Green Corrosion Inhibitors for Metal and Alloys Protection in Contact with Aqueous Saline
Abstract
1. Introduction
2. General Corrosion Mechanism and the Influence of the Chloride Ion
3. Attributes of Green Corrosion Inhibitors
4. Mechanism of Corrosion Inhibition in NaCl
| Item | Scientific Name | Common Name | Plant Material | Family | Extraction Solvent | Metal Specimen | Electrolyte | Temp °C | Adsorption Isotherm | IE, % | Type of Inhibition | Scan Rate (mV/s) | Time in Contact |
|---|---|---|---|---|---|---|---|---|---|---|---|---|---|
| [66] | Rosmarinus officinalis L. | Romero/Rosemary | Leaves | Lamiaceae | Water | Al-Mg | 3% NaCl | 25 | Freundlich | 93.8 | Cathodic | 2 | 30 min |
| [65] | Ambrosia maritima | Damsissa | Dried | Asteraceae | Water | Steel | 0.5 M Na2SO4 (NaCl 0.01 to 0.1 M) | 30 | --- | ~65 | Anodic | 0.3 | 20 min |
| [65] | Lupinus | Lupine | Dried | Fabaceae | Water | Steel | 0.5 M Na2SO4 (NaCl 0.01 to 0.1 M) | 30 | --- | ~68 | Anodic | 0.35 | 20 min |
| [73] | Lupinus | Lupine | Seeds | Fabaceae | Water | Zn | 0.5 M NaCl | 30 | Langmuir, and Florry-Huggins | 89.1 | Mixed | 0.3 | --- |
| [73] | Cymbopogon proximus | Halfabar | Seeds | Poaceae | Water | Zn | 0.5 M NaCl | 30 | Langmuir, and Florry-Huggins | 94.7 | Mixed | 0.3 | --- |
| [73] | Ambrosia maritima | Damsissa | Seeds | Asteraceae | Water | Zn | 0.5 M NaCl | 30 | Langmuir, and Florry-Huggins | 90.7 | Mixed | 0.3 | --- |
| [75] | Ammi visnaga L. | Khella | Leaves and flowers | Apiaceae | Hydrodistillation | Cu-Zn | 3% NaCl | 25 | --- | 93.04 | Mixed | 0.5 | 60 min |
| [78] | 4-methyl-1,2-dihydro-3H-benzo[b][1,4]diazepin-3-one (MHBZO) | benzodiazepine | --- | --- | Diethylether | Cu | 3.5% NaCl | 25 | Langmuir | 96 | Mixed | 1 | 24 h |
| [79] | Catharanthus roseus | Vinca rosea | Root and stem | Apocynaceae | Etanol | Mild steel | 3.5% NaCl | 35 | --- | 70 | Mixed | 0.5 | 5 days |
| [82] | Honey | Natural honey | --- | --- | --- | Carbon steel A106 | Saline water | --- | Langmuir | 91.23 | Anodic | --- | 5 days |
| [83] | Tobacco Varierity NC129, KY171, MD609, B005 and Little Crittenden | Tobacco | Cured leaves, dried leaves, stems and twigs, tobacco dust | Solanaceae | Water | 1008/1010 cold-rolled steel 3105 H24/Al Q-panels | 1% NaCl | 20 | --- | --- | Anodic | --- | 25 days |
| [84] | Tinospora cordifolia | Guduchi | Stem | Menispermaceae | Methanol | Carbon steel | Seawater | 27, 37, 47 | Langmuir | 85.94 | Mixed | 1 | 0, 30 and 60 min |
| [85] | Ricunus communis | Castor bean | Leaves | Euphorbiaceae | Ethanol | Mild steel | 100 ppm NaCl | 20 | --- | 84 | Mixed | 1 | 4 days |
| [86] | Ricinus communis | Castor bean | Fruits | Euphorbiaceae | Methanol | Steel | 3.5% NaCl | --- | Temkin | 79 | Mixed | --- | 120 days |
| [87] | Lawsonia inermis | Henna tree | Leaves | Lythraceae | Water | Carbon steel L-52 | 0.1 M HCl, 3.5% NaCl and 0.1 M NaOH | 30 | Langmuir | 95.78 | Mixed | --- | --- |
| [88] | Hibiscus rosa-sinensis Linn | China rose/Rose mallow | Petals | Malvaceae | Water | Carbon steel | 60 ppm Cl− (Absence and presence of Zn2+) | --- | --- | 98 | Mixed | 10 | 1 day |
| [89] | Ambrosia maritima, L. | Damsissa | Dried | Asteráceas | Water | Al | 2 M NaOH in 0.5 M NaCl | 25, 30, 35, 40 | --- | 88.3 | Mixed | 0.3 | 35 days |
| [90] | Camellia sinensis | Green Tea | Dried | Theaceae | Water | AISI 304, Carbon steel and brass sheets | 3.5% NaCl | 20, 50 | --- | --- | --- | 0.25 | 30–60–90 days |
| [90] | Nicotiana tabacum | Tobacco | Dried | Solanaceae | Water | AISI 304, Carbon steel and brass sheets | 3.5% NaCl | 20, 50 | --- | --- | --- | 0.25 | 30–60–90 days |
| [90] | Rizophora | Rizophora | Dried | Rhizophoraceae | Water | AISI 304, Carbon steel and brass sheets | 3.5% NaCl | 20, 50 | --- | --- | --- | 0.25 | 30–60–90 days |
| [90] | Mimosa púdica | Mimosa | Dried | Fabaceae | Water | AISI 304, Carbon steel and brass sheets | 3.5% NaCl | 20, 50 | --- | --- | --- | 0.25 | 30–60–90 days |
| [90] | Glycine | Glycine | Dried | Fabaceae | Water | AISI 304, Carbon steel and brass sheets | 3.5% NaCl | 20, 50 | --- | --- | --- | 0.25 | 30–60–90 days |
| [91] | Lavandula angustifolia L. | Lavanda | Oil | Lamiaceae | Ethanol | Al-Alloy 5754 | 3% NaCl | 25, 40, 60 | Langmuir | 99 | Cathodic | 0.5 | 4 h |
| [92] | Bagassa guianensis | Amapa-rana | Dried | Moraceae | Ethanol | Zn | 3% NaCl | 25 | Langmuir | 97 | Mixed | 10 | 1 h |
| [93] | Aerva lanata | Mountain knotgrass | Petals | Amaranthaceae | Water | Al-Alloy AA 6061 | 3.5% NaCl | 25 | Langmuir | 89 | Mixed | --- | 1 h |
