Effect of Carboxymethyl Cellulose and Polyvinyl Alcohol on the Dispersibility and Chemical Functional Group of Nonwoven Fabrics Composed of Recycled Carbon Fibers
Abstract
1. Introduction
2. Materials and Experimental Procedure
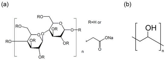
2.1. Materials
2.2. Experimental Methods and Analysis of Characteristics
3. Results and Discussion
3.1. Changes in Dispersibility and Chemical Properties Based on the Concentration of the Dispersant
3.2. Changes in Dispersibility and Chemical Properties Based on the Content of the Binder
3.3. Changes in Functional Mechanisms Based on the Concentration of the Dispersant and the Content of the Binder
4. Conclusions
Author Contributions
Funding
Institutional Review Board Statement
Informed Consent Statement
Data Availability Statement
Conflicts of Interest
References
- Zuo, S.; Cheng, F.; Yang, G.; Li, J.; Deng, Y.; Gou, G.; Cui, X.; Hu, Y.; Hu, X. An effective micro-arc oxidation (MAO) treatment on aluminum alloy for stronger bonding joint with carbon fiber composites. Compos. Part A Appl. Sci. Manuf. 2024, 177, 107919. [Google Scholar] [CrossRef]
- Karalis, G.; Zhao, J.; May, M.; Liebscher, M.; Wollny, I.; Dong, W.; Koberle, T.; Tzounis, L.; Kaliske, M.; Mechtcherine, V. Efficient Joule heaters based on mineral-impregnated carbon-fiber reinforcing grids: An experimental and numerical study on a multifunctional concrete structure as an electrothermal device. Carbon 2024, 222, 118898. [Google Scholar] [CrossRef]
- Huang, M.; Yan, L.; Zhang, H.; Ding, W.; Di, X.; Huang, Y.; Wang, Y.; Zhou, S.; Chen, Y.; Liang, M.; et al. Improving high heat flux ablation resistance of silicone rubber composites by laying low-areal-density carbon fiber fabrics. Polymer 2024, 293, 126631. [Google Scholar] [CrossRef]
- Ozdemir, T.; Deitzel, J.M.; Crane, R.; Yarlagadda, S.; Blackwell, C.; Davis, M.; Emmerich, R.; Heider, D. Carbon Fiber Composites Recycling Technology Enabled by the TuFF Technology. Recycling 2023, 9, 11. [Google Scholar] [CrossRef]
- Quan, G.; Wu, Y.; Li, W.; Li, D.; Liu, X.; Wang, K.; Dai, S.; Xiao, L.; Ao, Y. Construction of cellulose nanofiber/carbon nanotube synergistic network on carbon fiber surface to enhance mechanical properties and thermal conductivity of composites. Compos. Sci. Technol. 2024, 248, 110454. [Google Scholar] [CrossRef]
- Zuo, W.; Luo, Q.; Li, Q.; Sun, G. Effect of thermal and hydrothermal aging on the crashworthiness of carbon fiber reinforced plastic composite tubes. Compos. Struct. 2023, 303, 116136. [Google Scholar] [CrossRef]
- Chauhan, A.; Agnihotri, P.K.; Basu, S. Molecular dynamic study on modulating the interfacial thermal conductivity of carbon fiber/epoxy interfaces. Comput. Mater. Sci. 2023, 217, 111914. [Google Scholar] [CrossRef]
- Dharmasiri, B.; Stojcevski, F.; Usman, K.A.S.; Qin, S.A.; Razal, J.M.; Doeven, E.H.; Francis, P.S.; Connell, T.U.; Yin, Y.; Andersson, G.G.; et al. Flexible carbon fiber based structural supercapacitor composites with solvate ionic liquid-epoxy solid electrolyte. Chem. Eng. J. 2023, 455, 140778. [Google Scholar] [CrossRef]
- Chin, K.Y.; Shiue, A.; Wu, Y.J.; Chang, S.M.; Li, Y.F.; Shen, M.Y.; Leggett, G. Studies on Recycling Silane Controllable Recovered Carbon Fiber from Waste CFRP. Sustainability 2022, 14, 700. [Google Scholar] [CrossRef]
- Kim, G.; Lee, H.; Kim, M.; Kim, D.U. Investigating the Effects of Nitric Acid Treatments on the Properties of Recycled Carbon Fiber. Polymers 2023, 15, 824. [Google Scholar] [CrossRef]
- Kim, G.; Lee, H.; Kim, K.; Kim, D.U. Effects of Heat Treatment Atmosphere and Temperature on the Properties of Carbon Fibers. Polymers 2022, 14, 2412. [Google Scholar] [CrossRef] [PubMed]
- Lee, H.; Kim, G.; Kim, D.U. Effect of Plasma Treatment Condition on Mechanical and Chemical Properties of Carbon Fibers. J. Mater. Eng. Perform. 2023, 32, 415. [Google Scholar] [CrossRef]
- Lee, H.; Kim, M.; Kim, G.; Kim, D. Effect of the Chemical Properties of Silane Coupling Agents on Interfacial Bonding Strength with Thermoplastics in the Resizing of Recycled Carbon Fibers. Polymers 2023, 15, 4273. [Google Scholar] [CrossRef]
