Mechanical Characterization of Flax and Hemp Fibers Cultivated in Romania
Abstract
1. Introduction
- -
- They are derived from renewable resources and have a low environmental impact when compared to synthetic reinforcements [9];
- -
- The technology for extracting the fibers is well established, with only minor adjustments required to cater to industry-specific needs, such as adding equipment for producing rovings, mats, or resin pre-impregnated rolls in the fabrication process;
- -
- They are biodegradable, allowing the creation of a fully biodegradable composite if an appropriate matrix is used [24];
- -
- -
- They possess better fiber/matrix bonding properties when compared to other vegetable fibers [26];
- -
- They pose low health risks for workers involved in production [27].
1.1. Fiber Structure
- The helical arrangement of microfibrils generates a complex stress state under load.
- The extraction process may alter the structure, thus reducing its mechanical properties.
- Kink bands, which are local defects, reduce the structural integrity of the fibers [39].
- Small-diameter fiber bundles tend to twist themselves when extracted from a plant, leading to difficulties in measuring their cross-section and introducing additional stresses during testing. An example of such fiber bundles is given in Figure 2 and was obtained by the authors through optical microscopy.
1.2. Related Studies
2. Materials and Methods
2.1. Mechanical Testing
2.2. Statistical Analysis
3. Results and Discussion
3.1. Fiber Diameter
3.2. Mechanical Properties
3.3. Influence of Cross-Section
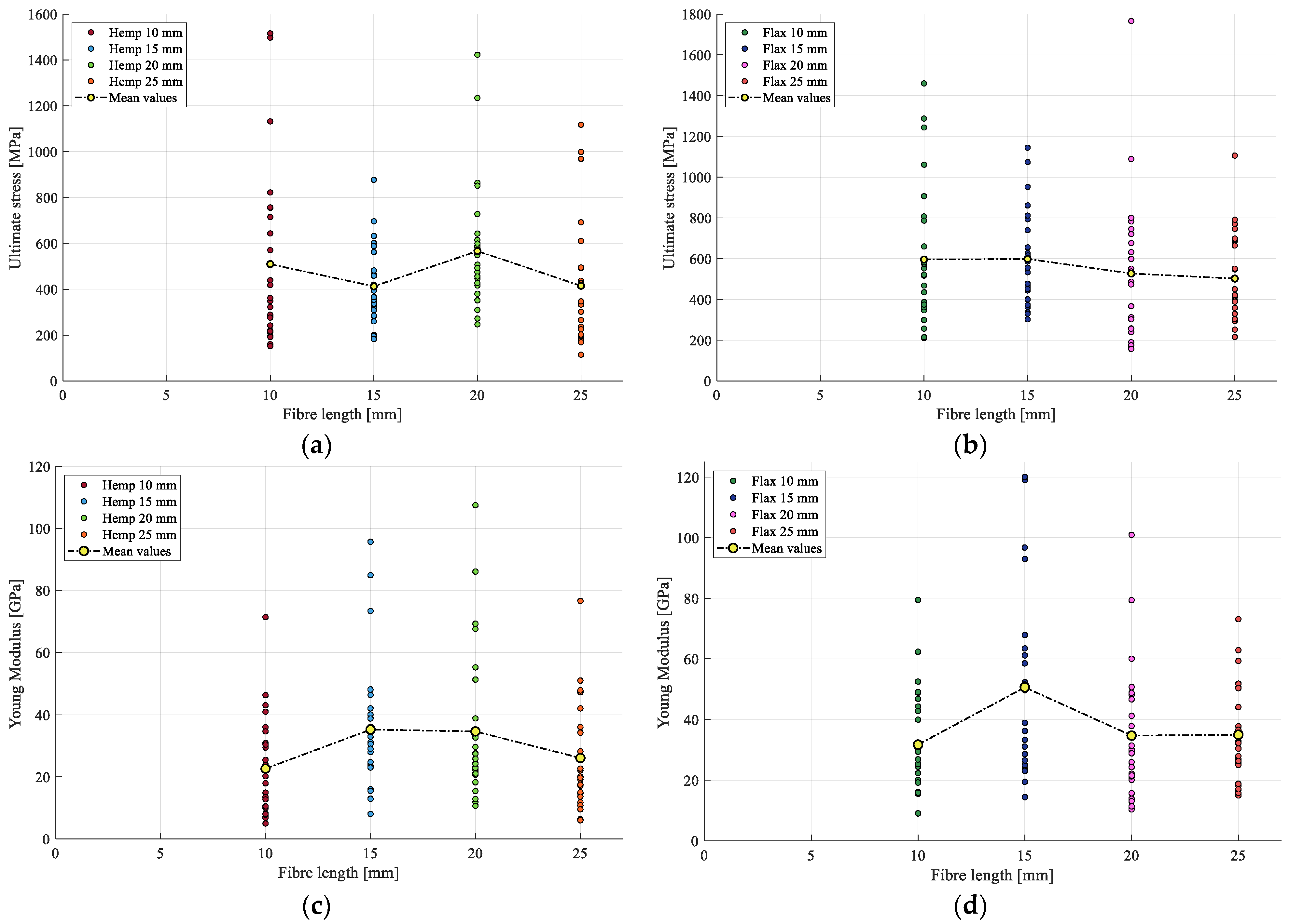
3.4. Influence of Length
3.5. Weibull Modeling
4. Conclusions and Further Research
Author Contributions
Funding
Institutional Review Board Statement
Informed Consent Statement
Data Availability Statement
Conflicts of Interest
References
- Peças, P.; Carvalho, H.; Salman, H.; Leite, M. Natural Fibre Composites and Their Applications: A Review. J. Compos. Sci. 2018, 2, 66. [Google Scholar] [CrossRef]
- Joshi, S.; Drzal, L.; Mohanty, A.; Arora, S. Are Natural Fiber Composites Environmentally Superior to Glass Fiber Reinforced Composites? Compos. Part A Appl. Sci. Manuf. 2004, 35, 371–376. [Google Scholar] [CrossRef]
- Kamarudin, S.H.; Mohd Basri, M.S.; Rayung, M.; Abu, F.; Ahmad, S.; Norizan, M.N.; Osman, S.; Sarifuddin, N.; Desa, M.S.Z.M.; Abdullah, U.H.; et al. A Review on Natural Fiber Reinforced Polymer Composites (NFRPC) for Sustainable Industrial Applications. Polymers 2022, 14, 3698. [Google Scholar] [CrossRef]
