Dynamic Response of Fiber–Metal Laminates Sandwich Beams under Uniform Blast Loading
Abstract
1. Introduction
2. Problem Formulation
3. Analytical Solutions
4. Finite Element Analysis
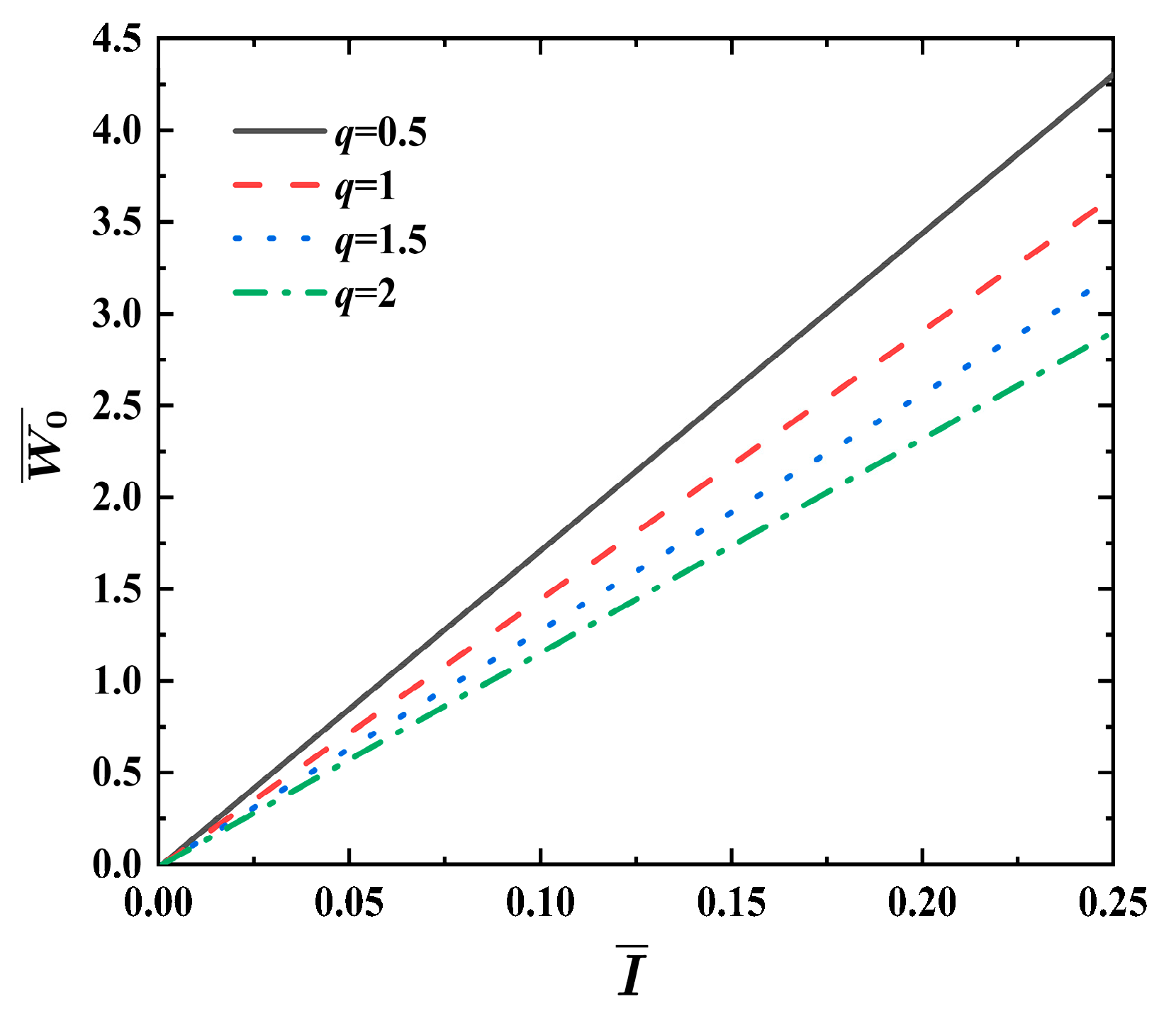
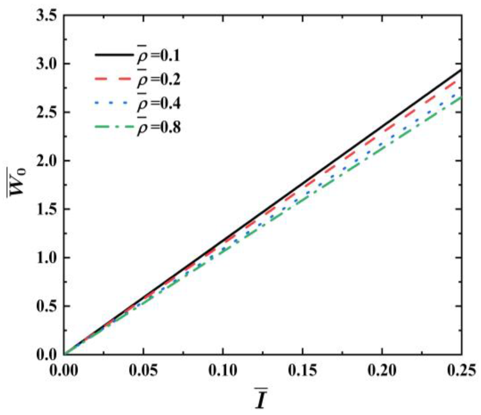
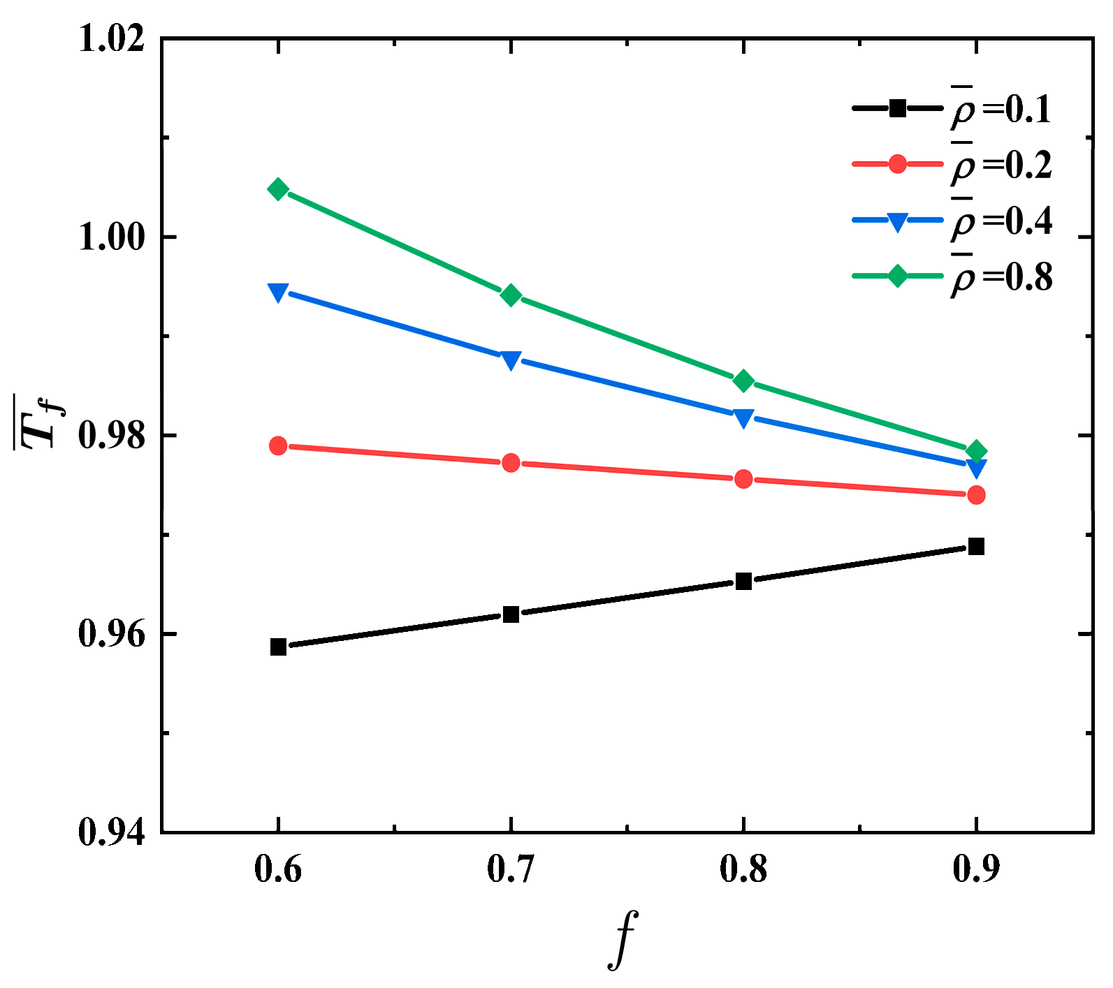
5. Results and Discussion
6. Concluding Remarks
Author Contributions
Funding
Institutional Review Board Statement
Informed Consent Statement
Data Availability Statement
Conflicts of Interest
References
- Soutis, C. Fibre reinforced composites in aircraft construction. Prog. Aerosp. Sci. 2005, 41, 143–151. [Google Scholar] [CrossRef]
- Ding, Z.; Wang, H.; Luo, J.; Li, N. A review on forming technologies of fibre metal laminates. Int. J. Lightw. Mater. Manuf. 2021, 4, 110–126. [Google Scholar] [CrossRef]
- Khalid, M.; Al Rashid, A.; Sheikh, M. Effect of anodizing process on inter laminar shear strength of GLARE composite through T-Peel Test: Experimental and numerical approach. Exp. Tech. 2021, 45, 227–235. [Google Scholar] [CrossRef]
- Annamalai, I.; Karthik, K.; Kumar, N.; Muthuselvan, S.; Vignesh, M.; Dhanush, Y.J. Experimental investigation of mechanical properties of GLARE composite with different layup sequences. Mater. Today Proc. 2021, 46, 1371–1375. [Google Scholar] [CrossRef]
- Kali, N.; Korla, R.; Korla, S. Influence of nanoparticles on mechanical properties of hybrid polymer-layered fibre metal laminates (FMLs). Trans. Indian Inst. Met. 2022, 75, 1979–1988. [Google Scholar] [CrossRef]
- Xie, M.; Zhan, L.; Ma, B.; Hui, S. Classification of fiber metal laminates (FMLs), adhesion theories and methods for improving interfacial adhesion: A review. Thin-Walled Struct. 2024, 198, 111744. [Google Scholar] [CrossRef]
- Jakubczak, P.; Podolak, P.; Droździel-Jurkiewicz, M. The assessment of the compressive strength of fibre metal laminates after low-velocity impact. Compos. Struct. 2023, 320, 117208. [Google Scholar] [CrossRef]
- Braga, G.G.; Giusti, G.; dos Santos, J.C.; Lopes Silva, D.A.; Christoforo, A.L.; Panzera, T.H.; Scarpa, F. Life cycle assessment of fibre metal laminates: An ecodesign approach. Compos. Part C Open Access 2024, 13, 100435. [Google Scholar] [CrossRef]
