Stable Single-Mode 795 nm Vertical-Cavity Surface-Emitting Laser for Quantum Sensing
Abstract
1. Introduction
2. Experimental Procedure
2.1. Crystal Growth
2.2. Device Fabrication
2.3. Theoretical Simulation
2.4. Measurements
3. Results and Discussion
3.1. Characteristic with Different Oxidation Diameter
3.2. Characteristic with 7.08 μm Oxidation Aperture
3.2.1. Power–Current–Voltage (P–I–V)
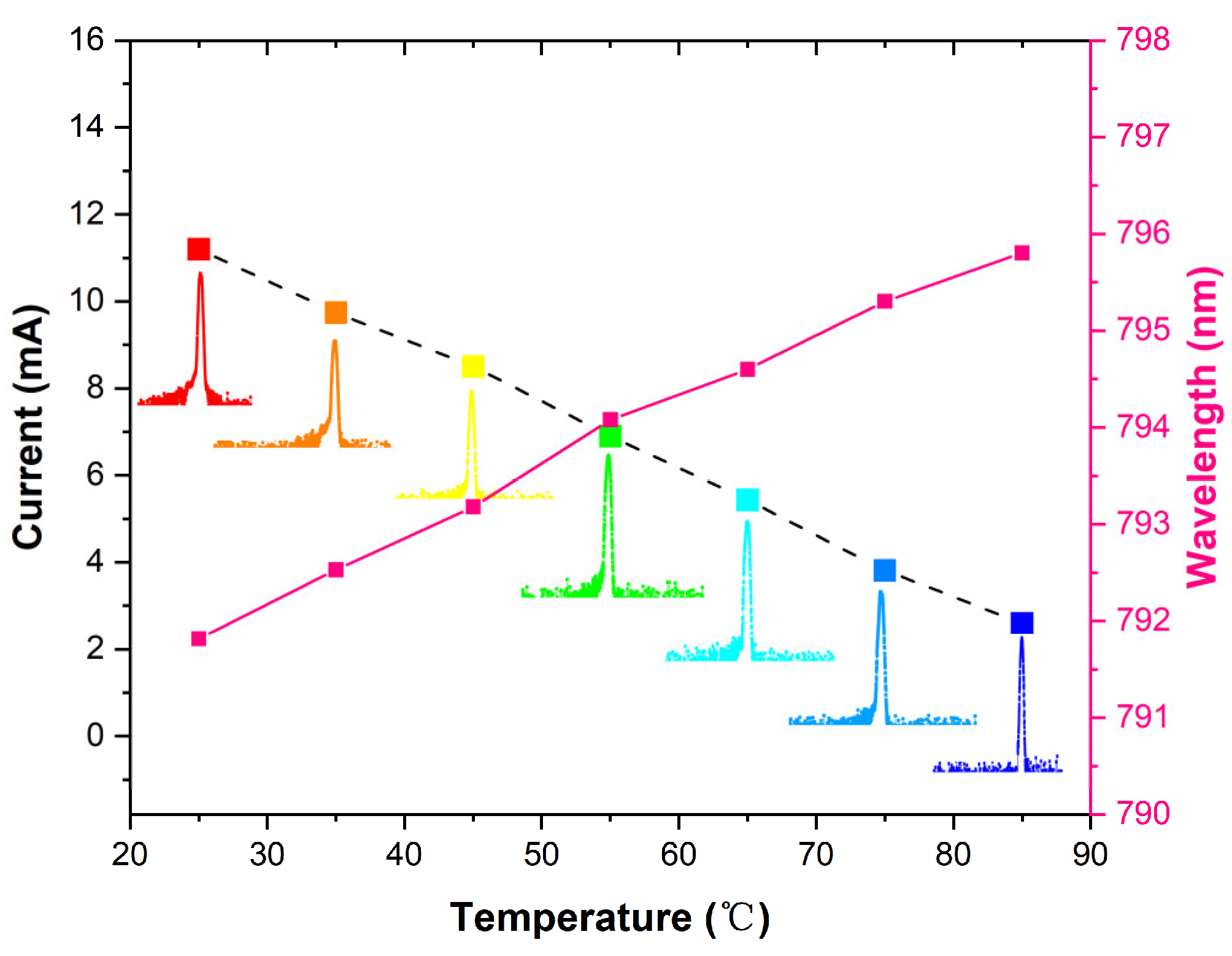
3.2.2. Optical Spectra
3.2.3. Polarization
3.2.4. Far-Field Patterns
3.2.5. Linewidth
4. Conclusions and Future Outlook
Author Contributions
Funding
Institutional Review Board Statement
Informed Consent Statement
Data Availability Statement
Conflicts of Interest
References
- Iga, K. Vertical-Cavity Surface-Emitting Laser: Its Conception and Evolution. Jpn. J. Appl. Phys. 2008, 47, 1. [Google Scholar] [CrossRef]
- Larsson, A. Advances in VCSELs for Communication and Sensing. IEEE J. Sel. Top. Quantum Electron. 2011, 17, 1552–1567. [Google Scholar] [CrossRef]
- Kasukawa, A. VCSEL Technology for Green Optical Interconnects. IEEE Photonics J. 2012, 4, 642–646. [Google Scholar] [CrossRef]
- Kitching, J. Chip-scale atomic devices. Appl. Phys. Rev. 2018, 5, 03130. [Google Scholar] [CrossRef]
- Knappe, V.G.S.; Schwindt, P.D.D.; Shah, V.; Robinson, H.G.; Hollberg, L.; Kitching, J. Atomic vapor cells for chip-scale atomic clocks with improved long-term frequency stability. Opt. Lett. 2005, 30, 2351–2353. [Google Scholar] [CrossRef]
- Zhang, J.; Zhang, X.; Zhu, H.; Zhang, J.; Ning, Y.; Qin, L.; Wang, L. High-temperature operating 894.6 nm-VCSELs with extremely low threshold for Cs-based chip scale atomic clocks. Opt. Express 2015, 23, 14763–14773. [Google Scholar] [CrossRef]
- Grabherr, R.J.M.; Michalzik, R.; Weigl, B.; Reiner, G.; Ebeling, K.J. Efficient single mode oxide confined GaAs VCSELs emitting in the 850 nm wavelength regime. IEEE Photonics Technol. Lett. 1997, 9, 1304–1306. [Google Scholar] [CrossRef]
- Czyszanowski, M.D.T.; Panajotov, K. Single mode condition and modes discrimination in photonic-crystal 1.3 μm AlInGaAs/InP VCSEL. Opt. Express 2007, 15, 5604–5609. [Google Scholar] [CrossRef]