- Pickering, K.L.; Efendy, M.G.A.; Le, T.M. A Review of Recent Developments in Natural Fibre Composites and Their Mechanical Performance. Compos. Part A Appl. Sci. Manuf. 2016, 83, 98–112. [Google Scholar] [CrossRef]
- Lucintel. Composites Market: Trends, Opportunities and Competitive Analysis 2024–2030; Lucintel: Coppell, TX, USA, 2024. [Google Scholar]
- Lucintel. Bio-Composites Market: Trends, Opportunities and Competitive Analysis 2024–2030; Lucintel: Coppell, TX, USA, 2024. [Google Scholar]
- Schroeder, M. The History of European Hemp Cultivation. Bachelor’s Thesis, Lund University, Lund, Sweden, 2019. [Google Scholar]
- Wang, Y.F.; Jankauskiene, Z.; Qiu, C.S.; Gruzdeviene, E.; Long, S.H.; Alexopoulou, E.; Guo, Y.; Szopa, J.; Hao, D.M.; Fernando, A.L.; et al. Fiber Flax Breeding in China and Europe. J. Nat. Fibers 2018, 15, 309–324. [Google Scholar] [CrossRef]
- Le Duigou, A.; Davies, P.; Baley, C. Environmental Impact Analysis of the Production of Flax Fibres to Be Used as Composite Material Reinforcement. J. Biobased Mater. Bioenergy 2011, 5, 153–165. [Google Scholar] [CrossRef]
- Goyal, A.; Sharma, V.; Upadhyay, N.; Gill, S.; Sihag, M. Flax and Flaxseed Oil: An Ancient Medicine & Modern Functional Food. J. Food Sci. Technol. 2014, 51, 1633–1653. [Google Scholar] [CrossRef]
- Marin, A.; Oncioiu, I.; Butu, M.; Dobre, I.; Dragomir, V. An Overview of Hemp for Fibre Market Opportunities for Romania. Ind. Textila 2022, 73, 432–437. [Google Scholar] [CrossRef]
- Sikora, F.J.; Kariuki, S.K.; Pearce, R.C.; Hamilton, D.; Ji, H. THC Content on a Dry Weight Basis: Implications for Hemp Legality. J. AOAC Int. 2024, qsae048. [Google Scholar] [CrossRef]
- Capcanari, T.N.; Covaliov, E.F.; Negoița, C.I. Hemp (Cannabis Sativa L.) Seeds Nutritional Aspects and Food Production Perspectives: A Review. Food Syst. 2024, 7, 52–58. [Google Scholar] [CrossRef]
- Muzyczek, M. The Use of Flax and Hemp for Textile Applications. In Handbook of Natural Fibres, 2nd ed.; Elsevier: Amsterdam, The Netherlands, 2020; Volume 2, Processing and Applications; pp. 147–167. [Google Scholar] [CrossRef]
- Bill No. 339/2005; The Romanian Parliament. 2005. Available online: https://legislatie.just.ro/Public/DetaliiDocument/66456 (accessed on 15 July 2024).