- Zhang, J.X.; Ye, Y.; Zhu, Y.Q.; Yuan, H.; Qin, Q.H.; Wang, T.J. On axial splitting and curling behaviour of circular sandwich metal tubes with metal foam core. Int. J. Solids Struct. 2020, 202, 111–125. [Google Scholar] [CrossRef]
- Birman, V.; Kardomateas, G.A. Review of current trends in research and applications of sandwich structures. Compos. Part B Eng. 2018, 142, 221–240. [Google Scholar] [CrossRef]
- Tarlochan, F. Sandwich structures for energy absorption applications: A review. Materials 2021, 14, 4731. [Google Scholar] [CrossRef] [PubMed]
- Ashby, M.F.; Evans, A.G.; Fleck, N.A.; Hutchinson, J.W.; Gibson, L.J.; Wadley, H.N.G. Metal Foams: A Design Guide; Butterworth-Heinemann: London, UK, 2000; pp. 1–251. [Google Scholar]
- Wu, H.; Qu, J.; Wu, L. Experimental and numerical study on impact behavior of hourglass lattice sandwich structures with gradients. Materials 2023, 16, 6275. [Google Scholar] [CrossRef] [PubMed]
- Xiong, J.; Ma, L.; Wu, L.Z.; Wang, B.; Vaziri, A. Fabrication and crushing behavior of low density carbon fiber composite pyramidal truss structures. Compos. Struct. 2010, 92, 2695–2702. [Google Scholar] [CrossRef]
- Guo, H.Y.; Yuan, H.; Zhang, J.X.; Ruan, D. Review of sandwich structures under impact loadings: Experimental, numerical and theoretical analysis. Thin-Walled Struct. 2024, 196, 111541. [Google Scholar] [CrossRef]
- Sawant, R.; Patel, M.; Patel, S. Numerical analysis of honeycomb sandwich panels under blast load. Mater. Today Proc. 2023, 87, 67–73. [Google Scholar] [CrossRef]
- Yin, S.; Wu, L.Z.; Ma, L.; Nutt, S. Hybrid truss concepts for carbon fiber composite pyramidal lattice structures. Compos. Part B Eng. 2012, 43, 1749–1755. [Google Scholar] [CrossRef]
- Sun, G.Y.; Huo, X.T.; Chen, D.D.; Li, Q. Experimental and numerical study on honeycomb sandwich panels under bending and in-panel compression. Mater. Des. 2017, 133, 154–168. [Google Scholar] [CrossRef]
- Guo, H.Y.; Zhang, J.X. Expansion of sandwich tubes with metal foam core under axial compression. J. Appl. Mech. ASME 2023, 90, 051008. [Google Scholar] [CrossRef]