- Baek, J.-H.; Song, D.-S.; Hwang, I.-K.; Lee, K.-H.; Lee, Y.H.; Ju, Y.-G.; Kondo, T.; Miyamoto, T.; Koyama, F. Transverse mode control by etch-depth tuning in 1120-nm GaInAs/GaAs photonic crystal vertical-cavity surface-emitting lasers. Opt. Express 2004, 12, 859–867. [Google Scholar] [CrossRef]
- Yuan, J.; Zhang, Z.; Xie, Y. Study of single-fundamental-mode square-lattice photonic crystal vertical cavity surface emitting laser. Infrared Laser Eng. 2018, 47, 606005. [Google Scholar] [CrossRef]
- Haglund, A.; Gustavsson, J.S.; Vukusic, J.; Modh, P.; Larsson, A. Single Fundamental-Mode Output Power Exceeding 6 mW From VCSELs With a Shallow Surface Relief. IEEE Photonics Technol. Lett. 2004, 16, 368–370. [Google Scholar] [CrossRef]
- Al-Samaneh, A.; Sanayeh, M.B.; Miah, M.J.; Schwarz, W.; Wahl, D.; Kern, A.; Michalzik, R. Polarization-stable vertical-cavity surface-emitting lasers with inverted grating relief for use in microscale atomic clocks. Appl. Phys. Lett. 2012, 101, 171104. [Google Scholar] [CrossRef]
- Kroner, A.; Rinaldi, F.; Ostermann, J.M.; Michalzik, R. High-performance single fundamental mode AlGaAs VCSELs with mode selective mirror reflectivities. Opt. Commun. 2007, 270, 332–335. [Google Scholar] [CrossRef]
- Gustavsson, A.H.J.S.; Vukušić, J.A.; Bengtsson, J.; Jedrasik, P.; Larsson, A. Efficient and individually controllable mechanisms for mode and polarization selection in VCSELs, based on a common, localized, sub-wavelength surface grating. Opt. Express 2005, 13, 6626–6634. [Google Scholar] [CrossRef]
- Furukawa, A.; Sasaki, S.; Hoshi, M.; Matsuzono, A.; Moritoh, K.; Baba, T. High-power single-mode vertical-cavity surface-emitting lasers with triangular holey structure. Appl. Phys. Lett. 2004, 85, 5161–5163. [Google Scholar] [CrossRef]
- Unold, H.J.; Riedl, M.C.; Michalzik, R.; Ebeling, K.J. Polarization control in VCSEL’s by elliptic surface etching. Electron. Lett. 2002, 38, 77–78. [Google Scholar] [CrossRef]
- Xiang, L.; Zhang, X.; Zhang, J.; Huang, Y.; Hofmann, W.; Ning, Y.; Wang, L. VCSEL mode and polarization control by an elliptic dielectric mode filter. Appl. Opt. 2018, 57, 8467–8471. [Google Scholar] [CrossRef] [PubMed]
- Kesler, B.; O’Brien, T.; Su, G.-L.; Dallesasse, J.M. Facilitating Single-Transverse-Mode Lasing in VCSELs via Patterned Dielectric Anti-Phase Filters. IEEE Photonics Technol. Lett. 2016, 28, 1497–1500. [Google Scholar] [CrossRef]
