Molecular Dynamics Analysis of Multi-Factor Influences on Structural Defects in Deposited Mg-Matrix Zn Atom Films
Abstract
1. Introduction
2. Modeling and Simulation Methods
2.1. Simulation Model
2.2. Simulation Method
3. Results and Discussion
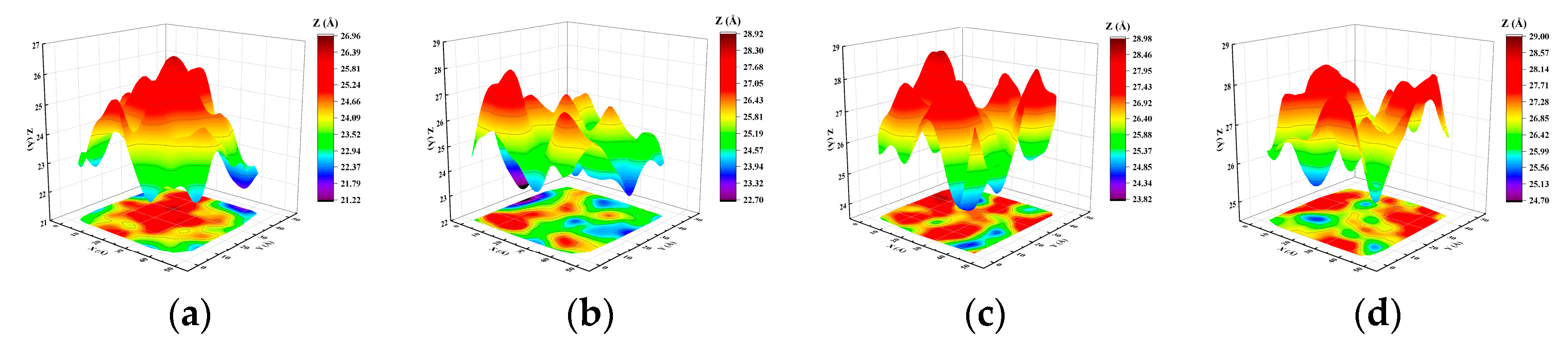
3.1. Crystalline Structure, Surface Morphology, and Roughness of the Deposited Film
3.2. The Residual Stress and Atomic Layer Density of the Deposited Film
3.3. Effect of the Different Thermal Temperatures
3.4. Effect of the Different Deposited Velocity
4. Conclusions
Author Contributions
Funding
Data Availability Statement
Conflicts of Interest
References
- Murray, C.J.; Aravkin, A.Y.; Zheng, P.; Abbafati, C.; Abbas, K.M.; Abbasi-Kangevari, M.; Abd-Allah, F.; Abdelalim, A.; Abdollahi, M.; Abdollahpour, I.; et al. GBD 2019 risk factors collaborators. global burden of 87 risk factors in 204 countries and territories, 1990-2019: A systematic analysis for the global burden of disease study 2019. Lancet 2020, 396, 1223–1249. [Google Scholar] [CrossRef] [PubMed]
- Zhu, Y.; Xie, X.; Huang, Q.; Hu, W. Research progress in laser processing of vascular stent. In Proceedings of the Sixth International Conference on Optical and Photonic Engineering (icOPEN 2018), Shanghai, China, 8–11 May 2018. [Google Scholar] [CrossRef]
- Ye, S.H.; Chen, Y.; Mao, Z.; Gu, X.; Shankarraman, V.; Hong, Y.; Shanov, V.; Wagner, W.R. Biodegradable zwitterionic polymer coatings for magnesium alloy stents. Langmuir 2018, 35, 1421–1429. [Google Scholar] [CrossRef] [PubMed]
- Lim, G.B. Absorbing results with degradable stents. Nat. Rev. Cardiol. 2016, 14, 5. [Google Scholar] [CrossRef]
- Colombo, A.; Karvouni, E. Biodegradable stents: “fulfilling the mission and stepping away”. Circulation 2000, 102, 371–373. [Google Scholar] [CrossRef] [PubMed]
- Mao, L.; Zhou, H.; Chen, L.; Niu, J.; Zhang, L.; Yuan, G.; Song, C. Enhanced biocompatibility and long-term durability in vivo of Mg-Nd-Zn-Zr alloy for vascular stent application. J. Alloys Compd. 2017, 720, 245–253. [Google Scholar] [CrossRef]
- Hofstetter, J.; Martinelli, E.; Pogatscher, S.; Schmutz, P.; Povoden-Karadeniz, E.; Weinberg, A.M.; Uggowitzer, P.J.; Löffler, J.F. Influence of trace impurities on the in vitro and in vivo degradation of biodegradable Mg-5Zn-0.3Ca alloys. Acta Biomater. 2015, 23, 347–353. [Google Scholar] [CrossRef]
- Zhao, C.X.; Liu, J.N.; Li, B.Q.; Ren, D.; Chen, X.; Yu, J.; Zhang, Q. Multiscale construction of bifunctional electrocatalysts for long-lifespan rechargeable zinc–air batteries. Adv. Funct. Mater. 2020, 30, 2003619. [Google Scholar] [CrossRef]
