A Comparative Study on the Texture of Exposed Aggregate Concrete (EAC) Pavements Using Different Measurement Techniques
Abstract
1. Introduction
2. Research Program
- –
- British Pendulum Number (BPN) using the British Pendulum Tester (BPT) according to ASTM 303 [37];
- –
- Friction coefficient DFT20 using Dynamic Friction Tester (DFT) according to ASTM E1911 [38];
- –
- MPD values using Circular Texture Meter (CTM) according to ASTM E2157-01 [39];
- –
- MPD values using Stationary Laser Profilograph (SLP) according to EN ISO 13473-1 [11];
- –
- MTD values according to EN 13036-1 [10].
3. Description of Measurement Procedures
3.1. Measurement of the BPN
3.2. Measurement of the DFT20
3.3. Measurement of the MTD Using Volumetric Patch Method (VPM)
3.4. Measurement of the MPD Using the CTM
3.5. Measurement of the MPD Using Stationary Laser Profilometer (SLP)
4. Results and Discussion
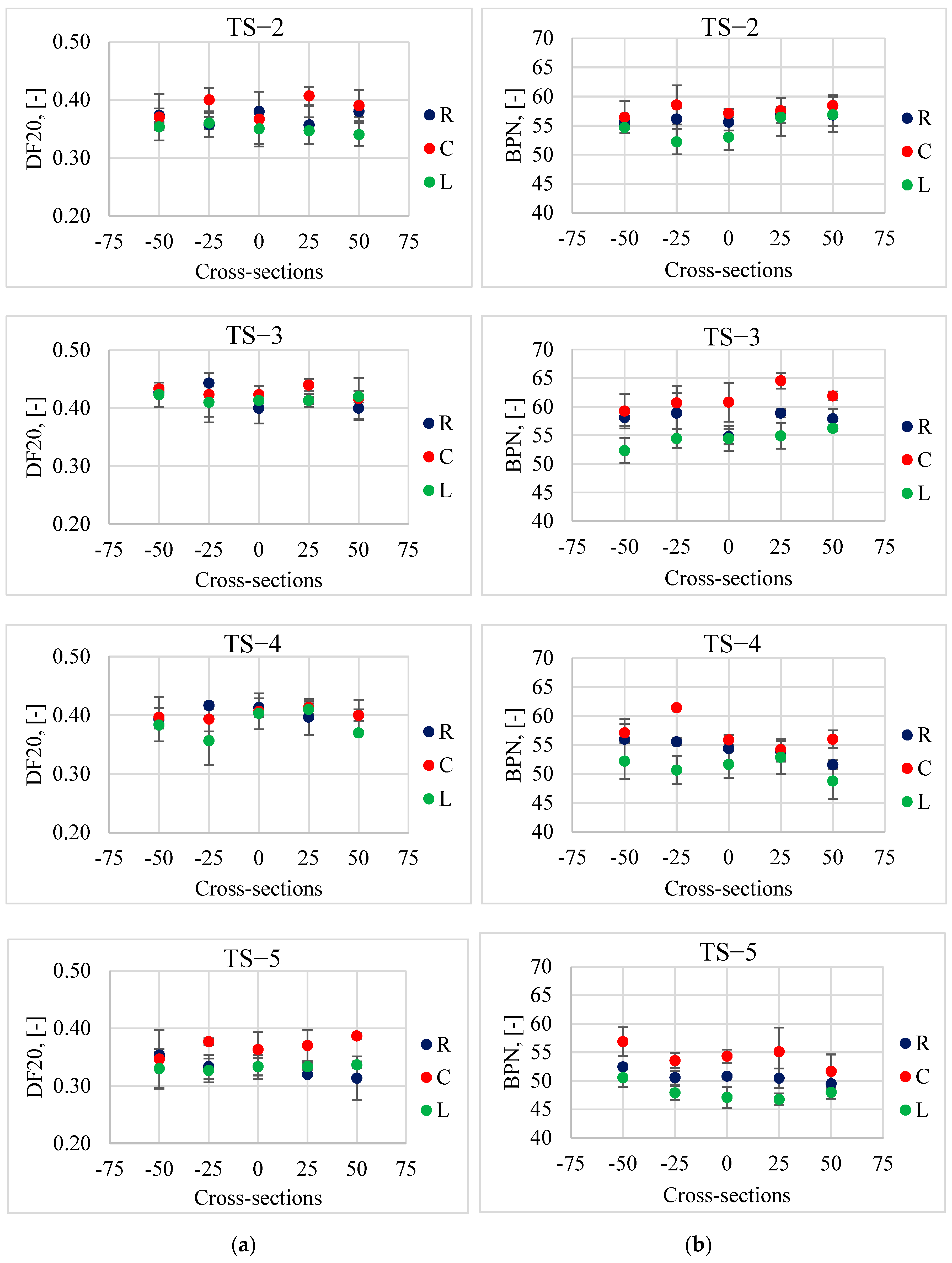
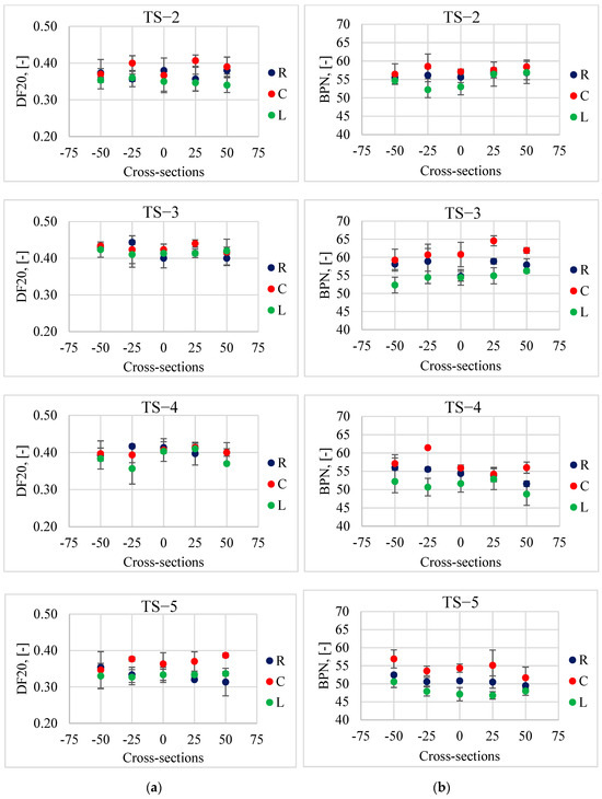
4.1. Microtexture Assessment Using a Method Based on DFT and BPT Measurements
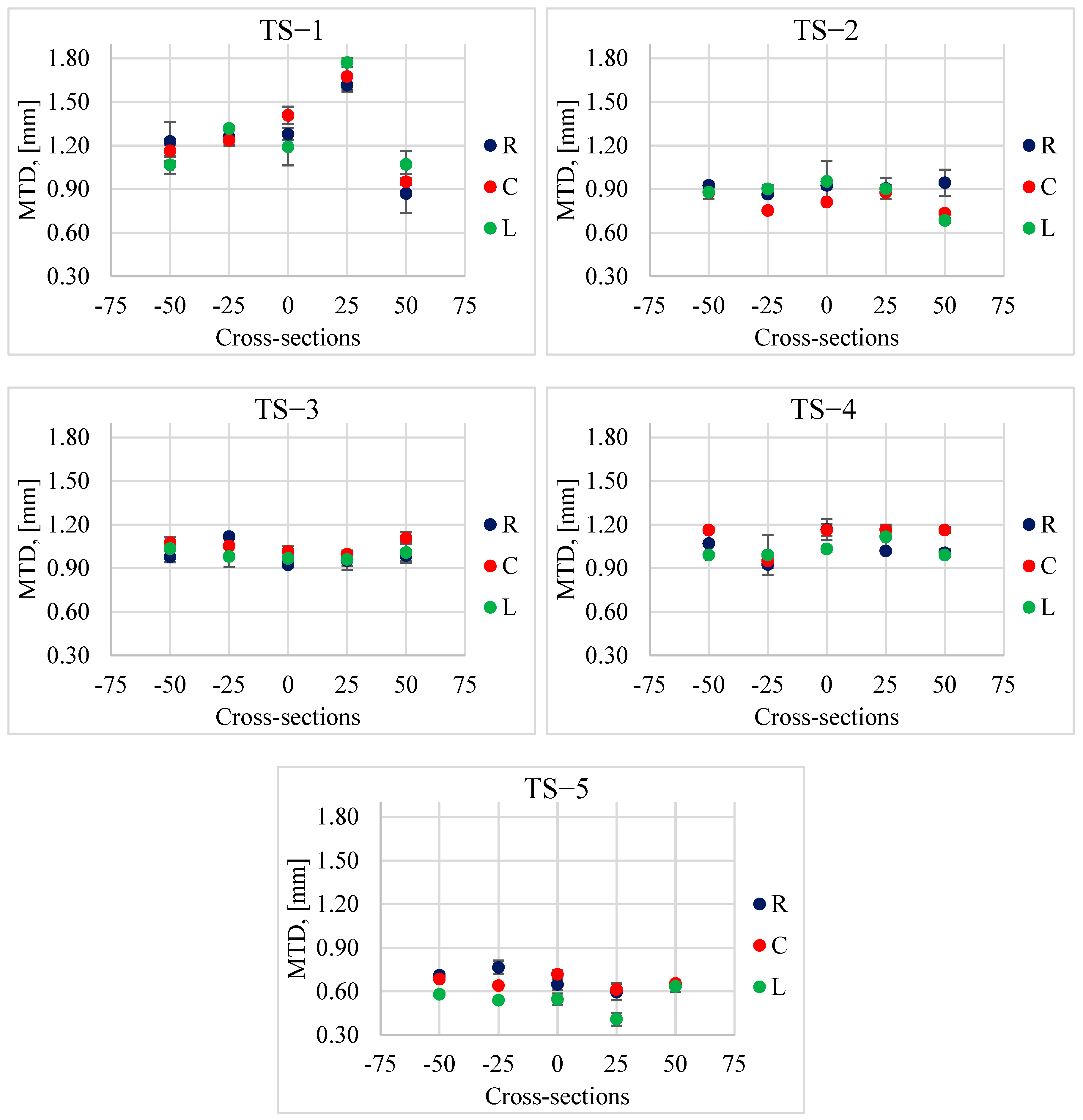
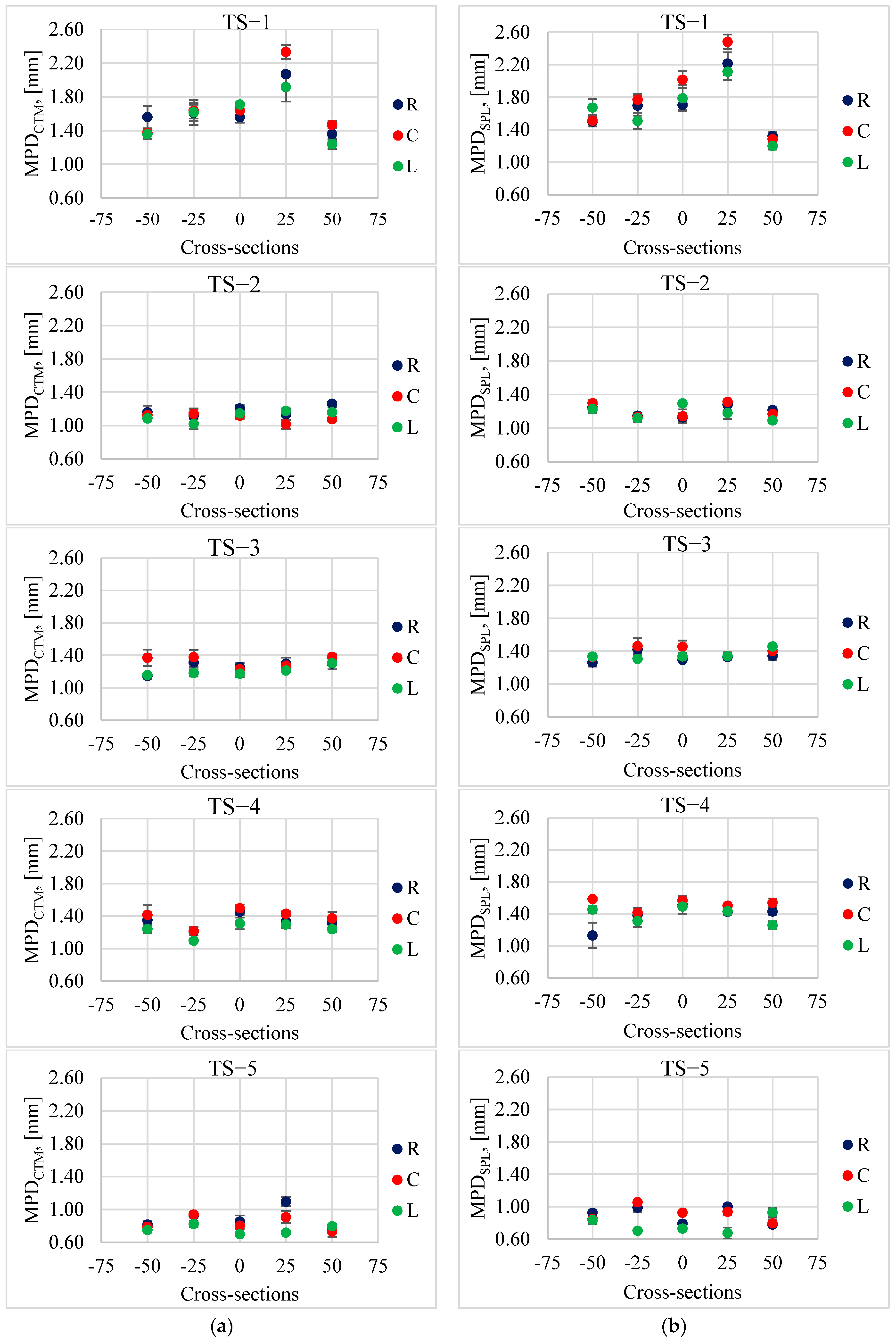
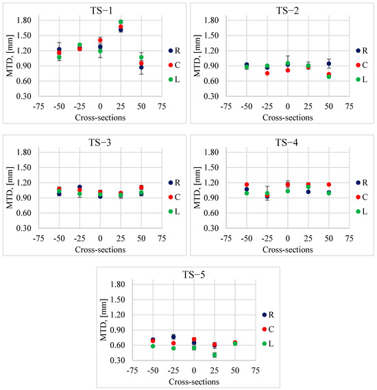
4.2. Macrotexture Assessment by Volumetric and Profilometric Methods
4.3. Determining Linear Regression between Individual Parameters
5. Conclusions
- Both DFT and BPT devices can be used to estimate the microtexture of EAC pavements. The DFT device is less sensitive to changes occurring in the microtexture compared to BPT. BPN values confirm that the left wheel track is most exposed to polishing factors.