- Ledentsov, N.; Shchukin, V.A.; Ledentsov, N.N.; Kropp, J.R.; Burger, S.; Schmidt, F. Direct Evidence of the Leaky Emission in Oxide-Confined Vertical Cavity Lasers. IEEE J. Quantum Electron. 2016, 52, 1–7. [Google Scholar] [CrossRef]
- Shchukin, V.; Ledentsov, N.N.; Kropp, J.; Steinle, G.; Ledentsov, N.; Burger, S.; Schmidt, F. Single-Mode Vertical Cavity Surface Emitting Laser via Oxide-Aperture-Engineering of Leakage of High-Order Transverse Modes. IEEE J. Quantum Electron. 2014, 50, 990–995. [Google Scholar] [CrossRef]
- Liu, K.; Zhong, Y.-F.; Dong, X.-W.; Huang, Y.-Q.; Duan, X.-F.; Ren, X.-M.; Cai, S.-W.; Wang, Q. Single-Mode Vertical Cavity Surface Emitting Laser via High-Order Transverse Mode Expansion. J. Light. Technol. 2023, 41, 6735–6740. [Google Scholar] [CrossRef]
- Weigl, M.G.B.; Jung, C.; Jager, R.; Reiner, G.; Michalzik, R.; Sowada, D.; Ebeling, K.J. High-performance oxide-confined GaAs VCSEL’s. IEEE J. Sel. Top. Quantum Electron. 1997, 3, 409–415. [Google Scholar] [CrossRef]
- Kalosha, V.P.; Ledentsov, N.N.; Bimberg, D. Design considerations for large-aperture single-mode oxide-confined vertical-cavity surface-emitting lasers. Appl. Phys. Lett. 2012, 101, 071117. [Google Scholar] [CrossRef]
- Zhou, Y.; Jia, Y.; Zhang, X.; Zhang, J.; Liu, Z.; Ning, Y.; Wang, L. Large-aperture single-mode 795 nm VCSEL for chip-scale nuclear magnetic resonance gyroscope with an output power of 4.1 mW at 80 degrees C. Opt. Express 2022, 30, 8991–8999. [Google Scholar] [CrossRef]
- Zhou, Y.-L.; Jia, Y.-C.; Zhang, X.; Zhang, J.-W.; Liu, Z.-C.; Ning, Y.-Q.; Wang, L.-J.; Photonics, C.A. 795-nm high-temperature and high-power operating vertical-cavity surface-emitting laser and application in atomic gyroscope. Acta Phys. Sin. 2022, 71, 134204. [Google Scholar] [CrossRef]
- Mu, J.; Zhou, Y.; Zhang, X.; Zhang, J.; Chen, C.; Zhang, Z.; Liu, T.; Xia, Y.; Xu, Y.; Sun, J.; et al. A novel metal-mode-filtered vertical-cavity surface-emitting laser with 8 μm oxide aperture and single mode output. Results Phys. 2023, 54, 107107. [Google Scholar] [CrossRef]
- Rainer, M. Fundamentals, technology and applications of vertical-cavity surface-emitting lasers. Springer Ser. Opt. Sci. 2013, 166, 560. [Google Scholar]