- FAO. FAOSTAT. License: CC BY-NC-SA 3.0 IGO. Available online: https://www.fao.org/faostat/en/#data/QCL (accessed on 15 July 2024).
- Doucet, I.; Doucet, M. Rezultatele Cercetărilor de Ameliorare La Inul de Ulei Și Inul de Fibre, În România. Ann. INCDA Fundulea 2007, 75, 195–202. [Google Scholar]
- Brzyski, P.; Barnat-Hunek, D.; Suchorab, Z.; Lagód, G. Composite Materials Based on Hemp and Flax for Low-Energy Buildings. Materials 2017, 10, 510. [Google Scholar] [CrossRef]
- Baets, J.; Plastria, D.; Ivens, J.; Verpoest, I. Determination of the Optimal Flax Fibre Preparation for Use in Unidirectional Flax–Epoxy Composites. J. Reinf. Plast. Compos. 2014, 33, 493–502. [Google Scholar] [CrossRef]
- Dittenber, D.B.; Gangarao, H.V.S. Critical Review of Recent Publications on Use of Natural Composites in Infrastructure. Compos. Part A Appl. Sci. Manuf. 2012, 43, 1419–1429. [Google Scholar] [CrossRef]
- Singleton, A.C.N.; Baillie, C.A.; Beaumont, P.W.R.; Peijs, T. On the Mechanical Properties, Deformation and Fracture of a Natural Fibre/Recycled Polymer Composite. Compos. Part B Eng. 2003, 34, 519–526. [Google Scholar] [CrossRef]
- Lefeuvre, A.; Bourmaud, A.; Lebrun, L.; Morvan, C.; Baley, C. A Study of the Yearly Reproducibility of Flax Fiber Tensile Properties. Ind. Crops Prod. 2013, 50, 400–407. [Google Scholar] [CrossRef]
- Amroune, S.; Belaadi, A.; Bourchak, M.; Makhlouf, A.; Satha, H. Statistical and Experimental Analysis of the Mechanical Properties of Flax Fibers. J. Nat. Fibers 2022, 19, 1387–1401. [Google Scholar] [CrossRef]
- Satyanarayana, K.G.; Arizaga, G.G.C.; Wypych, F. Biodegradable Composites Based on Lignocellulosic Fibers-An Overview. Prog. Polym. Sci. 2009, 34, 982–1021. [Google Scholar] [CrossRef]
- Pinsard, L.; Revol, N.; Pomikal, H.; De Luycker, E.; Ouagne, P. Production of Long Hemp Fibers Using the Flax Value Chain. Fibers 2023, 11, 38. [Google Scholar] [CrossRef]
- Marcuello, C.; Chabbert, B.; Berzin, F.; Bercu, N.B.; Molinari, M.; Aguié-Béghin, V. Influence of Surface Chemistry of Fiber and Lignocellulosic Materials on Adhesion Properties with Polybutylene Succinate at Nanoscale. Materials 2023, 16, 2440. [Google Scholar] [CrossRef]
- Stamboulis, A.; Baillie, C.A.; Garkhail, S.K.; Van Melick, H.G.H.; Peijs, T. Environmental Durability of Flax Fibres and Their Composites Based on Polypropylene Matrix. Appl. Compos. Mater. 2000, 7, 273–294. [Google Scholar] [CrossRef]
- Agănencei, M.A.; Skorupa, J.; Venter, M.G.; Feher, A.; Toader, C. Is the Cultivation of Plants for Textile Fibers a Profitable Business Field? Lucr. Științifice, Fac. Manag. Agric. 2022, 24, 12–17. [Google Scholar]
- Andersons, J.; Sparnins, E.; Joffe, R.; Wallstrom, L. Strength Distribution of Elementary Flax Fibres. Compos. Sci. Technol. 2005, 65, 693–702. [Google Scholar] [CrossRef]