- Based on the developed linear regression relationship, it was found that DFT20 explains 55% of the values of the independent variable BPN. BPT and DFT20 device measurements allow for the ranking of test areas in terms of microtexture variability.
- The EAC macrotexture can be verified by volumetric and profilometric methods using the CTM and SLP. The lower MTD values obtained compared to the MPD values are probably related to the positive EAC surface profile. The average difference between MTD and MPDSLP values is approximately 0.34 mm, and between MTD and MPDCTM approximately 0.27 mm.
- Statistical analysis proved that there is almost certain correlation in the individual configuration of MPDCTM, MPDSLP and MTD parameter pairs (correlation coefficient r above 0.90).
- The deviation from the average MPD value calculated from measurement data on five test sections is approximately 0.40 mm obtained for both the CTM and SLP devices. Slight differences in the results of MPDCTM and MPDSLP are caused by the sampling frequency of the profile scanning laser and the operating characteristics of the devices. However, this does not significantly affect the variability of the obtained results, and CTM and SLP profilometers can be used interchangeably.
- During comparative analyzes of the results relating to the macrotexture obtained using different techniques, the technology of making the upper layers surface should be taken into account. Due to their characteristics, EAC pavements should be treated independently compared to asphalt pavements when estimating the MTD/ETD parameter. This is particularly important in the practical use of dependencies when controlling the quality of this type of surface.
