Tensile Deformation Mechanism of an In Situ Formed Ti-Based Bulk Metallic Glass Composites
Abstract
1. Introduction
2. Materials and Methods
3. Results
3.1. Microstructure of As-Cast Ti-BMGMCs
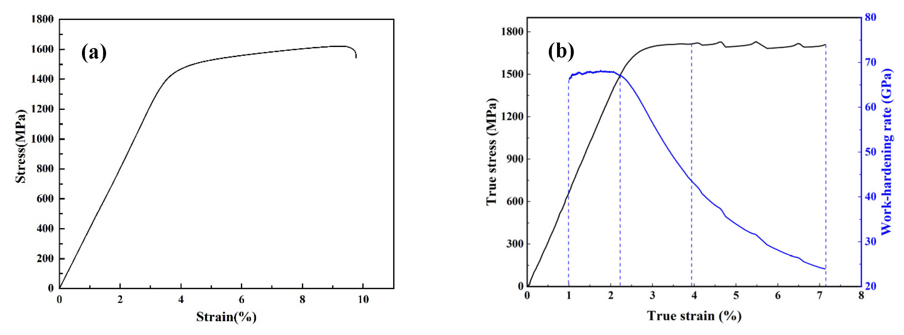
3.2. Mechanical Properties
3.3. Fractography of Deformed Ti-Based BMGMCs
4. Discussion
4.1. Tensile Deformation Structures of Ti-Based BMGMCs Based on the TEM and HRTEM Analyses
4.1.1. Local Amorphization
4.1.2. BCC → HCP Structural Transition
4.2. Deformation Mechanism during Tension
5. Conclusions
Author Contributions
Funding
Institutional Review Board Statement
Informed Consent Statement
Data Availability Statement
Acknowledgments
Conflicts of Interest
References
- Löffler, J.F. Bulk metallic glasses. Intermetallics 2003, 11, 529–540. [Google Scholar] [CrossRef]
- Wang, H. Bulk metallic glass composites. J. Mater. Sci. Technol. 2005, 21, 86–90. [Google Scholar]
- Johnson, W.L. Bulk metallic glasses—A new engineering material. Curr. Opin. Solid State Mater. Sci. 1996, 1, 383–386. [Google Scholar] [CrossRef]
- Ashby, M.F.; Greer, A.L. Metallic glasses as structural materials. Scr. Mater. 2006, 54, 321–326. [Google Scholar] [CrossRef]
- Chen, M. A brief overview of bulk metallic glasses. NPG Asia Mater. 2011, 3, 82–90. [Google Scholar] [CrossRef]
- Schuh, C.A.; Hufnagel, T.C.; Ramamurty, U. Mechanical behavior of amorphous alloys. Acta Materialia 2007, 55, 4067–4109. [Google Scholar] [CrossRef]
- Hofmann, D.C. Shape Memory Bulk Metallic Glass Composites. Science 2010, 329, 1294–1295. [Google Scholar] [CrossRef]
- Qiao, J.; Jia, H.; Liaw, P.K. Metallic glass matrix composites. Mater. Sci. Eng. R Rep. 2016, 100, 1–69. [Google Scholar] [CrossRef]
- Zhang, L.; Narayan, R.L.; Fu, H.M.; Ramamurty, U.; Li, W.R.; Li, Y.D.; Zhang, H.F. Tuning the microstructure and metastability of β-Ti for simultaneous enhancement of strength and ductility of Ti-based bulk metallic glass composites. Acta Mater. 2019, 168, 24–36. [Google Scholar] [CrossRef]
- Eckert, J.; Das, J.; Pauly, S.; Duhamel, C. Mechanical properties of bulk metallic glasses and composites. J. Mater. Res. 2007, 22, 285–301. [Google Scholar] [CrossRef]
- Wu, Y.; Xiao, Y.; Chen, G.; Liu, C.T.; Lu, Z. Bulk Metallic Glass Composites with Transformation-Mediated Work-Hardening and Ductility. Adv. Mater. 2010, 22, 2770–2773. [Google Scholar] [CrossRef] [PubMed]
- Hays, C.C.; Kim, C.P.; Johnson, W.L. Microstructure Controlled Shear Band Pattern Formation and Enhanced Plasticity of Bulk Metallic Glasses Containing in situ Formed Ductile Phase Dendrite Dispersions. Phys. Rev. Lett. 2000, 84, 2901–2904. [Google Scholar] [CrossRef] [PubMed]
- Hofmann, D.C.; Suh, J.-Y.; Wiest, A.; Duan, G.; Lind, M.-L.; Demetriou, M.D.; Johnson, W.L. Designing metallic glass matrix composites with high toughness and tensile ductility. Nature 2008, 451, 1085-U1083. [Google Scholar] [CrossRef]
- Qiao, J.W.; Sun, A.C.; Huang, E.W.; Zhang, Y.; Liaw, P.K.; Chuang, C.P. Tensile deformation micromechanisms for bulk metallic glass matrix composites: From work-hardening to softening. Acta Mater. 2011, 59, 4126–4137. [Google Scholar] [CrossRef]