- Charlet, K.; Eve, S.; Jernot, J.P.; Gomina, M.; Breard, J. Tensile Deformation of a Flax Fiber. Procedia Eng. 2009, 1, 233–236. [Google Scholar] [CrossRef]
- Fayed, M.; El-Shal, M.; El-Ashry, A.; El-Shal, H. Engineering Studies on Flax Fiber Extraction. Zagazig J. Agric. Res. 2016, 43, 1025–1038. [Google Scholar] [CrossRef]
- Różańska, W.; Romanowska, B.; Rojewski, S. The Quantity and Quality of Flax and Hemp Fibers Obtained Using the Osmotic, Water-, and Dew-Retting Processes. Materials 2023, 16, 7436. [Google Scholar] [CrossRef]
- Romhány, G.; Karger-Kocsis, J.; Czigány, T. Tensile Fracture and Failure Behavior of Technical Flax Fibers. J. Appl. Polym. Sci. 2003, 90, 3638–3645. [Google Scholar] [CrossRef]
- Dai, D.; Fan, M. Characteristic and Performance of Elementary Hemp Fibre. Mater. Sci. Appl. 2010, 01, 336–342. [Google Scholar] [CrossRef]
- Bos, H.L. The Potential of Flax Fibres as Reinforcement for Composite Materials. Ph.D. Thesis, Université Technique de Eindhoven, Eindhoven, The Netherlands, 2004. [Google Scholar]
- Charlet, K.; Beakou, A.; Béakou, A. Interfaces within Flax Fibre Bundle: Experimental Characterization and Numerical Modelling. J. Compos. Mater. 2014, 48, 3263–3269. [Google Scholar] [CrossRef]
- Mattrand, C.; Béakou, A.; Charlet, K. Numerical Modeling of the Flax Fiber Morphology Variability. Compos. Part A Appl. Sci. Manuf. 2014, 63, 10–20. [Google Scholar] [CrossRef]
- Gogoli, K.; Gehring, F.; Poilâne, C.; Morales, M. Analysis of Morphological Variations of Flax Fibre Bundles by Fraunhofer Diffraction. Ind. Crops Prod. 2021, 171, 113856. [Google Scholar] [CrossRef]
- Bourmaud, A.; Morvan, C.; Bouali, A.; Placet, V.; Perré, P.; Baley, C. Relationships between Micro-Fibrillar Angle, Mechanical Properties and Biochemical Composition of Flax Fibers. Ind. Crops Prod. 2013, 44, 343–351. [Google Scholar] [CrossRef]
- Mwaikambo, L.Y.; Ansell, M.P. Mechanical Properties of Alkali Treated Plant Fibres and Their Potential as Reinforcement Materials. I. Hemp Fibres. J. Mater. Sci. 2006, 41, 2483–2496. [Google Scholar] [CrossRef]
- Pepi, C.; Pipistrelli, M.E.; Gioffrè, M. Random Modeling of Hemp Fibers Mechanical Properties. Compos. Part A Appl. Sci. Manuf. 2024, 183, 108203. [Google Scholar] [CrossRef]
- Joffe, R.; Andersons, J. Modeling the Tensile Strength of Hemp Fibers and Short-Hemp-Fiber Reinforced Composites. Nat. Fill. Fibre Compos. Dev. Characterisation 2015, 87, 13–26. [Google Scholar] [CrossRef]
- Shahzad, A. A Study in Physical and Mechanical Properties of Hemp Fibres. Adv. Mater. Sci. Eng. 2013, 2013, 325085. [Google Scholar] [CrossRef]
- Beckermann, G.W.; Pickering, K.L. Engineering and Evaluation of Hemp Fibre Reinforced Polypropylene Composites: Fibre Treatment and Matrix Modification. Compos. Part A Appl. Sci. Manuf. 2008, 39, 979–988. [Google Scholar] [CrossRef]