| [94] | Artemisia annua L. | Sweet wormwood | Stem | Asteraceae | Seawater | Al-Alloy 5083 | Seawater | 25 | Freundlich | 67 | Anodic | 0.5 | 1 h |
| [95] | Carica pawpaw | Pawpaw | Leaves | Caricaceae | Ethanol | Mild steel | 3.5% NaCl | 20 | --- | -- | Mixed | --- | 21 days |
| [96] | Nicotiana glauca | Nicotiana | Dried leaves | Solanáceas | Water | Mild steel | 0.1 and 1 M NaCl | 30 | --- | 86.5 | Anodic | 0.3 | --- |
| [97] | Phoenix dactylifera L. | Date Palm | Fruit juice | Arecaceae | Water | Al-Alloy 7075 | 3.5% NaCl | 20 | Temkin | 63 | Cathodic | 1 | --- |
| [98] | Camellia sinensis | Tea Plant | Leaves | Theaceae | Water | Mild steel | Water and 35 ppm Al2(SO4)3 and 10 ppm Cl− | 30, 40, 50 | Langmuir | 89.7 | Mixed | 1 | 21 h |
| [99] | Lawsonia inermis | Alheña | Commercial henna powder | Lythraceae | --- | Al-Alloy 5083 | Seawater | --- | Langmuir | 88 | --- | --- | 60 days |
| [100] | Curcuma | Curcum | Bark and rhizomes | Zingiberaceae | Methanol | Steel | 3.5% NaCl + Absence and presence of Na2S 16 ppm | 25 | Temkin | 77.4 | Mixed | 1 | --- |
| [101] | Croton cajucara | Sacaca | Powdered bark | Euphorbiaceae | Methanol | AISI 1020 | 0.5% NaCl | 20 | Langmuir and Frumkin | 93.84 and 64.73 | Mixed | 0.8 | --- |
| [102] | Myrmecodia pendans | Myrmecodia | Plant material | Rubiaceae | Ethanol | Carbon steel API 5L Grade B | 3.5% NaCl | 25 | --- | 84.82 | Mixed | 10 | --- |
| [103] | Vernonia amigdalina | Bitter leaf | Leaves | Asteraceae | Ethanol | Carbon steel | 3.5 M NaCl | 20 | --- | 90.08 | --- | --- | 39 days |
| [104] | Mansoa alliacea | Garlic sacha | Leaves | Bignoniaceae | Ethanol | Zn | 3% NaCl | 25 | Langmuir | 90 | Mixed | 0.3 | --- |
| [105] | Lawsonia inermis | Henna tree | --- | Lythraceae | Water | AISI 304L | 3.5% NaCl | 25 | Langmuir | 92.7 | Cathodic | 1 | 360 h |
| [105] | Rosmarinus officinalis L. | Romero/Rosemary | --- | Lamiaceae | Water | AISI 304L | 3.5% NaCl | 25 | Langmuir | 92.7 | Anodic | 1 | 360 h |
| [106] | Amaranthus cordatus | Amaranto | Leaves | Amaranthaceae | Ethanol | Mild steel | 0.5 M and 1 M H2SO4 and NaCl | 20 | --- | 99.51 | --- | --- | 30 days |
| [107] | Clitoria ternatea | Campanilla | Flowers | Fabaceae | Water, ethanol | Mild steel | 3.5% NaCl | 30 | Langmuir | 89.91 | Mixed | 0. | 1 h |
| [108] | Aloe vera | Sábila | Leaves (Gel) | Xanthorrhoeaceae | --- | Mild steel | 1% wt NaCl | 25 | 81.81 | Mixed | 10 | 2 h | |
| [109] | Pelargonium | Pelargonios | Aerial parts | Geraniaceae | Water | Mild steel | 1 M HCl | 25 | Langmuir | 90.61 | Mixed | 0.5 | 6 h |
| [110] | Azadirachta indica | Neem | Leave | Meliaceae | Water | Mild steel | Salt water | --- | --- | ~74 | --- | --- | 1500 h |
| [111] | Cinnamomum zeylanicum/Cinnamomum verum | Cinnamon tree | Inner bark | Lauraceae | Water | Al-Alloy | 1% NaCl | 60, 90 | Langmuir | 61.1 | Mixed | 1 | 1 h |
| [112] | Myrmecodia pendans | Myrmecodia | -- | Rubiaceae | Ethanol | Carbon steel API 5L Grade B | 3.5% NaCl | 20 | Langmuir | 79.7 | Mixed | 100 | --- |
| [113] | Olea europaea | Olive | Leaves | Oleaceae | Water | Cu | 0.5 M NaCl | 25, 35, 45, 55 | --- | 90 | Cathodic | 0.5 | 24 h |
| [114] | Xanthosoma spp. | Mafata/Otoe | Leaves | Araceae | Water | Cu | Seawater | 30, 40, 50, 60 | Langmuir | 85 | --- | --- | 6 and 24 h |
| [115] | Origanum majorana | Mejorana/Mayorana | Leaves | Lamiaceae | Solvent | Mild steel | 0.5 M m NaCl | 30, 35, 40, 45 | --- | 90 | Mixed | 10 | 2 h |
| [116] | Nicotina | Tabacco | -- | Solanaceae | Water | Carbon steel Q235 | Seawater | 25, 45, 60 | -- | 83.90 | Mixed | 0.57 | -- |
| [117] | Phyllanthus muellerianus | Phyllanthus | Leaves | Euphorbiaceae | Methanol | Carbon steel | 3.5% NaCl | 26 | Langmuir | 97.58 | --- | --- | 40 and 89 days |
| [118] | Seaweed | Seaweed | Commercial extract | Macroalgae | 0.5 M NaCl | Carbon steel | Saline formation water | 25, 35, 45, 55 | Temkin | 93 | Anodic | 0.5 | 24 h |
| [119] | Eucalyptus globulus | White eucalyptus | Leaves | Mirtáceas | Water | Steel | 0.1 mol/L NaOH + 0.5 m/L NaCl | 20 | --- | 87.65 | Mixed | 1 | --- |
| [119] | Punica granatum | Pomegranate | Trunk | Lythraceae | Water | Steel | 0.1 mol/L NaOH + 0.5 m/L NaCl | 20 | --- | 92.61 | Mixed | 1 | --- |
| [119] | Olea europaea | Olive | -- | Oleaceae | Water | Steel | 0.1 mol/L NaOH + 0.5 m/L NaCl | 20 | --- | 92.05 | Mixed | 1 | --- |
| [120] | Capsicum from chile | Chili peppers | --- | Solanáceas | -- | Carbon steel | 3.5% NaCl | 25 | -- | 92 | Mixed | 1 | 240 h |
| [121] | Vernovia amygdalina | Bitter leaf | Leaves | Asteraceae | -- | Al-Alloy | 4 M NaCl | 20 | -- | -- | -- | -- | 240 h |