- Zhang, L.; Pauly, S.; Tang, M.Q.; Eckert, J.; Zhang, H.F. Two-phase quasi-equilibrium in beta-type Ti-based bulk metallic glass composites. Sci. Rep. 2016, 6, 19235. [Google Scholar] [CrossRef]
- Zhang, L.; Zhang, H.; Li, W.; Gemming, T.; Wang, P.; Bönisch, M.; Şopu, D.; Eckert, J.; Pauly, S. β-type Ti-based bulk metallic glass composites with tailored structural metastability. J. Alloys Compd. 2017, 708, 972–981. [Google Scholar] [CrossRef]
- Fan, J.; Rao, W.; Qiao, J.; Liaw, P.K.; Sopu, D.; Kiener, D.; Eckert, J.; Kang, G.; Wu, Y. Achieving work hardening by forming boundaries on the nanoscale in a Ti-based metallic glass matrix composite. J. Mater. Sci. Technol. 2020, 50, 192–203. [Google Scholar] [CrossRef]
- Hofmann, D.C.; Suh, J.-Y.; Wiest, A.; Lind, M.-L.; Demetriou, M.D.; Johnson, W.L. Development of tough, low-density titanium-based bulk metallic glass matrix composites with tensile ductility. Proc. Natl. Acad. Sci. USA 2008, 105, 20136–20140. [Google Scholar] [CrossRef]
- Fan, J.; Qiao, J.W.; Wang, Z.H.; Rao, W.; Kang, G.Z. Twinning-induced plasticity (TWIP) and work hardening in Ti-based metallic glass matrix composites. Sci. Rep. 2017, 7, 1877. [Google Scholar] [CrossRef]
- Ha, D.J.; Kim, C.P.; Lee, S. Tensile deformation behavior of two Ti-based amorphous matrix composites containing ductile beta dendrites. Mater. Sci. Eng. A Struct. Mater. Prop. Microstruct. Process. 2012, 552, 404–409. [Google Scholar] [CrossRef]
- Zhang, L.; Zhang, H.F.; Li, W.Q.; Gemming, T.; Zhu, Z.W.; Fu, H.M.; Eckert, J.; Pauly, S. Negentropic stabilization of metastable β-Ti in bulk metallic glass composites. Scripta Materialia 2016, 125, 19–23. [Google Scholar] [CrossRef]
- Zhang, L.; Chen, S.; Fu, H.M.; Li, H.; Zhu, Z.W.; Zhang, H.W.; Li, Z.K.; Wang, A.M.; Zhang, H.F. Tailoring modulus and hardness of in-situ formed beta-Ti in bulk metallic glass composites by precipitation of isothermal omega-Ti. Mater. Des. 2017, 133, 82–90. [Google Scholar] [CrossRef]
- Zhang, L.; Narayan, R.L.; Sun, B.A.; Yan, T.Y.; Ramamurty, U.; Eckert, J.; Zhang, H.F. Cooperative Shear in Bulk Metallic Glass Composites Containing Metastable beta-Ti Dendrites. Phys. Rev. Lett. 2020, 125, 055501. [Google Scholar] [CrossRef]
- Mu, J.; Zhu, Z.; Su, R.; Wang, Y.; Zhang, H.; Ren, Y. In situ high-energy X-ray diffraction studies of deformation-induced phase transformation in Ti-based amorphous alloy composites containing ductile dendrites. Acta Mater. 2013, 61, 5008–5017. [Google Scholar] [CrossRef]
- Zhang, J.; Zhang, L.; Zhang, H.; Fu, H.; Li, H.; Zhang, H. Strengthening Ti-based bulk metallic glass composites containing phase transformable beta-Ti via Al addition. Scr. Mater. 2019, 173, 11–15. [Google Scholar] [CrossRef]
- Ekman, M.; Sadigh, B.; Einarsdotter, K.; Blaha, P. Ab initio study of the martensitic bcc-hcp transformation in iron. Phys. Rev. B 1998, 58, 5296. [Google Scholar] [CrossRef]