- Riaz, U.; Rakesh, L.; Shabib, I.; Haider, W. Effect of dissolution of magnesium alloy AZ31 on the rheological properties of Phosphate Buffer Saline. J. Mech. Behav. Biomed. Mater. 2018, 85, 201–208. [Google Scholar] [CrossRef]
- Haude, M.; Erbel, R.; Erne, P.; Verheye, S.; Degen, H.; Böse, D.; Vermeersch, P.; Wijnbergen, I.; Weissman, N.; Prati, F.; et al. Safety and performance of the drug-eluting absorbable metal scaffold (dreams) in patients with de-novo coronary lesions: 12 month results of the prospective, multicentre, first-in-man biosolve-i trial. Lancet 2013, 381, 836–844. [Google Scholar] [CrossRef]
- Nagels, J.; Stokdijk, M.; Rozing, P.M. Stress shielding and bone resorption in shoulder arthroplasty. J. Shoulder Elb. Surg. 2003, 12, 35–39. [Google Scholar] [CrossRef]
- Staiger, M.P.; Pietak, A.M.; Huadmai, J.; Dias, G. Magnesium and its alloys as orthopedic biomaterials: A review. Biomaterials 2006, 27, 1728–1734. [Google Scholar] [CrossRef] [PubMed]
- Saris, N.E.L.; Mervaala, E.; Karppanen, H.; Khawaja, J.A.; Lewenstam, A. Magnesium: An update on physiological, clinical and analytical aspects. Clin. Chim. Acta 2000, 294, 1–26. [Google Scholar] [CrossRef] [PubMed]
- Okuma, T. Magnesium and bone strength. Nutrition 2001, 17, 679–680. [Google Scholar] [CrossRef]
- Vormann, J. Magnesium: Nutrition and metabolism. Mol. Asp. Med. 2003, 24, 27–37. [Google Scholar] [CrossRef] [PubMed]
- Wolf, F.I.; Cittadini, A. Chemistry and biochemistry of magnesium. Mol. Asp. Med. 2003, 24, 3–9. [Google Scholar] [CrossRef]
- Hartwig, A. Role of magnesium in genomic stability. Mutat. Res. 2001, 475, 113–121. [Google Scholar] [CrossRef]
- Chen, M.; Wu, S.; Xu, S.; Yu, B.; Shilbayeh, M.; Liu, Y.; Zhu, X.; Wang, J.; Gong, J. Caking of crystals: Characterization, mechanisms, and prevention. Powder Technol. 2017, 337, 51–67. [Google Scholar] [CrossRef]
- Ma, J.; Zhao, N.; Zhu, D. Sirolimus-eluting dextran and polyglutamic acid hybrid coatings on AZ31 for stent applications. J. Biomater. Appl. 2015, 30, 579–588. [Google Scholar] [CrossRef]
- Mordike, B.; Ebert, T. Magnesium: Properties—Applications—Potential. Mater. Sci. Eng. A 2001, 302, 37–45. [Google Scholar] [CrossRef]
- Di Mario, C.; Griffiths, H.U.W.; Goktekin, O.; Peeters, N.; Verbist, J.A.N.; Bosiers, M.; Deloose, K.; Heublein, B.; Rohde, R.; Kasese, V.; et al. Drug-Eluting bioabsorbable magnesium stent. J. Interv. Cardiol. 2004, 17, 391–395. [Google Scholar] [CrossRef]
- Witte, F.; Hort, N.; Vogt, C.; Cohen, S.; Kainer, K.U.; Willumeit, R.; Feyerabend, F. Degradable biomaterials based on magnesium corrosion. Curr. Opin. Solid State Mater. Sci. 2008, 12, 63–72. [Google Scholar] [CrossRef]