| [122] | Slanum nigrum | Blackberry grass | Leaves and grains | Solanáceas | Methanol | Zn | 3.5% NaCl and presence 16 ppm of Na2S | 30, 35, 40, 45, 50 | Langmuir and Freundlich | 81.50 | Mixed | 1 | 180 min |
| [123] | Commiphora myrrha | Mirra | Sap | Burseraceae | Methanol | Brass | 3.5% NaCl and presence Na2S 16 ppm | 25, 35, 45, 55 | Langmuir | 67 | Mixed | 1 | 4 h |
| [124] | Cascabela thevetia | Yellow oleander | Leaves | Apocynaceae | Water | Carbon steel | 3.5% NaCl and presence Na2S 16 ppm | 25 | Freundlich | 95 | Mixed | 1 | 30, 60, 90, 120, 150 and 180 min |
| [125] | Nigella sativa | Absinthe | Seeds | Ranunculaceae | 0.5 M NaCl | Mild steel | NaCl 0.5 M | 20 | Langmuir | 91 | Mixed | 1 | -- |
| [126] | Ilex kudingcha | Kudingcha | Leaves | Aquifoliaceae | Ethanol | Carbon steel J55 | 3.5% NaCl with CO2 | 20 | Langmuir | 96.53 | Mixed | 1 | -- |
| [127] | Centaurea cyanus | Cornflower | Commercial extract | Asteraceae | -- | Carbon steel | Saline formation water | 10, 20, 30, 40 | Langmuir | 69.2 | Mixed | 2 | 2 weeks |
| [128] | Pithecollobium dulce | Guamúchil | Leaves | Leguminosas | Ethanol | Mild steel | 1 M HCl and 3.5% NaCl | 20 | -- - | 77 | Mixed | --- | 7, 14, 21 and 28 days |
| [129] | Matricaria recutita chamomile | Castilla chamomile | Dried | Asteráceas | Water | Carbon steel S235JR | 0.5 M NaCl | 25, 35, 40, 45 | Langmuir | 98.90 | Mixed | 1 | --- |
| [130] | Brassica campestris | Yuyo | Aerial parts | Brassicaceae | Ethanol | Steel | 3% NaCl | 20 | --- | 84 | Anodic | 1 | --- |
| [131] | Green nettle | Nettle | Leaves | Urticáceas | Water | Mild steel St-12 | 3.5% NaCl | --- | --- | 95 | Mixed | 1 | --- |
| [132] | Musa paradisiacal | Banana | Peel | Musaceae | Methanol | Fe | 3% NaCl | --- | --- | 67.90 | --- | -- | 12 days |
| [133] | Aerva lanata | Bloodthirsty of Cuba plant | Leaves | Amaranthaceae | Water | Carbon steel | 200, 250, 300 and 350 ppm NaCl | 30, 40, 50, 60 | --- | 95 | --- | --- | 7, 30 and 60 days |
| [134] | Glycyrrhiza glabra | Persian Licorice | Leaves | Fabaceae | --- | Mild steel | 3.5% NaCl | 25 | -- | 98.80 | Mixed | 0.5 | 72 h |
| [135] | Gingko biloba | Gingko | Fruits | Ginkgoaceae | Ethanol | Carbon steel J55 | 3.5% NaCl with CO2 | 20 | Langmuir | 95 | Mixed | 1 | --- |
| [136] | Oryza sativa | Rice | Straw | Poaceae | Ethanol | Carbon steel SAE1045 | 3.5% NaCl | 25 | --- | 92 | --- | --- | 42 days |
| [137] | Pistacia terebinthus | Pistacia | Leaves | Anacardiaceae | Methanol | Fe | 3% NaCl | -- | -- | 96.96 | -- | 1 | 24 h |
| [138] | Cocos nucifera | Coconut | Coconut Shell powder | Arecaceae | --- | AISI 904L | 3.5% NaCl | 20 | Langmuir | 99.99 | Mixed | 2 | 168 h |
| [139] | Kalanchoe blossfeldina | Kalanchoe | Ground fine powder of plant | Crassulaceae | Water | Carbon steel | Polluted NaCl (3.5% NaCl + 16 ppm Na2S) | 29.85 | Temkin | 84 | Mixed | 1 | 180 min |
| [140] | Cellulose niacin nano-composite | -- | Ethyl Cellulose niacin composite | -- | Methanol | Cu | 3.5% NaCl | 25 | -- | 94.7 | Mixed | 1 | 1 h |
| [141] | Averrhoa bilimbí linn | Wuluh Starfruit | Leaves extract | Oxalidaceae | Ethanol | Reinforced steel | 3% NaCl | 25 | - | 99.7 | - | - | 14 days |
| [142] | Olea europaea | Olive | Olive leaf | Oleaceae | Water | Cu | 0.5 M NaCl | 25 | -- | 95 | - | 24 h | |
| [143] | Aminotriazolethinol-functionalized chitosan | Chitosan | -- | -- | Water | Stainless steel | 3.5% NaCl | 25 | Langmuir | 97.8 | mixed | 1, 10, 50 and 100 | - |
| [144] | Ammi visnaga (L.) Lam | Khella | Essential oil | Apiaceae | --- | Brass | 3% NaCl | 25 | --- | 95.65 | --- | --- | --- |
| [145] | Jatropha curcas | Jatrofa | Extracts powder | Euphorbiaceae | Wáter | Mild steel | 3.5% NaCl | 25 | --- | 90.26 | --- | 0.3 | 8 weeks |
| [146] | Areca catechu | Betel tree | --- | Arecaceae | Methanol | Mild steel | 0.5 M NaCl | 28 | Langmuir and Temkin | 50 | Anodic | --- | 240 h |
| [146] | Laurus nobilis | Bay tree | --- | Lauraceae | Methanol | Mild steel | 0.5 M NaCl | 28 | Langmuir and Temkin | 65 | Mixed | --- | 240 h |
| [146] | Catharanthus roseus | Bright eyes | --- | Apocynaceae | Methanol | Mild steel | 0.5 M NaCl | 28 | Langmuir and Temkin | 82 | Anodic | --- | 240 h |
| [147] | Natural polymers | --- | ---. | --- | Water | Mg-Alloy | 3.5% NaCl | 25 | --- | 80.56 | --- | 0.2 | 24 h |
| [148] | Piper nigrum | Piper | Fruit powder | Piperaceae | Ethyl alcohol | Carbon steel | CO2–saturated 3.5%NaCl | 25 | Langmuir | 98.9 | Mixed | 1 | --- |