- Fleck, N.A.; Deshpande, V.S. The resistance of clamped sandwich beams to shock loading. J. Appl. Mech. ASME 2004, 71, 123–130. [Google Scholar] [CrossRef]
- Imbalzano, G.; Tran, P.; Ngo, T.D.; Lee, P.V.S. A numerical study of auxetic composite panels under blast loadings. Compos. Struct. 2016, 135, 339–352. [Google Scholar] [CrossRef]
- Zhou, X.; Jing, L. Deflection analysis of clamped square sandwich panels with layered-gradient foam cores under blast loading. Thin-Walled Struct. 2020, 157, 107141. [Google Scholar] [CrossRef]
- Zhu, F.; Zhao, L.; Lu, G.; Gad, E. A numerical simulation of the blast impact of square metallic sandwich panels. Int. J. Impact Eng. 2009, 36, 687–699. [Google Scholar] [CrossRef]
- Li, S.; Li, X.; Wang, Z.; Wu, G.; Lu, G.; Zhao, L. Finite element analysis of sandwich panels with stepwise graded aluminum honeycomb cores under blast loading. Compos. Part A Appl. Sci. Manuf. 2016, 80, 1–12. [Google Scholar] [CrossRef]
- Karagiozova, D.; Nurick, G.N.; Langdon, G.S.; Kim Yuen, S.C.; Chi, Y. Response of flexible sandwich-type panels to blast loading. Compos. Sci. Technol. 2009, 69, 754–763. [Google Scholar] [CrossRef]
- Shen, J.; Lu, G.; Wang, Z. Experiments on curved sandwich panels under blast loading. Int. J. Impact Eng. 2010, 37, 960–970. [Google Scholar] [CrossRef]
- Liu, H.; Cao, Z.K.; Yao, G.C.; Luo, H.J.; Zu, G.Y. Performance of aluminum foam–steel panel sandwich composites subjected to blast loading. Mater. Des. 2013, 47, 483–488. [Google Scholar] [CrossRef]
- Arora, X.X.H.; Del Linz, D.X.; Dear, J.P. Damage and deformation in composite sandwich panels exposed to multiple and single explosive blasts. Int. J. Impact Eng. 2017, 104, 95–106. [Google Scholar] [CrossRef]
- Xue, Z.; Hutchinson, J.W. Preliminary assessment of sandwich plates subject to blast loads. Int. J. Mech. Sci. 2003, 45, 687–705. [Google Scholar] [CrossRef]
- Varghese, R.M.; Varghese, K.M. Comparative study on the blast load response of woven and lattice core metallic sandwich panels. Mater. Today Proc. 2022, 65, 1343–1347. [Google Scholar] [CrossRef]
- Soutis, C.; Mohamed, G.; Hodzic, A. Modelling the structural response of GLARE panels to blast load. Compos. Struct. 2011, 94, 267–276. [Google Scholar] [CrossRef]