- Erbel, R.; Di Mario, C.; Bartunek, J.; Bonnier, J.; de Bruyne, B.; Eberli, F.R.; Erne, P.; Haude, M.; Heublein, B.; Horrigan, M.; et al. Temporary scaffolding of coronary arteries with bioabsorbable magnesium stents: A prospective, non-randomised multicentre trial. Lancet 2007, 369, 1869–1875. [Google Scholar] [CrossRef] [PubMed]
- Mao, L.; Shen, L.; Chen, J.; Wu, Y.; Kwak, M.; Lu, Y.; Xue, Q.; Pei, J.; Zhang, L.; Yuan, G.; et al. Enhanced bioactivity of Mg-Nd-Zn-Zr alloy achieved with nanoscale mgf2 surface for vascular stent application. ACS Appl. Mater. Interfaces 2015, 7, 5320–5330. [Google Scholar] [CrossRef] [PubMed]
- Zomorodian, A.; Garcia, M.P.; Moura e Silva, T.; Fernandes, J.C.S.; Fernandes, M.H.; Montemor, M.F. Corrosion resistance of a composite polymeric coating applied on biodegradable AZ31 magnesium alloy. Acta Biomater. 2013, 9, 8660–8670. [Google Scholar] [CrossRef] [PubMed]
- Wang, P.; Liu, J.; Shen, S.; Li, Q.; Luo, X.; Xiong, P.; Gao, S.; Yan, J.; Cheng, Y.; Xi, T. In vitro and vivo studies on two-step alkali-fluoride-treated Mg-Zn-Y-Nd alloy for vascular stent application: Enhancement in corrosion resistance and biocompatibility. ACS Biomater. Sci. Eng. 2019, 5, 3279–3292. [Google Scholar] [CrossRef]
- Zhang, S.; Zhang, X.; Zhao, C.; Li, J.; Song, Y.; Xie, C.; Tao, H.; Zhang, Y.; He, Y.; Jiang, Y.; et al. Research on an Mg-Zn alloy as a degradable biomaterial. Acta Biomater. 2010, 6, 626–640. [Google Scholar] [CrossRef]
- Nazari, M.H.; Zhang, Y.; Mahmoodi, A.; Xu, G.; Yu, J.; Wu, J.; Shi, X. Nanocomposite organic coatings for corrosion protection of metals: A review of recent advances. Prog. Org. Coat. 2022, 162, 106573. [Google Scholar] [CrossRef]
- Knudsen, O.Ø.; Matre, H.; Dørum, C.; Gagné, M. Experiences with thermal spray zinc duplex coatings on road bridges. Coatings 2019, 9, 371. [Google Scholar] [CrossRef]
- Galedari, S.A.; Mahdavi, A.; Azarmi, F.; Huang, Y.; McDonald, A. A comprehensive review of corrosion resistance of thermally-sprayed and thermally-diffused protective coatings on steel structures. J. Therm. Spray Technol. 2019, 28, 645–677. [Google Scholar] [CrossRef]
- Li, L.; Wang, X.; Zhang, Z.; Qi, F.; Zhang, D.; Ouyang, X. Effect of Zn film thickness on corrosion resistance and mechanical properties of WE43 alloy. Mater. Charact. 2021, 182, 111570. [Google Scholar] [CrossRef]
- Zhang, H.; Tao, J.; Li, Q.L.; Yang, J.; Addae, M. Investigation of corrosion resistance and interfacial bonding properties of Zn/Zn–Al multilayer coating/steel substrate system. J. Mater. Civ. Eng. 2020, 33, 04020407. [Google Scholar] [CrossRef]
- Li, B.; Wang, C.; Wang, X.; Chen, X.; Peng, N. Technology and corrosion resistance of electrodeposited Zn-Fe alloys onto Nd-Fe-B sintered magnets. Rare Met. Mater. Eng. 2015, 44, 174–178. [Google Scholar]