- Jiang, S.S.; Gan, K.F.; Huang, Y.J.; Xue, P.; Ning, Z.L.; Sun, J.F.; Ngan, A.H.W. Stochastic deformation and shear transformation zones of the glassy matrix in CuZr-based metallic-glass composites. Int. J. Plast. 2020, 125, 52–62. [Google Scholar] [CrossRef]
- Zhou, J.; Wu, H.; Wu, Y.; Song, W.; Chen, R.; Tan, C.; Xie, G.; Cao, D.; Wang, H.; Liu, X.; et al. Enhancing dynamic mechanical properties of bulk metallic glass composites via deformation-induced martensitic transformation. Scr. Mater. 2020, 186, 346–351. [Google Scholar] [CrossRef]
- Chen, Y.; Tang, C.; Jiang, J.-Z. Bulk metallic glass composites containing B2 phase. Prog. Mater. Sci. 2021, 121, 100799. [Google Scholar] [CrossRef]
- ASTM E8/E8M-22; Standard Test Methods for Tension Testing of Metallic Materials. ASTM International: West Conshohocken, PA, USA, 2022.
- Oliver, W.C.; Pharr, G.M. An improved technique for determining hardness and elastic modulus using load and displacement sensing indentation experiments. J. Mater. Res. 1992, 7, 1564–1583. [Google Scholar] [CrossRef]
- ICDD Database. Available online: https://www.icdd.com (accessed on 1 September 2022).
- Guo, Z.-x.; Wang, Y.-s.; Zhu, L.-j.; Zhang, Y.-f.; Zhang, Z.-h.; Ke, X.-x.; Lin, J.-p.; Hao, G.-j.; Zhang, Z.; Sui, M.-l. Beryllium-distribution in metallic glass matrix composite containing beryllium. Trans. Nonferrous Met. Soc. China 2017, 27, 110–116. [Google Scholar] [CrossRef]
- Wang, Y.-s.; Hao, G.-j.; Lin, J.-p. Tensile and compressive behavior of Ti-based bulk metallic glass composites. Int. J. Miner. Metall. Mater. 2013, 20, 582–588. [Google Scholar] [CrossRef]
- Qiao, J.W.; Zhang, Y.; Liaw, P.K.; Chen, G.L. Micromechanisms of plastic deformation of a dendrite/Zr-based bulk-metallic-glass composite. Scr. Mater. 2009, 61, 1087–1090. [Google Scholar] [CrossRef]
- Kim, K.B.; Das, J.; Baier, F.; Eckert, J. Lattice distortion/disordering and local amorphization in the dendrites of a Ti66.1Cu8Ni4.8Sn7.2Nb13.9 nanostructure-dendrite composite during intersection of shear bands. Appl. Phys. Lett. 2005, 86, 201909. [Google Scholar] [CrossRef]
- Wang, Q.; Liu, C.; Yang, Y.; Liu, J.; Dong, Y.; Lu, J. The atomic-scale mechanism for the enhanced glass-forming-ability of a Cu-Zr based bulk metallic glass with minor element additions. Sci. Rep. 2014, 4, 4648. [Google Scholar] [CrossRef]
- Tong, X.; Wang, G.; Yi, J.; Ren, J.L.; Pauly, S.; Gao, Y.L.; Zhai, Q.J.; Mattern, N.; Dahmen, K.A.; Liaw, P.K.; et al. Shear avalanches in plastic deformation of a metallic glass composite. Int. J. Plast. 2016, 77, 141–155. [Google Scholar] [CrossRef]
- Zhao, S.; Li, Z.; Zhu, C.; Yang, W.; Zhang, Z.; Armstrong, D.E.J.; Grant, P.S.; Ritchie, R.O.; Meyers, M.A. Amorphization in extreme deformation of the CrMnFeCoNi high-entropy alloy. Sci. Adv. 2021, 7, eabb3108. [Google Scholar] [CrossRef]
- Qian, B.; Li, X.; Wang, Y.; Hou, J.; Liu, J.; Zou, S.; An, F.; Lu, W. An Ultra-Low Modulus of Ductile TiZrHfTa Biomedical High-Entropy Alloys through Deformation Induced Martensitic Transformation/Twinning/Amorphization. Adv. Mater. 2024, 36, 2310926. [Google Scholar] [CrossRef]