Author Contributions
Funding
Institutional Review Board Statement
Informed Consent Statement
Data Availability Statement
Acknowledgments
Conflicts of Interest
References
- Wambold, J.C.; Antle, C.E.; Henry, J.J.; Rado, Z. International PIARC Experiment to Compare and Harmonize Texture and Skid Resistance Measurements; PIARC: Paris, France, 1995; p. 346. [Google Scholar]
- Hall, J.W.; Smith, K.L.; Titus-Glover, L.; Wambold, J.C.; Yager, T.J.; Rado, Z. Guide for Pavement Friction; NCHRP Web-only document 108; Transportation Research Board: Washington, DC, USA, 2009; p. 257. [Google Scholar]
- Haider, M.; Wehr, R.; Conter, M.; Kriegisch, M.; Gasparoni, S. Texture and noise characteristics of exposed aggregate concrete road surfaces. In Proceedings of the 12th International Symposium on Concrete Roads, Prague, Czech Republic, 23–26 September 2014. [Google Scholar]
- Hablovicova, B.; Krivanek, V.; Markova, P. Comparison of Exposed Aggregate Cement Concrete Surface and Stone Mastic Asphalt Surface Noise Emissions by Close-Proximity Method. Appl. Sci. 2021, 11, 10359. [Google Scholar] [CrossRef]
- Gardziejczyk, W.; Gierasimiuk, P. Influence of texturing method on tyre/road noise of cement concrete pavement. Int. J. Pavement Eng. 2018, 19, 1061–1076. [Google Scholar] [CrossRef]
- Leng, Z.; Fan, Z.; Liu, P.; Kollmann, J.; Oeser, M.; Wang, D.; Jiang, X. Texturing and evaluation of concrete pavement surface: A state-of-the-art review. J. Road Eng. 2023, 3, 252–265. [Google Scholar] [CrossRef]
- Zong, Y.; Li, S.; Zhang, J.; Zhai, J.; Li, C.; Ji, K.; Feng, B.; Zhao, H.; Guan, B.; Xiong, R. Effect of aggregate type and polishing level on the long-term skid resistance of thin friction course. Constr. Build. Mater. 2021, 282, 122730. [Google Scholar] [CrossRef]
- Qi, L.; Liu, Y.; Liu, Z.; Zhang, C.; Chen, Z.; Lv, J.; Wan, H. Skid Resistance Attenuation of Asphalt Pavement Based on Multifactor Accelerated Wear Test. Coatings 2023, 13, 717. [Google Scholar] [CrossRef]
- Liu, Y.; Cheng, X.; Yang, Z. Effect of Mixture Design Parameters of Stone Mastic Asphalt Pavement on Its Skid Resistance. Appl. Sci. 2019, 9, 5171. [Google Scholar] [CrossRef]
- EN 13036-1; Road and Airfield Surface Characteristics—Test Methods—Part 1: Measurement of Pavement Surface Macrotexture Depth Using a Volumetric Patch Technique. European Committee for Standardization (CEN): Brussels, Belgium, 2010.
- EN ISO 13473-1; Characterization of Pavement Texture by Use of Surface Profiles. Part 1: Determination of Mean Profile Depth. International Organization for Standardization: Geneva, Switzerland, 2019.
- Praticò, F.G.; Astolfi, A. A new and simplified approach to assess the pavement surface micro- and macrotexture. Constr. Build. Mater. 2017, 148, 476–483. [Google Scholar] [CrossRef]
- Flintsch, G.W.; de León, E.; McGhee, K.K.; AI-Qadi, I.L. Pavement Surface Macrotexture Measurement and Applications. Transp. Res. Rec. 2003, 1860, 168–177. [Google Scholar] [CrossRef]
- D’Apuzzo, M.; Evangelisti, A.; Flintsch, G.W.; Izeppi, E.d.L.; Mogrovejo, D.E.; Nicolosi, V. Evaluation of Variability of Macrotexture Measurement with Different Laser-Based Devices. In Proceedings of the Airfield and Highway Pavements 2015, Miami, FL, USA, 7–10 June 2015. [Google Scholar] [CrossRef]
- Fisco, N.R. Comparison of Macrotexture Measurement Methods. Master’s Thesis, The Ohio State University, Columbus, OH, USA, 2009. [Google Scholar]
- Lin, Y.; Dong, C.; Wu, D.; Jiang, S.; Xiang, H.; Weng, Z. Study of Pavement Macro- and Micro-Texture Evolution Law during Compaction Using 3D Laser Scanning Technology. Appl. Sci. 2023, 13, 5736. [Google Scholar] [CrossRef]
- Čelko, J.; Kováč, M.; Kotek, P. Analysis of the pavement surface texture by 3D scanner. Transp. Res. Proc. 2016, 14, 2994–3003. [Google Scholar] [CrossRef]
- Kane, M.; Lim, M.; Do, M.T.; Edmondson, V. A new predictive skid resistance model (PSRM) for pavement evolution due to texture polishing by traffic. Constr. Build. Mater. 2022, 342, 128052. [Google Scholar] [CrossRef]