- Ii, X.; Zhou, Y.; Zhang, X.; Zhang, J.; Zeng, Y.; Ning, Y.; Wang, L. High-power single-mode 894 nm VCSELs operating at high temperature (> 2 mW @ 365 K). Appl. Phys. B 2022, 128, 1–6. [Google Scholar] [CrossRef]
- Saleh, B.E.A.; Teich, M.C. Fundamentals of Photonics; Wiley: New York, NY, USA, 2008; Volume 332. [Google Scholar]
- Debernardi, P. HOT-VELM: A Comprehensive and Efficient Code for Fully Vectorial and 3-D Hot-Cavity VCSEL Simulation. IEEE J. Quantum Electron. 2009, 45, 979–992. [Google Scholar] [CrossRef]
- Dang, B.L.G.; Ren, F.; Hobson, W.S.; Lopata, J.; Pearton, S.J.; Chang, W.; Shen, H. Temperature characteristics of 850 nm, intra-cavity contacted, shallow implant-apertured vertical-cavity surface-emitting lasers. Solid-State Electron. 2002, 46, 1247–1249. [Google Scholar] [CrossRef]
- Casey, H.C.; Panish, M.B. Heterostructure Lasers; Academic Press: Cambridge, MA, USA, 1978; Volume 1. [Google Scholar]
- Chow, W.W.; Geib, K.M.; Peake, G.M.; Serkland, D.K. Final Report on LDRD Project: Narrow-Linewidth VCSELs for Atomic Microsystems; Sandia National Laboratories (SNL): Albuquerque, NM, USA; Livermore, CA, USA, 2011. [Google Scholar] [CrossRef]
- Panajotov, K.; Danckaert, J.; Verschaffelt, G.; Peeters, M.; Nagler, B.; Albert, J.; Ryvkin, B.; Thienpont, H.; Veretennicoff, I. Polarization behavior of vertical-cavity surface-emitting lasers: Experiments, models and applications. AIP Conf. Proc. 2001, 560, 403–417. [Google Scholar]
- Fu, Q.; Sun, Y.; Yu, S.; Qiu, B.; Zhao, Y.; Dong, J. Stably polarized 795 nm vertical-cavity surface-emitting lasers with anti-phase SiN(x) surface gratings. Appl. Opt. 2024, 63, 3998–4005. [Google Scholar] [CrossRef] [PubMed]
- Malka, D. A Four Green TM/Red TE Demultiplexer Based on Multi Slot-Waveguide Structures. Materials 2020, 13, 3219. [Google Scholar] [CrossRef] [PubMed]
- Brand, O.; Wolftson, B.; Malka, D. A Compact Polarization MMI Combiner Using Silicon Slot-Waveguide Structures. Micromachines 2023, 14, 1203. [Google Scholar] [CrossRef]
- ISO 11146-1:2005; Lasers and Laser-Related Equipment—Test Methods for Laser Beam Widths, Divergence Angles and Beam Propagation Ratios—Part 1: Stigmatic and Simple Astigmatic Beams. International Organization for Standardization: Geneva, Switzerland, 2005.