| [149] | Cyamopsis tetragonoloba | Guaran | Guar gum–grafted methyl methacrylate (GG–MMA) | Fabáceas | Water, ascorbic acid, methyl methacrylate and potassium persulfate | Carbon steel P110 | CO2–saturated 3.5%NaCl | 50 | Langmuir | 96.8 | Cathodic | 0.1 | 6 h |
| [150] | Cucumeropsis mannii | Egusi | Shells | Cucurbitaceae | Ethanol | Carbon steel A515 Grade 70 | 1 M NaCl | 30 | Langmuir | 91.2 | Mixed | 0.3 | 1, 3, 5, 7 days |
| [151] | Olea europaea | Olive | Leaves extract | Oleaceae | Methanol, Ethyl acetate, dichloromethane and Hexane | Carbon steel | NaOH (0.1 M) + NaCl (0.5 M) | 25 | --- | 91.9 | Mixed | 1 | --- |
| [152] | Malus domestica | Apple tree | Apple pomace-derived | Rosaceae | Ethanol | Carbon steel SAE 1010 | 3.5% NaCl | --- | Langmuir | 98.8 | --- | --- | 7 days |
| [153] | Lawsonia inermis extract | Henna | Dried Powder | Lytharaceae | Water | AISI 4130 | 3.5% NaCl | 50 | --- | 90.14 | --- | --- | --- |
| [154] | Cinnamomum | Cinnamon | Cinnamaldehyde | Lauraceae | Methanol and Water | Mild steel | 3% NaCl | 25 | Langmuir | 70 | Mixed | --- | 1 week |
| [155] | Citrus maxima | Grapefruit | Peel | Rutaceae | Ethanol | Carbon steel | 3.5% NaCl | 30 | Langmuir | 71.15 | Mixed | 1 | 6 week |
| [156] | Citrus × sinensis | Orange | Orange peel | Rutaceae | Ascorbic acid, naringin, and neohesperidin | Mg-Alloy AZ91D | 0.05 wt% NaCl | --- | Langmuir | 85.7 | Mixed | 10 | 36 h |
| [157] | Ethanolic extract propolis (EEP) | Propolis | --- | -- | Ethanol | Carbon steel SAE 1010 | 3.5% NaCl | --- | Langmuir | 79 | Mixed | 1 | 6 h |
| [158] | Ipomoea batatas L. and curcuma longa | Purple sweet potato and turmeric extract | --- | Convolvulaceae and Zingiberaceae | --- | Carbon steel API-5L | 3.5% NaCl | --- | --- | 82.54 | Mixed | --- | 12 days |
| [159] | Davidian involucrata | Davidia | Leaves | Cornaceae | Water | Carbon steel Q235 | 0.2 M NaOH, 0.5 M KOH, 0.3 M Ca(OH)2 and 3.5 wt%CaCl2 | 35 | --- | 96 | Mixed | 1 | 18 h |
| [160] | Salvia officinalis L. | Dalmatian sage | --- | Lamiaceae | Petroleum ether | Sn | 3% NaCl | 25 | --- | 94.1 | Mixed | 1 | 2.5 h |
| [161] | Solanum melongena | berenjena | Stem (brinjal cap) | Solanáceas | Water | Mild steel | 1 M NaCl | --- | --- | 74 | Mixed | 5 | 24 h |
| [162] | Prunus persica | Peach pomace | Peach pomace | Rosaceae | --- | Mild steel | 0.5 M NaCl | --- | --- | 88 | --- | --- | 48 h |
| [163] | Azadirachta indica | neem | Leaf | Meliaceae | Water | Carbon steel | 3.5% NaCl | 0, 50 | --- | 95 | --- | --- | 182 days |
| [164] | Pinus resinosa | pino rojo americano | Conifer cone | Pinaceae | Water | Steel | (NaOH), (KOH), (Ca(OH)2 and (NaCl) | 25 | Langmuir, Freundlich and Temkin | 81.2 | --- | 0.1 | 720 h |
| [165] | Cinnamomum verum | Cinnamomun trees | Extracted Cinnamon essential oil | Lauraceae | Water | Cu | 3 wt% NaCl | 25 | --- | 89 | Cathodic | 0.2 | 16 h |
| [166] | Skytanthus acutus meyen | Cacho de cabra | Leaf | Apocynaceae | Water | Carbon steel AISI1020 | 0.5 M NaCl | --- | --- | 90 | Mixed | 2 | 48 h |
| [167] | Treculia africana | African breadfruit | Leaves | Moraceae | Etanol/water | Al-Alloy AA7075-T7351 | 2.86% NaCl | 25 | Langmuir, Freundlich and Temkin | 91 | Anodic | 1 | 7 h |
| [168] | Ocimum basilicium | Albahaca | Seeds | Lamiáceas | Water | Al-Alloy 2024-T3 | 3 wt% NaCl | 25 | Langmuir | 95.5 | Mixed | 1 | 6 h |
| [169] | Chitosan derivative with titanium (CPT) | Quitosano | --- | -- | 4-PA and CS | Al-Alloy C3003 | 3.5 wt% | 25 | Langmuir | 94.5 | Mixed | 1 | 72 h |
| [170] | Pistacia lentiscus | Lentisco | Leaves | Anacardiaceae | Water | Ti-Alloy | 3 wt% NaCl | 25 | Langmuir | 84.58 | --- | --- | 24 h |
| [171] | Lawsonia inermis L. | Henna | Leaves | Lythraceae | Ethanol | Carbon steel | 0.5 M NaCl | 25 | Langmuir | 93 | Mixed | 0.5 | 14 days |
| [172] | Syn. Aloe maculata | Aloe saponaria tannin | --- | Asphodelaceae | Acetone/water | Bronze B66 | 3% NaCl | --- | --- | 90 | --- | 1 | 24 h |
| [173] | Ce-citrate | Ce-citrate | --- | --- | --- | AISI 4130 | 0.05 M NaCl | 25 | --- | 94 | --- | 1 | 96 h |
| [174] | Vicia faba | Haba | Peel | Fabaceae | Hexane | Mild steel | 3.5% NaCl | 25 | Langmuir, Freundlich and Temkin | 97.84 | Mixed | 1 | 24 h |
| [175] | Ficus pumila Linn | Creeping fig | Leaves | Moraceae | Methanol/Water (70:30) | XC38 steel | 0.1 M NaCl | 20 | --- | 42.4 | Mixed | 0.5 | 2 h |
| [176] | Fucus vesiculosus | Sargazo vejigoso | Soft section | Fucaceae | Ethanol/Water (80:20) | AISI 304 | 3.5% NaCl | 25 | Langmuir | 81.7 | Mixed | --- | 4 days |
| [177] | Pistacia lentiscus L. | Lentisk | Leaves | Anacardiaceae | Ethanol | Fe | 3% NaCl | 25 | --- | 82 | Cathodic | 1 | 30 min |