- Zuniga-Garcia, N.; Prozzi, J.A. Contribution of Micro- and Macro-Texture for Predicting Friction on Pavement Surfaces; U.S. Department of Transportation’s University Transportation Centers Program: Washington, DC, USA, 2016; p. 106. [Google Scholar]
- Pérez-Acebo, H.; Gonzalo-Orden, H.; Findley, D.J.; Rojí, E. A skid resistance prediction model for an entire road network. Constr. Build. Mater. 2020, 262, 120041. [Google Scholar] [CrossRef]
- Kane, M.; Edmondson, V. Skid resistance: Understanding the role of road texture scales using a signal decomposition technique and a friction model. Int. J. Pavement Eng. 2020, 23, 499–513. [Google Scholar] [CrossRef]
- Brown, C.A.; Hansen, H.A.; Jiang, X.J.; Blateyron, F.; Berglund, J.; Senin, N.; Bartkowiak, T.; Dixon, B.; Le Goïc, G.; Quinsat, Y.; et al. Multiscale analyses and characterizations of surface topographies. CIRP Ann. 2018, 67, 839–862. [Google Scholar] [CrossRef]
- Torbruegge, S.; Wies, B. Characterization of pavement texture by means of height difference correlation and relation to wet skid resistance. J. Traffic Trans. Eng. 2015, 2, 59–67. [Google Scholar] [CrossRef]
- Kane, M.; Do, M.T.; Cerezo, V. Optimising pavement texture measurement resolution for accurate friction determination: A preliminary investigation. Road Mater. Pavement Des. 2023, 25, 1894–1909. [Google Scholar] [CrossRef]
- Vieira, T.; Sandberg, U.; Erlingsson, S. Negative texture, positive for the environment: Effects of horizontal grinding of asphalt pavements. Road Mater. Pavement Des. 2021, 22, 1–22. [Google Scholar] [CrossRef]
- Šernas, O.; Zofka, A.; Vaitkus, A.; Gražulytė, J. The effect of exposed aggregate concrete gradation on the texture characteristics and durability. Constr. Build. Mater. 2020, 261, 119921. [Google Scholar] [CrossRef]
- Wasilewska, M.; Gardziejczyk, W.; Gierasimiuk, P. Effect of aggregate graining compositions on skid resistance of Exposed Aggregate Concrete pavement. IOP Conf. Ser. Mater. Sci. Eng. 2018, 356, 012001. [Google Scholar] [CrossRef]
- Rith, M.; Kim, Y.K.; Lee, S.W. Characterization of long-term skid resistance in exposed aggregate concrete pavement. Constr. Build. Mater. 2020, 256, 119423. [Google Scholar] [CrossRef]
- Vaitkus, A.; Andriejauskas, T.; Šernas, O.; Čygas, D.; Laurinavičius, A. Definition of concrete and composite precast concrete pavements texture. Transport 2019, 34, 404–414. [Google Scholar] [CrossRef]
- Dąbrowski, M.; Brachaczek, A.; Bogusz, K.; Glinicki, M.A. Experimental assessment of appropriate time for aggregate exposure at the surface of cement concrete pavement. Int. J. Pavement Eng. 2024, 25, 2318607. [Google Scholar] [CrossRef]
- Gardziejczyk, W.; Gierasimiuk, P.; Motylewicz, M.; Wasilewska, M. Evaluation of noisiness of exposed aggregate cement concrete pavement. Road Mater. Pavement Des. 2021, 22, 2352–2368. [Google Scholar] [CrossRef]
- Sun, Z.; Premarathna, W.A.A.S.; Anupam, K.; Kasbergen, C.; Erkens, S.M.J.G. A state-of-the-art review on rolling resistance of asphalt pavements and its environmental impact. Constr. Build. Mater. 2024, 411, 133589. [Google Scholar] [CrossRef]
- Praticò, F.G.; Vaiana, R. A study on the relationship between Mean Texture Depth and Mean Profile Depth of asphalt pavements. Constr. Build. Mater. 2015, 101, 72–79. [Google Scholar] [CrossRef]
- Henry, J.J. Evaluation of Pavement Friction Characteristics. Synthesis of Highway Practice No. 291; Transportation Research Board: Washington, DC, USA, 2000. [Google Scholar]
- Chu, L.; Cui, X.; Zhang, K.; Fwa, T.F.; Han, S. Directional Skid Resistance Characteristics of Road Pavement: Implications for Friction Measurements by British Pendulum Tester and Dynamic Friction Tester. Transp. Res. Rec. 2019, 2673, 793–803. [Google Scholar] [CrossRef]
- Steven, B.; Monismith, C.L.; Tsai, B.-W. Friction Testing of Pavement Preservation Treatments: Friction Measurements on Fog Seal Trials Using Six Rejuvenators. State Route KER58; California Department of Transportation: Sacramento, CA, USA, 2009. [Google Scholar]
- ASTM E303-22; Standard Test Method for Measuring Surface Frictional Properties Using the British Pendulum Tester. ASTM: West Conshohocken, PA, USA, 2022.