- Bae, K.; La, J.; Lee, I.; Lee, S.; Nam, K. Effects of annealing heat treatment on the corrosion resistance of Zn/Mg/Zn multilayer coatings. Met. Mater. Int. 2017, 23, 481–487. [Google Scholar] [CrossRef]
- Gao, Y.; Li, G.; Chang, L.; Liu, S.; Liu, S.; Wang, Q. Effects of Cu contents on defects formation in molecular dynamics simulations of ZnO:Cu films deposition. Appl. Surf. Sci. 2019, 465, 67–72. [Google Scholar] [CrossRef]
- Jang, H.S.; Kim, K.M.; Lee, B.J. Modified embedded-atom method interatomic potentials for pure Zn and Mg-Zn binary system. Calphad 2018, 60, 200–207. [Google Scholar] [CrossRef]
- Jang, H.S.; Lee, B.J. Effects of Zn on <c + a> slip and grain boundary segregation of Mg alloys. Scr. Mater. 2018, 160, 39–43. [Google Scholar] [CrossRef]
- Baburao, B.; Kumar, N.H.; Edukondalu, A.; Ravinder, D. Influence of Er/Fe substitution on Mg-Zn nanoparticles’ electromagnetic properties and applications. Braz. J. Phys. 2023, 53, 91. [Google Scholar] [CrossRef]
- Ding, X.W.; Ding, H.; Huang, C.X.; Zhang, H.; Shi, W.M.; Zhang, J.H.; Li, J.; Jiang, X.Y.; Zhang, Z.L. Effect of sputtering power densities on density-of-states in InZnO thin-film transistor. Superlattices Microstruct. 2014, 74, 11–18. [Google Scholar] [CrossRef]
- Li, Y.; Wang, J.; Shen, D.; Liu, H. Reactions and morphologies of Mg and Mg/Teflon/Viton particles during oxidation. Metals 2023, 13, 417. [Google Scholar] [CrossRef]
- Thompson, A.P.; Aktulga, H.M.; Berger, R.; Bolintineanu, D.S.; Brown, W.M.; Crozier, P.S.; Plimpton, S.J. LAMMPS is a flexible simulation tool for modeling particle-based materials at the atomic, meso, and continuum scales. Comput. Phys. Commun. 2022, 271, 108171. [Google Scholar] [CrossRef]
- Plimpton, S. Fast parallel algorithms for short-range molecular dynamics. J. Comput. Phys. 1995, 117, 1–9. [Google Scholar] [CrossRef]
- Alexander, S. Visualization and analysis of atomistic simulation data with ovito-the open visualization tool. Model. Simul. Mater. Sci. Eng. 2010, 18, 015012. [Google Scholar] [CrossRef]
- Phillpot, S.R.; Lutsko, J.F.; Wolf, D.; Yip, S. Molecular-dynamics study of lattice-defectnucleated melting in silicon. Phys. Rev. 1989, 40, 2831. [Google Scholar] [CrossRef] [PubMed]
- Chokappa, D.; Paulette, C. A computer simulation study of the melting and freezing properties of a system of Lennard-Jones particles. Mol. Phys. 1987, 61, 617–634. [Google Scholar] [CrossRef]
- Holender, J.M. Molecular-Dynamics studies of the thermal properties of the solid and liquid fcc metals Ag, Au, Cu, and Ni using many-body interactions. Phys. Rev. 1990, 41, 8054. [Google Scholar] [CrossRef]