- Qiang, X.; Wang, T.; Xue, H.; Ding, J.; Deng, C. Study on Low-Velocity Impact and Residual Compressive Mechanical Properties of Carbon Fiber–Epoxy Resin Composites. Materials 2024, 17, 3766. [Google Scholar] [CrossRef]
- Fu, W.; Xiong, H.; Liao, Z.; Ma, J.; Fu, Y.; Wang, B. A 3D Elastoplastic Constitutive Model Considering Progressive Damage Behavior for Thermoplastic Composites of T700/PEEK. Materials 2024, 17, 3317. [Google Scholar] [CrossRef]
- Wen, L.; Shen, H.; Chen, Z. Interlaminar Properties of Prepregs Reinforced with Multiwalled Carbon Nanotubes/Graphene Oxide. Materials 2023, 16, 5285. [Google Scholar] [CrossRef] [PubMed]
- Valente, M.; Sambucci, M.; Rossitti, I.; Abruzzese, S.; Sergi, C.; Sarasini, F.; Tirillò, J. Carbon-Fiber-Recycling Strategies: A Secondary Waste Stream Used for PA6,6 Thermoplastic Composite Applications. Materials 2023, 16, 5436. [Google Scholar] [CrossRef]
- Butenegro, J.A.; Bahrami, M.; Abenojar, J.; Martínez, M.Á. Recent Progress in Carbon Fiber Reinforced Polymers Recycling: A Review of Recycling Methods and Reuse of Carbon Fibers. Materials 2021, 14, 6401. [Google Scholar] [CrossRef]
- Wilson, P.R.; Ratner, A.; Stocker, G.; Syred, F.; Kirwan, K.; Coles, S.R. Interlayer Hybridization of Virgin Carbon, Recycled Carbon and Natural Fiber Laminates. Materials 2020, 13, 4955. [Google Scholar] [CrossRef]
- Pakdel, E.; Kashi, S.; Varley, R.; Wang, X. Recent progress in recycling carbon fibre reinforced composites and dry carbon fibre wastes. Resour. Conserv. Recycl. 2021, 166, 105340. [Google Scholar] [CrossRef]
- Ghossein, H.; Hassen, A.A.; Paquit, V.; Love, L.J.; Vaidya, U.K. Innovative Method for Enhancing Carbon Fibers Dispersion in Wet-Laid Nonwovens. Mater. Today Commun. 2018, 17, 100–108. [Google Scholar] [CrossRef]
- Meredith, J.; Cazuc, J.S.C.; Collungs, E.; Carter, S.; Alsop, S.; Lever, J.; Coles, S.R.; Wood, B.M.; Kirwan, K. Recycled carbon fibre for high performance energy absorption. Compos. Sci. Technol. 2012, 72, 688–695. [Google Scholar] [CrossRef]
- Xiao, B.; Zaima, T.; Shindo, K.; Kohira, T.; Morisawa, J.; Wan, Y.; Yin, G.; Ohsawa, I.; Takahashi, J. Characterization and elastic property modeling of discontinuous carbon fiber reinforced thermoplastics prepared by a carding and stretching system using treated carbon fibers. Compos. Part A Appl. Sci. Manuf. 2019, 126, 105598. [Google Scholar] [CrossRef]
- Gao, Q.; Wan, Y.; Wei, H.; Takahashi, J. Characterization and prediction of tensile properties of carbon fiber-reinforced thermoplastics composed of hybrid short carbon fiber/PA6 fiber nonwoven mats. Compos. Struct. 2024, 334, 117996. [Google Scholar] [CrossRef]
- Hu, Q.; Duan, Y.; Zheng, X.; Nie, W.; Zou, L.; Xu, Z. Lightweight, flexible, and highly conductive recycled carbon fiber felt for electromagnetic interference shielding. J. Alloys Compd. 2023, 935, 168152. [Google Scholar] [CrossRef]
- Hung, C.H.; Chiu, C.H.; Wang, S.P.; Chiang, I.L.; Yang, H. Ultra thin gas diffusion layer development for PEMFC. Appl. Surf. Sci. 2012, 37, 12805–12812. [Google Scholar] [CrossRef]
- Lian, B.; Chen, L.; Liu, M.; Fang, T.; Hu, J.; Li, H. The quantitative analysis for the formation of carbon fiber paper and its influencing factors. Compos. Nanocomposites 2020, 55, 6566–6580. [Google Scholar] [CrossRef]
- Wang, S.; Akbolat, M.C.; Inal, Q.; Katnam, K.B.; Zou, Z.; Potluri, P.; Taylor, J. On the effect of binders on interlaminar fracture energies and R-curves of carbon/epoxy laminates with non-woven micro-fibre veils. Compos. Part A Appl. Sci. Manuf. 2022, 162, 107150. [Google Scholar] [CrossRef]
- Lionetto, F.; Moscatello, A.; Maffezzoli, A. Effect of binder powders added to carbon fiber reinforcements on the chemoreology of an epoxy resin for composites. Compos. Part B Eng. 2017, 112, 243–250. [Google Scholar] [CrossRef]
- ISO/TC 38; Basic Reference Model of Open Distributed Processing—Part 18. ISO: Geneve, Switzerland, 2023.