5. Typical Electrochemical and Surface Characterization Techniques
5.1. Potentiodynamic Polarization (Tafel Analysis)
5.2. Electrochemical Impedance Spectroscopy (EIS)
5.3. Scanning Electron Microscopy (SEM), Energy-Dispersive Spectroscopy (EDS)
5.4. Fourier Transform Infrared Spectroscopy (FTIR).
5.5. X-ray Photoelectron Spectroscopy (XPS)
5.6. Atomic Force Microscopy (AFM)
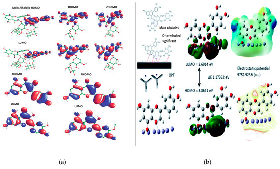
6. Theoretical Simulations by DFT
7. Corrosion Testing Standards and General Guidelines for Corrosion Inhibitor Selection
8. Challenges and Future Directions
9. Conclusions
Author Contributions
Funding
Institutional Review Board Statement
Informed Consent Statement
Data Availability Statement
Acknowledgments
Conflicts of Interest
References
- Al Shibli, F.S.Z.S.; Bose, S.; Kumar, P.S.; Rajasimman, M.; Rajamohan, N.; Vo, D.V.N. Green technology for sustainable surface protection of steel from corrosion: A review. Environ. Chem. Lett. 2022, 20, 929–947. [Google Scholar] [CrossRef]
- Madrid, F.M.G.; Soliz, A.; Cáceres, L.; Salazar-Avalos, S.; Guzmán, D.; Gálvez, E. Corrosion of reinforced A630-420H Steel in direct contact with NaCl solution. Materials 2023, 16, 6017. [Google Scholar] [CrossRef]
- Melchers, R.E.; Wells, T. Models for the anaerobic phases of marine immersion corrosion. Corros. Sci. 2006, 48, 1791–1811. [Google Scholar] [CrossRef]
- Ahmed, W.H. Flow Accelerated corrosion in nuclear power plants. In Nuclear Power-Practical Aspects; Ahmed, W., Ed.; IntechOpen: London, UK, 2012; Volume 1. [Google Scholar]
- Shashidhar, V.; Patnaik, D. Flow accelerated corrosion (FAC) in boilers/HRSGs. In Proceedings of the 4th International Gas Processing Symposium, Doha, Qatar, 25 October 2014. [Google Scholar]
- Musabikha, S.; Utama, I.K.A.P.; Mukhtasor. Corrosion in the marine renewable energy: A review. Int. J. Environ. Res. Clean Ener. 2017, 7, 1–9. [Google Scholar]
- Alcántara, J.; Fuente, D.d.l.; Chico, B.; Simancas, J.; Díaz, I.; Morcillo, M. Marine atmospheric corrosion of carbon steel: A review. Materials 2017, 10, 406. [Google Scholar] [CrossRef]
- Great Britain Health and Safety Executive; University of Manchester Institute of Science and Technology Corrosion and Protection Centre. Review of Corrosion Management for Offshore Oil and Gas by Processing, 1st ed.; HSE Books: Sudbury, Canada, 2001. [Google Scholar]
- Wang, F.; Wang, Z.; Fang, X.; Wang, M. DeeplabV3+ image processing based steel components corrosion analysis of power transformation line towers. In Proceedings of the 2023 IEEE International Conference on Power Science and Technology (ICPST), Kunming, China, 7 May 2023; pp. 992–997. [Google Scholar]
- Bell, S.; Steinberg, T.; Will, G. Corrosion mechanisms in molten salt thermal energy storage for concentrating solar power. Renew. Sustain. Energy. Rev. 2019, 114, 109328. [Google Scholar] [CrossRef]
- Prieto, C.; Blindu, A.; Cabeza, L.F.; Valverde, J.; García, G. Molten Salts Tanks Thermal Energy Storage: Aspects to Consider during Design. Energies 2024, 17, 22. [Google Scholar] [CrossRef]
- Mallco, A.; Portillo, C.; Kogan, M.J.; Galleguillos, F.; Fern, A.G. A materials screening test of corrosion monitoring in LiNO3 containing molten salts as a thermal energy storage material for CSP plants. Appl. Sci. 2020, 10, 3160. [Google Scholar] [CrossRef]
- Gomez-Vidal, J.C.; Tirawat, R. Corrosion of alloys in a chloride molten salt (NaCl-LiCl) for solar thermal technologies. Sol. Energy Mater. Sol. Cells 2016, 157, 234–244. [Google Scholar] [CrossRef]
- Villada, C.; Ding, W.; Bonk, A.; Bauer, T. Engineering molten MgCl2–KCl–NaCl salt for high-temperature thermal energy storage: Review on salt properties and corrosion control strategies. Sol. Energy Mater. Sol. Cells 2021, 232, 111344. [Google Scholar] [CrossRef]
- Panagopoulos, A.; Haralambous, K.J. Minimal liquid discharge (MLD) and zero liquid discharge (ZLD) strategies for wastewater management and resource recovery-Analysis, challenges and prospects. J. Environ. Chem. Eng. 2020, 8, 104418. [Google Scholar] [CrossRef]
- Jones, E.; Qadir, M.; van Vliet, M.T.H.; Smakhtin, V.; Kang, S.M. The state of desalination and brine production: A global outlook. Sci. Total Environ. 2019, 657, 1343–1356. [Google Scholar] [CrossRef] [PubMed]
- Cisternas, L.A.; Gálvez, E.D. The use of seawater in mining. Miner. Process. Extr. Metall. Rev. 2018, 39, 18–33. [Google Scholar] [CrossRef]
- Mavukkandy, M.O.; Chabib, C.M.; Mustafa, I.; Al, A. Brine management in desalination industry: From waste to resources generation. Desalination 2019, 472, 114187. [Google Scholar] [CrossRef]
- Toro, N.; Gálvez, E.; Robles, P.; Castillo, J.; Villca, G.; Salinas-Rodríguez, E. Use of alternative water resources in copper leaching processes in chilean mining industry—A Review. Metals 2022, 12, 445. [Google Scholar] [CrossRef]
- Hernández, P.C.; Taboada, M.E.; Herreros, O.O.; Graber, T.A.; Ghorbani, Y. Leaching of Chalcopyrite in Acidified Nitrate Using Seawater-Based Media. Minerals 2018, 8, 238. [Google Scholar] [CrossRef]
- Torres, C.M.; Taboada, M.E.; Graber, T.A.; Herreros, O.O.; Ghorbani, Y.; Watling, H.R. The effect of seawater based media on copper dissolution from low-grade copper ore. Miner. Eng. 2015, 71, 139–145. [Google Scholar] [CrossRef]