- Fan, M. Characterization and Performance of Elementary Hemp Fibres: Factors Influencing Tensile Strength. BioResources 2010, 5, 2307–2322. [Google Scholar] [CrossRef]
- Coroller, G.; Lefeuvre, A.; Le Duigou, A.; Bourmaud, A.; Ausias, G.; Gaudry, T.; Baley, C. Effect of Flax Fibres Individualisation on Tensile Failure of Flax/Epoxy Unidirectional Composite. Compos. Part A Appl. Sci. Manuf. 2013, 51, 62–70. [Google Scholar] [CrossRef]
- Gourier, C.; Le Duigou, A.; Bourmaud, A.; Baley, C. Mechanical Analysis of Elementary Flax Fibre Tensile Properties after Different Thermal Cycles. Compos. Part A Appl. Sci. Manuf. 2014, 64, 159–166. [Google Scholar] [CrossRef]
- Peyrache, T.; Chabbert, B.; Aguié-Béghin, V.; Delattre, F.; Kurek, B.; Gainvors-Claisse, A. Multiscale Assessment of the Heterogeneity of Scutched Flax Fibers. Ind. Crops Prod. 2024, 220, 119260. [Google Scholar] [CrossRef]
- Barbulée, A.; Gomina, M. Variability of the Mechanical Properties among Flax Fiber Bundles and Strands. Procedia Eng. 2017, 200, 487–493. [Google Scholar] [CrossRef]
- ASTM C1557; Standard Test Method for Tensile Strength and Young’s Modulus of Fibers. ASTM: West Conshohocken, PA, USA, 2020.
- Engelbrecht-Wiggans, A.E.; Forster, A.L. Analysis of Strain Correction Procedures for Single Fiber Tensile Testing. Compos. Part A Appl. Sci. Manuf. 2023, 167, 107411. [Google Scholar] [CrossRef]
- Baley, C. Analysis of the Flax Fibres Tensile Behaviour and Analysis of the Tensile Stiffness Increase. Compos.Part A Appl. Sci. Manuf. 2002, 33, 939–948. [Google Scholar] [CrossRef]
- Johnston, H. Flax Retting. Master’s Thesis, Oregon State University, Corvallis, OR, USA, 1934. [Google Scholar]
- Duval, A.; Bourmaud, A.; Augier, L.; Baley, C. Influence of the Sampling Area of the Stem on the Mechanical Properties of Hemp Fibers. Mater. Lett. 2011, 65, 797–800. [Google Scholar] [CrossRef]














| Diameter | Gauge Length | Strength | Stiffness | Country of Origin | Additional Information | Source |
|---|---|---|---|---|---|---|
| [μm] | [mm] | [MPa] | [GPa] | |||
| - | 20 | 239 ± 93 | - | Germany | Short fiber | [42] |
| 67 ± 26 | 11 | 277 ± 191 | 9.5 ± 5.7 | The United Kingdom | Short fiber Heat treated | [43] |
| 150 ± 50 | 10 | 165 ± 61 | 6.6 ± 3.22 | Romania | Extracted from rope strands | [41] |
| 26.5 ± 6.7 | 10 | 514 ± 274 | 24.8 ± 16.3 | The United Kingdom | Retted | [44] |
| 54.3 ± 33 | 25 | 700 ± 565 | - | The United Kingdom | Cleaned in water prior to testing | [45] |
| Diameter | Gauge Length | Strength | Stiffness | Country of Origin | Additional Information | Source |
|---|---|---|---|---|---|---|
| [μm] | [mm] | [MPa] | [GPa] | |||
| - | 25 | 540 ± 190 | - | The Netherlands | Retted and mechanically extracted | [35] |
| 18.6 ± 3.9 | 10 | 1066 ± 342 | 48.9 ± 12 | France | Hermes variety Retted and mechanically extracted | [46] |