- ASTM E1911; Standard Test Method for Measuring Paved Surface Frictional Properties Using the Dynamic Friction Tester. ASTM: West Conshohocken, PA, USA, 2019.
- ASTM E2157–01; Standard Test Method for Measuring Pavement Macrotexture Properties Using the Circular Track Meter. ASTM: West Conshohocken, PA, USA, 2017.
- Druta, C.; Wang, L.; Lane, D.S. Evaluation of the MMLS3for Accelerated Wearing of Asphalt Pavement Mixtures Containing Carbonate Aggregates; Report No.: FHWA/VCTIR 14-R17; Virginia Center for Transportation Innovation and Research: Charlottesville, VA, USA, 2014. [Google Scholar]
- Fisco, N.; Sezen, H. Comparison of surface macrotexture measurement methods. J. Civ. Eng. Manag. 2013, 19, 153–160. [Google Scholar] [CrossRef]
- Chen, S.; Liu, X.; Luo, H.; Yu, J.; Chen, F.; Zhang, Y.; Ma, T.; Huang, X. A state-of-the-art review of asphalt pavement surface texture and its measurement techniques. J. Road Eng. 2022, 2, 156–180. [Google Scholar] [CrossRef]


















| TS−1 | TS−2 | TS−3 | TS−4 | TS−5 | |||||||||||
|---|---|---|---|---|---|---|---|---|---|---|---|---|---|---|---|
| R | C | L | R | C | L | R | C | L | R | C | L | R | C | L | |
| [-] | 0.32 | 0.37 | 0.32 | 0.37 | 0.39 | 0.35 | 0.42 | 0.43 | 0.42 | 0.40 | 0.40 | 0.38 | 0.33 | 0.37 | 0.33 |
| STD [-] | 0.04 | 0.02 | 0.02 | 0.02 | 0.03 | 0.02 | 0.02 | 0.02 | 0.02 | 0.02 | 0.02 | 0.03 | 0.02 | 0.03 | 0.02 |
| V [%] | 11.8 | 5.1 | 5.1 | 5.2 | 8.2 | 4.9 | 5.3 | 5.3 | 4.1 | 5.4 | 5.0 | 6.9 | 6.8 | 7.7 | 5.4 |
| [-] | 50 | 55 | 46 | 56 | 58 | 55 | 58 | 61 | 54 | 54 | 57 | 51 | 51 | 54 | 48 |
| STD [-] | 1.73 | 2.64 | 2.31 | 1.39 | 2.15 | 2.81 | 2.60 | 2.67 | 2.04 | 2.23 | 2.76 | 2.78 | 1.29 | 2.89 | 1.82 |
| V [%] | 3.5 | 4.8 | 5.0 | 2.5 | 3.7 | 5.1 | 4.5 | 4.3 | 3.7 | 4.1 | 4.8 | 5.4 | 2.6 | 5.3 | 3.8 |
| TS−1 | TS−2 | TS−3 | TS−4 | TS−5 | |||||||||||
|---|---|---|---|---|---|---|---|---|---|---|---|---|---|---|---|
| SP | SS | SL | SP | SS | SL | SP | SS | SL | SP | SS | SL | SP | SS | SL | |
| [mm] | 1.25 | 1.29 | 1.28 | 0.91 | 0.81 | 0.86 | 0.99 | 1.05 | 0.99 | 1.04 | 1.12 | 1.03 | 0.67 | 0.66 | 0.54 |
| STD [mm] | 0.27 | 0.27 | 0.29 | 0.06 | 0.07 | 0.12 | 0.08 | 0.05 | 0.06 | 0.10 | 0.10 | 0.09 | 0.07 | 0.04 | 0.09 |
| V [%] | 21.3 | 21.1 | 22.3 | 7.0 | 8.2 | 14.1 | 7.9 | 5.1 | 6.3 | 9.8 | 8.5 | 8.9 | 11.1 | 6.2 | 15.9 |
| [mm] | 1.63 | 1.69 | 1.57 | 1.18 | 1.10 | 1.12 | 1.26 | 1.33 | 1.21 | 1.33 | 1.39 | 1.24 | 0.89 | 0.83 | 0.76 |
| STD [mm] | 0.26 | 0.36 | 0.28 | 0.08 | 0.07 | 0.08 | 0.08 | 0.09 | 0.07 | 0.09 | 0.12 | 0.09 | 0.13 | 0.10 | 0.06 |
| V [%] | 16.0 | 21.1 | 17.6 | 6.6 | 6.1 | 6.7 | 6.6 | 7.0 | 6.0 | 6.5 | 8.9 | 7.5 | 14.7 | 11.6 | 7.3 |
[mm] | 1.69 | 1.81 | 1.66 | 1.20 | 1.21 | 1.18 | 1.33 | 1.40 | 1.36 | 1.38 | 1.52 | 1.39 | 0.90 | 0.91 | 0.77 |