- Langdon, G.S.; Chi, Y.; Nurick, G.N.; Haupt, P. Response of GLARE© panels to blast loading. Eng. Struct. 2009, 31, 3116–3120. [Google Scholar] [CrossRef]
- Zhang, J.; Huang, W.; Miao, F.; Du, J.; Sun, H. Plastic behavior of sandwich beams with fiber metal laminate face-sheets and metal foam core: Combined local denting and overall deformation. Thin-Walled Struct. 2022, 173, 108973. [Google Scholar] [CrossRef]
- Yuan, H.; Zhang, J. Dynamic response of slender multilayer sandwich beams with fiber-metal laminate face-sheets subjected to low-velocity impact. Thin-Walled Struct. 2022, 172, 108932. [Google Scholar] [CrossRef]
- Liu, C.; Zhang, Y.X.; Li, J. Impact responses of sandwich panels with fibre metal laminate skins and aluminium foam core. Compos. Struct. 2017, 182, 183–190. [Google Scholar] [CrossRef]
- Liu, C.; Zhang, X.; Ye, L. High velocity impact responses of sandwich panels with metal fibre laminate skins and aluminium foam core. Int. J. Impact Eng. 2017, 100, 139–153. [Google Scholar] [CrossRef]
- Ma, X.; Li, X.; Li, S.; Li, R.; Wang, Z.; Wu, G. Blast response of gradient honeycomb sandwich panels with basalt fiber metal laminates as skins. Int. J. Impact Eng. 2019, 123, 126–139. [Google Scholar] [CrossRef]
- Kong, X.; Zhou, H.; Zheng, C.; Zhu, Z.; Wu, W.; Guan, Z.; Dear, J.P.; Liu, H. Dynamic response and failure behaviour of thermoplastic fibre–metal laminates subjected to confined blast load. Thin-Walled Struct. 2023, 187, 110760. [Google Scholar] [CrossRef]
- Baştürk, S.B.; Tanoğlu, M.; Çankaya, M.A.; Eğilmez, O. Dynamic behavior predictions of fiber-metal laminate/aluminum foam sandwiches under various explosive weights. J. Sandw. Struct. Mater. 2016, 18, 321–342. [Google Scholar] [CrossRef]
- Reyes, G. Mechanical behavior of thermoplastic FML-reinforced sandwich panels using an aluminum foam core: Experiments and modeling. J. Sandw. Struct. Mater. 2009, 12, 81–96. [Google Scholar] [CrossRef]
- Jones, N. Note on the impact behaviour of fibre-metal laminates. Int. J. Impact Eng. 2017, 108, 147–152. [Google Scholar] [CrossRef]