- Moreno, P.A.; Aral, H.; Cuevas, J.; Monardes, A.; Adaro, M.; Norgate, T.; Bruckard, W. The use of seawater as process water at Las Luces copper–molybdenum beneficiation plant in Taltal (Chile). Miner. Eng. 2011, 24, 852–858. [Google Scholar] [CrossRef]
- Cai, S.; Ji, H.; Zhu, F.; Pei, W.; Xiao, W.; Tang, X. Research on the Corrosion Behavior of Q235 Pipeline Steel in an Atmospheric Environment through Experiment. Materials 2022, 15, 6502. [Google Scholar] [CrossRef] [PubMed]
- Cáceres, L.; Soliz, A.; Galleguillos, F. Atmospheric Corrosion Evolution of Carbon Steel AISI 1020 along a Longitude Transect in the Atacama Desert. Metals 2022, 12, 1980. [Google Scholar] [CrossRef]
- Verma, C.; Ebenso, E.; Quraishi, M. Corrosion inhibitors for ferrous and non-ferrous metals and alloys in ionic sodium chloride solutions: A review. J. Mol. Liq. 2017, 248, 927–942. [Google Scholar] [CrossRef]
- Pareek, S.; Jain, D.; Behera, D.; Sharma, S.; Shrivastava, R. A review on inhibitors alleviating copper corrosion in hostile simulated sea-water (3.5 wt.% NaCl solution). Mater. Today Proc. 2021, 43, 3303–3308. [Google Scholar] [CrossRef]
- Desai, P.; Pawar, C.; Avhad, M.; More, A. Corrosion inhibitors for carbon steel: A review. Vietnam J. Chem. 2023, 61, 15–42. [Google Scholar] [CrossRef]
- Komary, M.; Komarizadehasl, S.; Tošić, N.; Segura, I.; Lozano-Galant, J.A.; Turmo, J. Low-Cost technologies used in corrosion monitoring. Sensors 2023, 23, 1309. [Google Scholar] [CrossRef]
- Thompson, N.G.; Yunovich, M.; Dunmire, D. Cost of corrosion and corrosion maintenance strategies. Corros. Rev. 2007, 25, 247–262. [Google Scholar] [CrossRef]
- Kania, H. Corrosion and Anticorrosion of Alloys/Metals: The Important Global Issue. Coatings 2023, 13, 216. [Google Scholar] [CrossRef]
- Koch, G.; Varney, J.; Thompson, N.; Moghissi, O.; Gould, M.; Payer, J. International Measures of Prevention Application, and Economics of Corrosion Technologies Study; Gretchen, J., Ed.; Nace International: Houston, TX, USA, 2016. [Google Scholar]
- Asrar, N.; Mackay, B.; Stipanicev, M.; Jackson, J.E.; Jenkis, A.; Melot, D.; Scheie, J.; Vittonato, J. La corrosión: La lucha más extensa. OilField Rev. 2016, 28, 36–51. [Google Scholar]
- Liaw, H.J.; Liu, C.C.; Wan, J.F.; Tzou, T.L. Process safety management lessons learned from a fire and explosion accident caused by a liquefied petroleum gas leak in an aromatics reforming unit in Taiwan. J. Loss Prev. Process. Ind. 2023, 83, 105058. [Google Scholar] [CrossRef]
- Lu, H.; Xi, D.; Qin, G. Environmental risk of oil pipeline accidents. Sci. Total Environ. 2023, 874, 162386. [Google Scholar] [CrossRef]
- Rebak, R.B.; Yin, L.; Zhang, W.; Umretiya, R.V. Effect of the redox potential on the general corrosion behavior of industrial nuclear alloys. J. Nucl. Mater. 2023, 576, 154257. [Google Scholar] [CrossRef]
- Fırat Alemdar, Z.; Alemdar, F. Investigation of Corrosion Effects on Collapse of Truss Structures. Buildings 2023, 13, 826. [Google Scholar] [CrossRef]
- Vazquez, M. La corrosión: El peor de los villanos cuando dominan los metales, 1st ed.; EUDEM: Mar del Plata, Argentina, 2018; pp. 39–45. [Google Scholar]
- Villani, P. El puente de Morandi Colapsado en el Puerto Italiano de Génova: Dinámica y Causas. Available online: https://revistavial.com/el-puente-de-morandi-colapsado-en-el-puerto-italiano-de-genova-dinamica-y-causas/ (accessed on 2 March 2024).
- Castillo, A. El Viaducto Sobre el Polcevera en Génova: Claves Sobre su Diseño e Hipótesis de Rotura. Available online: https://caminosandalucia.es/articulo-el-viaducto-sobre-el-polcevera-en-genova-por-alejandro-castillo/ (accessed on 2 March 2024).
- Gaidis, J.M. Chemistry of corrosion inhibitors. Cem. Concr. Compos. 2004, 26, 181–189. [Google Scholar] [CrossRef]
- Erikson, H.; Sarapuu, A.; Tammeveski, K. Oxygen reduction reaction on silver catalysts in alkaline media: A Minireview. Chem. Electro. Chem. 2019, 6, 73–86. [Google Scholar] [CrossRef]
- Paulus, U.A.; Wokaun, A.; Scherer, G.G.; Schmidt, T.J.; Stamenko, V. Oxygen reduction on high surface area Pt-based alloy catalysts in comparison to well defined smooth bulk alloy electrodes. Electrochem. Acta 2002, 47, 3787–3798. [Google Scholar] [CrossRef]
- Wiberg, G.K.H.; Mayrhofer, K.J.J.; Arenz, M. Investigation of the oxygen reduction activity on silver—A rotating disc electrode study. Fuel Cells 2010, 10, 575–581. [Google Scholar] [CrossRef]
- Chatenet, M.; Genies-Bultel, L.; Aurousseau, M.; Durand, R.; Andolfatto, F. Oxygen reduction on silver catalysts in solutions containing various concentrations of sodium hydroxide—Comparison with platinum. J. Appl. Electrochem. 2002, 32, 1131–1140. [Google Scholar] [CrossRef]
- Badea, G.E.; Maior, I.; Cojocaru, A.; Corbu, I. The cathodic evolution of hydrogen on nickel in artificial seawater. Rev. Roum. Chim. 2007, 52, 1123–1130. [Google Scholar]
- Yang, Y.Z.; Jiang, Y.M.; Li, J. In situ investigation of crevice corrosion on UNS32101 duplex stainless steel in sodium chloride solution. Corros. Sci. 2013, 76, 163–169. [Google Scholar] [CrossRef]
- Wang, Y.; Cheng, G.; Wu, W.; Qiao, Q.; Li, Y.; Li, X. Effect of pH and chloride on the micro-mechanism of pitting corrosion for high strength pipeline steel in aerated NaCl solutions. Appl. Surf. Sci. 2015, 349, 746–756. [Google Scholar] [CrossRef]