| 16 ± 2.7 | 10 | 789 ± 276 | 45.2 ± 12.9 | France | Marylin variety Retted and mechanically extracted | [47] |
| 61–122 | 30 | 475 ± 170 | 18.2 ± 6.7 | France | Aramis variety Scutched | [48] |
| 220–900 | 20 | 695 ± 120 | 43.2 ± 4.8 | France | Aretha variety | [49] |
| Hemp | Flax | |||||||
|---|---|---|---|---|---|---|---|---|
| Gauge length [mm] | 10 | 15 | 20 | 25 | 10 | 15 | 20 | 25 |
| Number of samples | 25 | 25 | 25 | 25 | 25 | 25 | 25 | 25 |
| Average Strength | CV | Average Stiffness | CV | |
|---|---|---|---|---|
| [MPa] | [%] | [GPa] | [%] | |
| Hemp (10 mm) | 509.46 | 76.97 | 22.63 | 72.02 |
| Hemp (15 mm) | 412.56 | 41.06 | 35.25 | 62.05 |
| Hemp (20 mm) | 566.45 | 49.67 | 34.65 | 71.19 |
| Hemp (25 mm) | 414.96 | 65.75 | 26.08 | 66.95 |
| Flax (10 mm) | 595.65 | 59.42 | 31.75 | 56.12 |
| Flax (15 mm) | 598.73 | 38.87 | 50.67 | 58.89 |
| Flax (20 mm) | 527.04 | 67.5 | 34.74 | 62.33 |
| Flax (25 mm) | 502.40 | 43.3 | 35.05 | 44.11 |
| Batch | Ultimate Stress | Young’s Modulus | ||
|---|---|---|---|---|
| λ | k | λ | k | |
| Hemp (10 mm) | 568.4 | 1.46 | 25.27 | 1.51 |
| Hemp (15 mm) | 465.2 | 2.63 | 39.85 | 1.77 |
| Hemp (20 mm) | 642.4 | 2.18 | 39.05 | 1.59 |
| Hemp (25 mm) | 469.1 | 1.69 | 29.36 | 1.64 |
| Flax (10 mm) | 675.6 | 1.85 | 35.99 | 1.94 |
| Flax (15 mm) | 673.9 | 2.79 | 57.46 | 1.86 |
| Flax (20 mm) | 593.8 | 1.64 | 39.32 | 1.77 |
| Flax (25 mm) | 567.9 | 2.51 | 39.65 | 2.48 |
Disclaimer/Publisher’s Note: The statements, opinions and data contained in all publications are solely those of the individual author(s) and contributor(s) and not of MDPI and/or the editor(s). MDPI and/or the editor(s) disclaim responsibility for any injury to people or property resulting from any ideas, methods, instructions or products referred to in the content. |
© 2024 by the authors. Licensee MDPI, Basel, Switzerland. This article is an open access article distributed under the terms and conditions of the Creative Commons Attribution (CC BY) license (https://creativecommons.org/licenses/by/4.0/).
Share and Cite
Stochioiu, C.; Ciolcă, M.; Deca, A.-L. Mechanical Characterization of Flax and Hemp Fibers Cultivated in Romania. Materials 2024, 17, 4871. https://doi.org/10.3390/ma17194871
Stochioiu C, Ciolcă M, Deca A-L. Mechanical Characterization of Flax and Hemp Fibers Cultivated in Romania. Materials. 2024; 17(19):4871. https://doi.org/10.3390/ma17194871
Chicago/Turabian StyleStochioiu, Constantin, Miruna Ciolcă, and Anca-Loredana Deca. 2024. "Mechanical Characterization of Flax and Hemp Fibers Cultivated in Romania" Materials 17, no. 19: 4871. https://doi.org/10.3390/ma17194871
APA StyleStochioiu, C., Ciolcă, M., & Deca, A.-L. (2024). Mechanical Characterization of Flax and Hemp Fibers Cultivated in Romania. Materials, 17(19), 4871. https://doi.org/10.3390/ma17194871