- Zhang, J.; Qin, Q.; Wang, T.J. Compressive strengths and dynamic response of corrugated metal sandwich plates with unfilled and foam-filled sinusoidal plate cores. Acta Mech. 2013, 224, 759–775. [Google Scholar] [CrossRef]
- Dassault Systèmes. ABAQUS 2023 (Version 2023) [Software]. Available online: https://www.3ds.com/products-services/simulia/products/abaqus/ (accessed on 1 January 2024).
- Tagarielli, V.L.; Fleck, N.A.; Deshpande, V.S. Collapse of clamped and simply supported composite sandwich beams in three-point bending. Compos. Part B Eng. 2004, 35, 523–534. [Google Scholar] [CrossRef]
- Deshpande, V.S.; Fleck, N.A. Isotropic constitutive models for metallic foams. J. Mech. Phys. Solids 2000, 48, 1253–1283. [Google Scholar] [CrossRef]










Disclaimer/Publisher’s Note: The statements, opinions and data contained in all publications are solely those of the individual author(s) and contributor(s) and not of MDPI and/or the editor(s). MDPI and/or the editor(s) disclaim responsibility for any injury to people or property resulting from any ideas, methods, instructions or products referred to in the content. |
© 2024 by the authors. Licensee MDPI, Basel, Switzerland. This article is an open access article distributed under the terms and conditions of the Creative Commons Attribution (CC BY) license (https://creativecommons.org/licenses/by/4.0/).
Share and Cite
Yang, J.; Guo, Y.; Wu, Y.; Zhang, J. Dynamic Response of Fiber–Metal Laminates Sandwich Beams under Uniform Blast Loading. Materials 2024, 17, 4482. https://doi.org/10.3390/ma17184482
Yang J, Guo Y, Wu Y, Zhang J. Dynamic Response of Fiber–Metal Laminates Sandwich Beams under Uniform Blast Loading. Materials. 2024; 17(18):4482. https://doi.org/10.3390/ma17184482
Chicago/Turabian StyleYang, Jianan, Yafei Guo, Yafei Wu, and Jianxun Zhang. 2024. "Dynamic Response of Fiber–Metal Laminates Sandwich Beams under Uniform Blast Loading" Materials 17, no. 18: 4482. https://doi.org/10.3390/ma17184482
APA StyleYang, J., Guo, Y., Wu, Y., & Zhang, J. (2024). Dynamic Response of Fiber–Metal Laminates Sandwich Beams under Uniform Blast Loading. Materials, 17(18), 4482. https://doi.org/10.3390/ma17184482