- Li, Y.; Guo, Y.; Xiong, S.; Yi, H. Enhanced heat transport in amorphous silicon via microstructure modulation. Int. J. Heat Mass Transf. 2024, 222, 125167. [Google Scholar] [CrossRef]
- Flores, M.; Blanco, O.; Muhl, S.; Pina, C.; Heiras, J. Corrosion of a Zn–Al–Cu alloy coated with TiN/Ti films. Surf. Coat. Technol. 1988, 108, 449–453. [Google Scholar] [CrossRef]
- Zientarski, T.; Chocyk, D. Strain and structure in nano Ag films deposited on Au: Molecular dynamics simulation. Appl. Surf. Sci. 2014, 306, 56–59. [Google Scholar] [CrossRef]
- Zhou, X.Y.; Yu, X.X.; Jacobson, D.; Thompson, G.B. A molecular dynamics study on stress generation during thin film growth. Appl. Surf. Sci. 2019, 469, 537–552. [Google Scholar] [CrossRef]
- Xiang, H.F.; Xu, Z.X.; Roy, V.A.L.; Che, C.M.; Lai, P.T. Method for measurement of the density of thin films of small organic molecules. Rev. Sci. Instrum. 2007, 78, 034104. [Google Scholar] [CrossRef]




















Disclaimer/Publisher’s Note: The statements, opinions and data contained in all publications are solely those of the individual author(s) and contributor(s) and not of MDPI and/or the editor(s). MDPI and/or the editor(s) disclaim responsibility for any injury to people or property resulting from any ideas, methods, instructions or products referred to in the content. |
© 2024 by the authors. Licensee MDPI, Basel, Switzerland. This article is an open access article distributed under the terms and conditions of the Creative Commons Attribution (CC BY) license (https://creativecommons.org/licenses/by/4.0/).
Share and Cite
Zhou, Z.; Ji, C.; Hou, D.; Jiang, S.; Ouyang, Y.; Dong, F.; Liu, S. Molecular Dynamics Analysis of Multi-Factor Influences on Structural Defects in Deposited Mg-Matrix Zn Atom Films. Materials 2024, 17, 4700. https://doi.org/10.3390/ma17194700
Zhou Z, Ji C, Hou D, Jiang S, Ouyang Y, Dong F, Liu S. Molecular Dynamics Analysis of Multi-Factor Influences on Structural Defects in Deposited Mg-Matrix Zn Atom Films. Materials. 2024; 17(19):4700. https://doi.org/10.3390/ma17194700
Chicago/Turabian StyleZhou, Zhen, Chaoyue Ji, Dongyang Hou, Shunyong Jiang, Yuhang Ouyang, Fang Dong, and Sheng Liu. 2024. "Molecular Dynamics Analysis of Multi-Factor Influences on Structural Defects in Deposited Mg-Matrix Zn Atom Films" Materials 17, no. 19: 4700. https://doi.org/10.3390/ma17194700
APA StyleZhou, Z., Ji, C., Hou, D., Jiang, S., Ouyang, Y., Dong, F., & Liu, S. (2024). Molecular Dynamics Analysis of Multi-Factor Influences on Structural Defects in Deposited Mg-Matrix Zn Atom Films. Materials, 17(19), 4700. https://doi.org/10.3390/ma17194700

