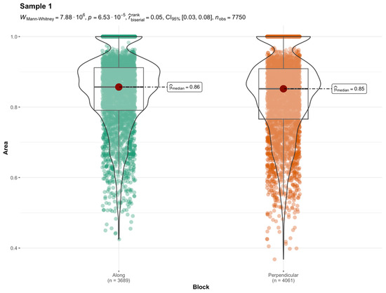
| Sample 1 | 3689 | 4061 |
| Sample 2 | 3579 | 3406 |
| Sample 3 | 3804 | 3539 |
| Sample 4 | 3614 | 3152 |
| Sample 1 | Sample 2 | Sample 3 | Sample 4 | |
|---|---|---|---|---|
| Area | 0.00008 | 0.00153 | 0.00000 | 0.00118 |
| Perim. | 0.00385 | 0.05584 | 0.00000 | 0.00649 |
| Major | 0.00017 | 0.00604 | 0.00000 | 0.00435 |
| Minor | 0.00002 | 0.00023 | 0.00000 | 0.00019 |
| Angle | 0.00000 | 0.84476 | 0.25822 | 0.29619 |
| Circ. | 0.05254 | 0.00006 | 0.00000 | 0.95649 |
| Feret | 0.00073 | 0.02388 | 0.00000 | 0.00724 |
| FeretAngle | 0.00003 | 0.61706 | 0.04282 | 0.04874 |
| MinFeret | 0.00046 | 0.00352 | 0.00000 | 0.00058 |
| AR | 0.27288 | 0.00010 | 0.00000 | 0.05696 |
| Round | 0.27172 | 0.00010 | 0.00000 | 0.05691 |
| Solidity | 0.00006 | 0.00000 | 0.00000 | 0.00909 |
Disclaimer/Publisher’s Note: The statements, opinions and data contained in all publications are solely those of the individual author(s) and contributor(s) and not of MDPI and/or the editor(s). MDPI and/or the editor(s) disclaim responsibility for any injury to people or property resulting from any ideas, methods, instructions or products referred to in the content. |
© 2024 by the authors. Licensee MDPI, Basel, Switzerland. This article is an open access article distributed under the terms and conditions of the Creative Commons Attribution (CC BY) license (https://creativecommons.org/licenses/by/4.0/).
Share and Cite
Majerek, D.; Sędzielewska, E.; Paśnikowska-Łukaszuk, M.; Łazuka, E.; Suchorab, Z.; Łagód, G. Automatic Image Analysis Method as a Tool to Evaluate the Anisotropy of Autoclaved Aerated Concrete for Moisture and Heat Transport. Materials 2024, 17, 4903. https://doi.org/10.3390/ma17194903
Majerek D, Sędzielewska E, Paśnikowska-Łukaszuk M, Łazuka E, Suchorab Z, Łagód G. Automatic Image Analysis Method as a Tool to Evaluate the Anisotropy of Autoclaved Aerated Concrete for Moisture and Heat Transport. Materials. 2024; 17(19):4903. https://doi.org/10.3390/ma17194903
Chicago/Turabian StyleMajerek, Dariusz, Elżbieta Sędzielewska, Magdalena Paśnikowska-Łukaszuk, Ewa Łazuka, Zbigniew Suchorab, and Grzegorz Łagód. 2024. "Automatic Image Analysis Method as a Tool to Evaluate the Anisotropy of Autoclaved Aerated Concrete for Moisture and Heat Transport" Materials 17, no. 19: 4903. https://doi.org/10.3390/ma17194903
APA StyleMajerek, D., Sędzielewska, E., Paśnikowska-Łukaszuk, M., Łazuka, E., Suchorab, Z., & Łagód, G. (2024). Automatic Image Analysis Method as a Tool to Evaluate the Anisotropy of Autoclaved Aerated Concrete for Moisture and Heat Transport. Materials, 17(19), 4903. https://doi.org/10.3390/ma17194903