- Banerjee, S.; Mukhopadhyay, P. Phase Transformations: Examples from Titanium and Zirconium Alloys; Elsevier: Amsterdam, The Netherlands, 2010. [Google Scholar]
- Sheng, H.; Zhang, L.; Zhang, H.; Wang, J.; Eckert, J.; Gammer, C. In situ TEM observation of phase transformation in bulk metallic glass composites. Mater. Res. Lett. 2021, 9, 190–195. [Google Scholar] [CrossRef]
- Yang, X.-S.; Sun, S.; Ruan, H.-H.; Shi, S.-Q.; Zhang, T.-Y. Shear and shuffling accomplishing polymorphic fcc γ → hcp ε → bct α martensitic phase transformation. Acta Mater. 2017, 136, 347–354. [Google Scholar] [CrossRef]
- Yang, W.; Luo, J.; Fu, H.; Cheung, C.F.; Ruan, H.; Yang, X.-S. bcc → hcp phase transition significantly enhancing the wear resistance of metastable refractory high-entropy alloy. Scripta Mater. 2022, 221, 114966. [Google Scholar] [CrossRef]
- Xu, B.; Falk, M.L.; Li, J.F.; Kong, L.T. Predicting Shear Transformation Events in Metallic Glasses. Phys. Rev. Lett. 2018, 120, 125503. [Google Scholar] [CrossRef]










| Zone | Composition (at%) | Vd (%) | λd (μm) | Sd (μm) | ||||||
|---|---|---|---|---|---|---|---|---|---|---|
| Ti | Zr | Cu | Ni | Nb | Be | |||||
| Ti-BMGMCs | Composite | 42.3 ± 0.03 | 28 ± 0.1 | 8.3 ± 0.1 | 1.7 ± 0 | 4.7 ± 0.02 | 15 ± 0.1 | 55 ± 2 | ~30 | ~5 |
| Dendrites | 53 ± 1.3 | 32.9 ± 0.2 | 6.1 ± 1.0 | 1.4 ± 0.3 | 6.6 ± 0.2 | - | ||||
| Matrix | 39.1 ± 0.4 | 40.8 ± 0.4 | 13.3 ± 0.1 | 3.4 ± 0.04 | 3.4 ± 0.1 | - | ||||
| Yielding Strength (MPa) | Ultimate Strength (MPa) | Elongation (%) | |
|---|---|---|---|
| Compression | 1531 | 1684 | 9.6 |
| Tension | 1495 | 1710 | 7.1 |
Disclaimer/Publisher’s Note: The statements, opinions and data contained in all publications are solely those of the individual author(s) and contributor(s) and not of MDPI and/or the editor(s). MDPI and/or the editor(s) disclaim responsibility for any injury to people or property resulting from any ideas, methods, instructions or products referred to in the content. |
© 2024 by the authors. Licensee MDPI, Basel, Switzerland. This article is an open access article distributed under the terms and conditions of the Creative Commons Attribution (CC BY) license (https://creativecommons.org/licenses/by/4.0/).
Share and Cite
Wang, H.; Chen, N.; Cheng, H.; Wang, Y.; Zhao, D. Tensile Deformation Mechanism of an In Situ Formed Ti-Based Bulk Metallic Glass Composites. Materials 2024, 17, 4486. https://doi.org/10.3390/ma17184486
Wang H, Chen N, Cheng H, Wang Y, Zhao D. Tensile Deformation Mechanism of an In Situ Formed Ti-Based Bulk Metallic Glass Composites. Materials. 2024; 17(18):4486. https://doi.org/10.3390/ma17184486
Chicago/Turabian StyleWang, Haiyun, Na Chen, Huanwu Cheng, Yangwei Wang, and Denghui Zhao. 2024. "Tensile Deformation Mechanism of an In Situ Formed Ti-Based Bulk Metallic Glass Composites" Materials 17, no. 18: 4486. https://doi.org/10.3390/ma17184486
APA StyleWang, H., Chen, N., Cheng, H., Wang, Y., & Zhao, D. (2024). Tensile Deformation Mechanism of an In Situ Formed Ti-Based Bulk Metallic Glass Composites. Materials, 17(18), 4486. https://doi.org/10.3390/ma17184486