- Kim, K.K.; Kim, M.S.; Kim, G.H.; Kim, D.U. The Effect of Chemical and Thermal Treatment for Desizing on the Properties and Chemical Functional Groups of Carbon Fiber. Materials 2023, 16, 6732. [Google Scholar] [CrossRef]
- Qiu, B.; Sun, T.; Li, M.; Chen, Y.; Zhou, S.; Liang, M.; Zou, H. High micromechanical interlocking graphene oxide/carboxymethyl cellulose composite architectures for enhancing the interface adhesion between carbon fiber and epoxy. Compos. Part A Appl. Sci. Manuf. 2020, 139, 106092. [Google Scholar] [CrossRef]
- Jian, L. Effect of sizing agent on interfacial properties of carbon fiber-reinforced PMMA composite. Compos. Adv. Mater. 2021, 30. [Google Scholar] [CrossRef]
- Choi, B.K.; Lee, H.J.; Choi, W.K.; Lee, M.K.; Park, J.H.; Hwang, J.Y.; Seo, M.K. Effect of carbon fiber content on thermal and electrical conductivity, EMI shielding efficiency, and radiation energy of CMC/PVA composite papers with carbon fibers. Synth. Met. 2021, 273, 116708. [Google Scholar] [CrossRef]













| Type | Recycled CF |
|---|---|
| Tensile strength (GPa) | 3.95 |
| Modulus (GPa) | 258 |
| Elongation (%) | 2.38 |
| Density (g/cm3) | 1.80 |
| Dispersant (CMC) | Binder (PVA) | Elemental Composition (at. %) | O/C | |||
|---|---|---|---|---|---|---|
| Carbon | Oxygen | Nitrogen | Natrium | |||
| Untreated | 85.66 | 12.46 | 1.88 | - | 0.15 | |
| 0.2% | 10% | 78.05 | 18.59 | 1.46 | 1.90 | 0.21 |
| 0.4% | 75.00 | 21.10 | 1.26 | 2.64 | 0.28 | |
| 0.6% | 75.72 | 23.00 | 1.17 | 3.11 | 0.31 | |
| Dispersant (CMC) | Binder (PVA) | Elemental Composition (at. %) | O/C | |||
|---|---|---|---|---|---|---|
| Carbon | Oxygen | Nitrogen | Natrium | |||
| Untreated | 85.66 | 12.46 | 1.88 | - | 0.15 | |
| 0.4% | 0% | 76.16 | 19.16 | 1.53 | 3.15 | 0.25 |
| 3% | 75.17 | 20.59 | 1.38 | 2.86 | 0.27 | |
| 10% | 75.00 | 21.10 | 1.26 | 2.64 | 0.28 | |
Disclaimer/Publisher’s Note: The statements, opinions and data contained in all publications are solely those of the individual author(s) and contributor(s) and not of MDPI and/or the editor(s). MDPI and/or the editor(s) disclaim responsibility for any injury to people or property resulting from any ideas, methods, instructions or products referred to in the content. |
© 2024 by the authors. Licensee MDPI, Basel, Switzerland. This article is an open access article distributed under the terms and conditions of the Creative Commons Attribution (CC BY) license (https://creativecommons.org/licenses/by/4.0/).
Share and Cite
Kim, K.; Kim, G.; Kim, D. Effect of Carboxymethyl Cellulose and Polyvinyl Alcohol on the Dispersibility and Chemical Functional Group of Nonwoven Fabrics Composed of Recycled Carbon Fibers. Materials 2024, 17, 4209. https://doi.org/10.3390/ma17174209
Kim K, Kim G, Kim D. Effect of Carboxymethyl Cellulose and Polyvinyl Alcohol on the Dispersibility and Chemical Functional Group of Nonwoven Fabrics Composed of Recycled Carbon Fibers. Materials. 2024; 17(17):4209. https://doi.org/10.3390/ma17174209
Chicago/Turabian StyleKim, Kyungeun, Gyungha Kim, and Daeup Kim. 2024. "Effect of Carboxymethyl Cellulose and Polyvinyl Alcohol on the Dispersibility and Chemical Functional Group of Nonwoven Fabrics Composed of Recycled Carbon Fibers" Materials 17, no. 17: 4209. https://doi.org/10.3390/ma17174209
APA StyleKim, K., Kim, G., & Kim, D. (2024). Effect of Carboxymethyl Cellulose and Polyvinyl Alcohol on the Dispersibility and Chemical Functional Group of Nonwoven Fabrics Composed of Recycled Carbon Fibers. Materials, 17(17), 4209. https://doi.org/10.3390/ma17174209