- Klapper, H.S.; Goellner, J.; Burkert, A.; Heyn, A. Environmental factors affecting pitting corrosion of type 304 stainless steel investigated by electrochemical noise measurements under potentiostatic control. Corros. Sci. 2013, 75, 239–247. [Google Scholar] [CrossRef]
- Salasi, M.; Stachowiak, G.B.; Stachowiak, G.W. Three-body tribocorrosion of high-chromium cast irons in neutral and alkaline environments. Wear 2011, 271, 1385–1396. [Google Scholar] [CrossRef]
- Winiarski, J.; Tylus, W.; Winiarska, K.; Szczygieł, I.; Szczygieł, B. XPS and FT-IR characterization of selected synthetic corrosion products of zinc expected in neutral environment containing chloride ions. J. Spectros. 2018, 2018, 2079278. [Google Scholar] [CrossRef]
- Talebian, M.; Raeissi, K.; Atapour, M.; Fernández-Pérez, B.M.; Betancor-Abreu, A.; Llorente, I.; Fajardo, S.; Salarvand, Z.; Meghdadi, S.; Amirnasr, M.; et al. Pitting corrosion inhibition of 304 stainless steel in NaCl solution by three newly synthesized carboxylic Schiff bases. Corros. Sci. 2019, 160, 108130. [Google Scholar] [CrossRef]
- Xia, D.H.; Song, S.Z.; Wang, J.H.; Bi, H.C.; Jiang, Y.X.; Han, Z.W. Corrosion behavior of tinplate in NaCl solution. Trans. Nonferrous Met. Soc. China 2012, 22, 717–724. [Google Scholar] [CrossRef]
- Crolet, J.L.; Thevenot, N.; Nesic, S. Role of conductive corrosion products in the protectiveness of corrosion layers. Corrosion 1998, 53, 194–203. [Google Scholar] [CrossRef]
- Li, G.; Zhu, W. Tidal current energy harvesting technologies: A review of current status and life cycle assessment. Renew. Sustain. Energy Rev. 2023, 179, 113269. [Google Scholar] [CrossRef]
- Li, C.; Li, J.; Ren, Q.; Zheng, Q.; Jiang, Z. Durability of concrete coupled with life cycle assessment: Review and perspective. Cem. Concr. Compos. 2023, 139, 105041. [Google Scholar] [CrossRef]
- Duval-Dachary, S.; Beauchet, S.; Lorne, D.; Salou, T.; Helias, A.; Pastor, A. Life cycle assessment of bioenergy with carbon capture and storage systems: Critical review of life cycle inventories. Renew. Sustain. Energy Rev. 2023, 183, 113415. [Google Scholar] [CrossRef]
- Chohan, I.M.; Ahmad, A.; Sallih, N.; Bheel, N.; Ali, M.; Deifalla, A.F. A review on life cycle assessment of different pipeline materials. Results Eng. 2023, 19, 101325. [Google Scholar] [CrossRef]
- Zomorodian, A.; Behnood, A. Review of corrosion inhibitors in reinforced concrete: Conventional and green materials. Buildings 2023, 13, 1170. [Google Scholar] [CrossRef]
- Medupin, R.O.; Ukoba, K.O.; Yoro, K.O.; Jen, T.C. Sustainable approach for corrosion control in mild steel using plant-based inhibitors: A review. Mater. Today Sustain. 2023, 22, 100373. [Google Scholar] [CrossRef]
- Alao, A.O.; Popoola, A.P.; Dada, M.O.; Sanni, O. Utilization of green inhibitors as a sustainable corrosion control method for steel in petrochemical industries: A review. Front. Energy Res. 2023, 10, 1063315. [Google Scholar] [CrossRef]
- Verma, C.; Alfantazi, A.; Quraishi, M.A.; Rhee, K.Y. Are extracts really green substitutes for traditional toxic corrosion inhibitors? Challenges beyond origin and availability. Sustain. Chem. Pharm. 2023, 31, 100943. [Google Scholar] [CrossRef]
- Baskar, P.; Annadurai, S.; Panneerselvam, S.; Prabakaran, M.; Kim, J. An Outline of Employing Metals and Alloys in Corrosive Settings with Ecologically Acceptable Corrosion Inhibitors. Surfaces 2023, 6, 380–409. [Google Scholar] [CrossRef]
- Rouin, G.; Abdelmouleh, M.; Mallah, A.; Masmoudi, M. Oil extracted from spent coffee grounds as a green corrosion inhibitor for copper in a 3 wt% NaCl solution. Coatings 2023, 13, 1745. [Google Scholar] [CrossRef]
- Kumar, D.; Jain, V.; Rai, B. Unravelling the mechanisms of corrosion inhibition of iron by henna extract: A density functional theory study. Corros. Sci. 2018, 142, 102–109. [Google Scholar] [CrossRef]
- Abdel-Gaber, A.M.; Abdel-Nabey, B.A.; Saadawy, M. The co-operative effect of chloride ions and some natural extracts in retarding corrosion of steel in neutral media. Mater. Corros. 2012, 63, 161–167. [Google Scholar] [CrossRef]
- Kliskic, M.; Radosevic, J.; Gudic, S.; Katalinic, V. Aqueous extract of Rosmarinus officinalis L. as inhibitor of Al-Mg alloy corrosion in chloride solution. J. Appl. Electrochem. 2000, 30, 823–830. [Google Scholar] [CrossRef]
- Jahdaly, B.A.A. Rosmarinus officinalis extract as eco-friendly corrosion inhibitor for copper in 1 M nitric acid solution: Experimental and theoretical studies. Arab. J. Chem. 2023, 16, 104411. [Google Scholar] [CrossRef]
- Anhaia-Machado, J.O.; Soares, A.C.G.; de Oliveira Pinto, C.A.S.; Barrera, A.I.Á.; Baby, A.R.; Trossini, G.H.G. Molecular Modeling Based on Time-Dependent Density Functional Theory (TD-DFT) Applied to the UV-Vis Spectra of Natural Compounds. Chemistry 2023, 5, 41–53. [Google Scholar] [CrossRef]
- Chandran, K.; Zochedh, A.; Sultan, A.B.; Kathiresan, T. Observations into quantum simulation, spectroscopy, electronic properties, pharmacokinetics and molecular docking analysis of lawsone against breast cancer. J. Mol. Liq. 2023, 1293, 136280. [Google Scholar] [CrossRef]
- Członka, S.; Strąkowska, A.; Kairytė, A. Coir Fibers Treated with Henna as a Potential Reinforcing Filler in the Synthesis of Polyurethane Composites. Materials 2021, 14, 1128. [Google Scholar] [CrossRef]