- Huang, M.; Serkland, D.K.; Camparo, J. A narrow-linewidth three-mirror VCSEL for atomic devices. Appl. Phys. Lett. 2022, 121, 114002. [Google Scholar] [CrossRef]











| Year | Method | Additional Steps | Oxidation Diameter (μm) | Pmax (mW) | SMSR(dB) | Resistance (Ω) | Reference |
|---|---|---|---|---|---|---|---|
| 1997 | Adjust the oxide layer | no | 3 | 2.25 | 35 | - | [22] |
| 2004 | Holy structure | yes | ~14 | 7 | 40 | 80 | [15] |
| 2007 | Shallow surface relief | yes | 6 | 6.3 | 30 | 84 | [13] |
| 2012 | Surface relief with grating | yes | 5 | 4.2 | >20 | - | [12] |
| 2014 | Double oxide layer | no | 5 | >20 | 90 | [20] | |
| 2016 | Patterned Dielectric | yes | 3.75 | 3 | ≥25 | - | [19] |
| 2018 | Photonic crystal | yes | - | 3.7 | >40 | - | [10] |
| 2018 | Elliptic mesas | yes | 6 | 0.55 | 30 | - | [17] |
| 2022 | Adjust the oxide layer | no | 6 | 4.85 | 41.68@80 °C | ~50 | [24] |
| 2022 | Adjust the oxide layer | no | 6 | 4.85 | 41.68@80 °C | ~50 | [25] |
| 2023 | Metal-mode-filtered | no | 8 | - | - | - | [26] |
| 2023 | High-order transverse mode expansion | no | 6 | 0.27 | >40 | 300 | [21] |
| 2024 | Extended cavity | no | 7.08 | 6.8 | 43 | 54 | This work |
Disclaimer/Publisher’s Note: The statements, opinions and data contained in all publications are solely those of the individual author(s) and contributor(s) and not of MDPI and/or the editor(s). MDPI and/or the editor(s) disclaim responsibility for any injury to people or property resulting from any ideas, methods, instructions or products referred to in the content. |
© 2024 by the authors. Licensee MDPI, Basel, Switzerland. This article is an open access article distributed under the terms and conditions of the Creative Commons Attribution (CC BY) license (https://creativecommons.org/licenses/by/4.0/).
Share and Cite
Wang, Y.; Zhang, Y.; Li, C.; Li, J.; Wei, X.; Chen, L. Stable Single-Mode 795 nm Vertical-Cavity Surface-Emitting Laser for Quantum Sensing. Materials 2024, 17, 4872. https://doi.org/10.3390/ma17194872
Wang Y, Zhang Y, Li C, Li J, Wei X, Chen L. Stable Single-Mode 795 nm Vertical-Cavity Surface-Emitting Laser for Quantum Sensing. Materials. 2024; 17(19):4872. https://doi.org/10.3390/ma17194872
Chicago/Turabian StyleWang, Yongli, Yang Zhang, Chuanchuan Li, Jian Li, Xin Wei, and Lianghui Chen. 2024. "Stable Single-Mode 795 nm Vertical-Cavity Surface-Emitting Laser for Quantum Sensing" Materials 17, no. 19: 4872. https://doi.org/10.3390/ma17194872
APA StyleWang, Y., Zhang, Y., Li, C., Li, J., Wei, X., & Chen, L. (2024). Stable Single-Mode 795 nm Vertical-Cavity Surface-Emitting Laser for Quantum Sensing. Materials, 17(19), 4872. https://doi.org/10.3390/ma17194872