| STD [mm] | 0.32 | 0.45 | 0.37 | 0.07 | 0.09 | 0.09 | 0.07 | 0.08 | 0.07 | 0.16 | 0.07 | 0.11 | 0.10 | 0.10 | 0.11 |
| V [%] | 19.1 | 25.0 | 22.6 | 6.2 | 7.7 | 7.7 | 5.4 | 5.8 | 4.8 | 11.8 | 4.9 | 8.0 | 11.7 | 11.1 | 14.3 |
| Relationship | R2 | No. of Reference |
|---|---|---|
| DFT20 = 0.016 + 0.0066BPN | 0.55 | Authors |
| DFT20 = −0.400 + 0.017BPN | 0.86 | [34] |
| DFT20 = 0.018 + 0.0051BPN | 0.39 | [35] |
| DFT20 = −0.0668 + 0.0089BPN | 0.51 | [36] |
| DFT20 = 0.0517 + 0.0023BPN | 0.36 | [40] |
| Relationship | R2 | Measurement Method of MPD | No. of Reference |
|---|---|---|---|
| MTD = 0.76MPDCTM | 0.87 | Circular Texture Meter | Authors |
| MTD = 0.71MPDSPL | 0.89 | Stationary Laser Profilograph | Authors |
| ETD = 1.1MPD | - | - | [11], 2019 |
| ETD = 0.2 + 0.8MPD | - | - | [11], 2005 |
| MTD = 0.0762 + 1.2587MPD | 0.89 | Circular Texture Meter | [15] |
| MTD = 0.016 + 1.167MPDZS | 0.94 | ZScanner® 800 | [17] |
| MTD = -0.12 + 1.10MPDCTM | 0.94 | Circular Texture Meter | [19] |
| MTD = 0.053 + 0.91MPDCTM | 0.98 | Circular Texture Meter | [34] |
| MTD = 0.069 + 0.947MPD | - | Circular Texture Meter | [39] |
| MTD = 1.17MPD | 0.98 | Laser scanner | [41], a |
| MTD = 0.139 + 0.96MPD | 0.91 | Laser profiler | [41], b |
Disclaimer/Publisher’s Note: The statements, opinions and data contained in all publications are solely those of the individual author(s) and contributor(s) and not of MDPI and/or the editor(s). MDPI and/or the editor(s) disclaim responsibility for any injury to people or property resulting from any ideas, methods, instructions or products referred to in the content. |
© 2024 by the authors. Licensee MDPI, Basel, Switzerland. This article is an open access article distributed under the terms and conditions of the Creative Commons Attribution (CC BY) license (https://creativecommons.org/licenses/by/4.0/).
Share and Cite
Gierasimiuk, P.; Wasilewska, M.; Gardziejczyk, W. A Comparative Study on the Texture of Exposed Aggregate Concrete (EAC) Pavements Using Different Measurement Techniques. Materials 2024, 17, 4147. https://doi.org/10.3390/ma17164147
Gierasimiuk P, Wasilewska M, Gardziejczyk W. A Comparative Study on the Texture of Exposed Aggregate Concrete (EAC) Pavements Using Different Measurement Techniques. Materials. 2024; 17(16):4147. https://doi.org/10.3390/ma17164147
Chicago/Turabian StyleGierasimiuk, Pawel, Marta Wasilewska, and Wladyslaw Gardziejczyk. 2024. "A Comparative Study on the Texture of Exposed Aggregate Concrete (EAC) Pavements Using Different Measurement Techniques" Materials 17, no. 16: 4147. https://doi.org/10.3390/ma17164147
APA StyleGierasimiuk, P., Wasilewska, M., & Gardziejczyk, W. (2024). A Comparative Study on the Texture of Exposed Aggregate Concrete (EAC) Pavements Using Different Measurement Techniques. Materials, 17(16), 4147. https://doi.org/10.3390/ma17164147