- Mejía, J.J.; Sierra, L.J.; Ceballos, J.G.; Martínez, J.R.; Stashenko, E.E. Color, Antioxidant Capacity and Flavonoid Composition in Hibiscus rosa-sinensis Cultivars. Molecules 2023, 28, 1779. [Google Scholar] [CrossRef] [PubMed]
- Thirumalaikumar, M. Green corrosion inhibitors in various corroding media. Bulg. Chem. Commun. 2021, 53, 142–157. [Google Scholar]
- Abdel-Gaber, A.M.; Abd-El-Naby, B.A.; Abdullatef, O.A.; Abd-El-Gabr, A.M.; Shaker, M.A.; Esmail, G. Effect of some natural extracts on the corrosion of Zinc in 0.5 M NaCl. Int. J. Electrochem. Sci. 2012, 7, 5864–5879. [Google Scholar] [CrossRef]
- Çınar, M.; Alım, B.; Alım, Z.; Şakar, E. Determination of the molecular structure and spectroscopic properties of capsaicin. Radiat. Phys. Chem. 2023, 208, 110879. [Google Scholar] [CrossRef]
- Chraka, A.; Seddik, N.B.; Raissouni, I.; Kassout, J.; Choukairi, M.; Ezzaki, M.; Zaraali, O.; Belcadi, H.; Janoub, F.; Mansour, A.I.; et al. Electrochemical explorations, SEM/EDX analysis, and quantum mechanics/molecular simulations studies of sustainable corrosion inhibitors on the Cu-Zn alloy in 3% NaCl solution. J. Mol. Liq. 2023, 387, 122715. [Google Scholar] [CrossRef]
- Kumar, A.M.; Rajesh, T.; Obot, I.B.; Sharfan, I.I.B.; Abdulhamid, M.A. Water-soluble chitosan salt as ecofriendly corrosion inhibitor for N80 pipeline steel in artificial sea water: Experimental and theoretical approach. Int. J. Biol. Macromol. 2024, 254, 127697. [Google Scholar] [CrossRef]
- Xu, Q.; Hou, D.; Zhang, H.; Wang, P.; Wang, M.; Wu, D.; Liu, C.; Ding, Z.; Zhang, M.; Xin, Z.; et al. Understanding the effect of vitamin B3, B6 and C as a corrosion inhibitor on the ordinary Portland cement hydration: Experiments and DFT study. Constr. Build. Mater. 2022, 331, 127294. [Google Scholar] [CrossRef]
- Benzbiria, N.; Echihi, S.; Belghiti, M.E.; Thoume, A.; Elmakssoudi, A.; Zarrouk, A.; Zertoubi, M.; Azzi, M. Novel synthetized benzodiazepine as efficient corrosion inhibitor for copper in 3.5% NaCl solution. Mater. Today Proc. 2021, 37, 3932–3939. [Google Scholar] [CrossRef]
- Palaniappan, N.; Cole, I.; Caballero-Briones, F.; Manickam, S.; Justin-Thomas, K.R.; Santos, D. Experimental and DFT studies on the ultrasonic energy-assisted extraction of the phytochemicals of: Catharanthus roseus as green corrosion inhibitors for mild steel in NaCl medium. RSC Adv. 2020, 10, 5399–5411. [Google Scholar] [CrossRef]
- Serdaroğlu, G.; Kaya, S.; Touir, R. Eco-friendly sodium gluconate and trisodium citrate inhibitors for low carbon steel in simulated cooling water system: Theoretical study and molecular dynamic simulations. J. Mol. Liq. 2020, 319, 114108. [Google Scholar] [CrossRef]
- Ashwini, N.; Dileep, R.; Ranganatha, S. Curcumin and Curcumin derivatives as green corrosion inhabitor-A review. Phys. Chem. Res. 2023, 11, 825–835. [Google Scholar]
- El-Etre, A.Y.; Abdallah, M. Natural honey as corrosion inhibitor for metals and alloys. II. C-steel in high saline water. Corros. Sci. 2000, 42, 731–738. [Google Scholar] [CrossRef]
- Davis, G.D.; Krebs, L.; Dacres, C.M.; Von Fraunhofer, J.A. The use of tobacco extracts as corrosion inhibitors. In Proceedings of the CORROSION 2001, Huston, TX, USA, 11 October 2001. [Google Scholar]
- Royani, A.; Aigbodion, V.S.; Hanafi, M.; Mubarak, N.M.; Verma, C.; Alfantazi, A.; Manaf, A. Enhancing the corrosion inhibition performance of Tinospora cordifolia extract using different fractions of methanol solvent on carbon steel corrosion in a seawater-simulated solution. Appl. Surf. Sci. Adv. 2023, 18, 100465. [Google Scholar] [CrossRef]
- Ananda, R.; Sathiyanathan, L.; Maruthamuthu, S.; Selvanayagam, M.; Mohanan, S.; Palaniswamy, N. Corrosion inhibition of mild steel by ethanolic extracts of Ricinus communis leaves. Indian J. Chem. Technol. 2005, 12, 356–360. [Google Scholar]
- Palanisamy, S.P.; Maheswaran, G.; Selvarani, A.G.; Kamal, C.; Venkatesh, G. Ricinus communis—A green extract for the improvement of anti-corrosion and mechanical properties of reinforcing steel in concrete in chloride media. J. Build. Eng. 2018, 19, 376–383. [Google Scholar] [CrossRef]
- El-Etre, A.Y.; Abdallah, M.; El-Tantawy, Z.E. Corrosion inhibition of some metals using lawsonia extract. Corros. Sci. 2005, 47, 385–395. [Google Scholar] [CrossRef]
- Anuradha, K.; Vimala, R.; Narayanasamy, B.; Selvi, J.A.; Rajendran, S. Corrosion inhibition of carbon steel in low chloride media by an aqueous extract of Hibiscus rosa-sinensis Linn. Chem. Eng. Commun. 2008, 195, 352–366. [Google Scholar] [CrossRef]
- Abdel-Gaber, A.M.; Khamis, E.; Abo-ElDahab, H.; Adeel, S. Inhibition of aluminium corrosion in alkaline solutions using natural compound. Mater. Chem. Phys. 2008, 109, 297–305. [Google Scholar] [CrossRef]
- Laudon, M.; Laird, D.L.; Romanowicz, B.F. Clean Technology 2009: Bioenergy, Renewables, Storage, Grid, Waste and Sustainability. In TechConnect Summit (2009: Houston, Tex.); NSTI Nanotechnology Conference and Trade Show (2009: Houston, Tex.); Clean Technology 2009 (2009: Houston, Tex); Clean Technology and Sustainable Industries Organization: Houston, TX, USA, 2009. [Google Scholar]
- Halambek, J.; Berković, K.; Vorkapić-Furač, J. The influence of Lavandula angustifolia L. oil on corrosion of Al-3Mg alloy. Corros. Sci. 2010, 52, 3978–3983. [Google Scholar] [CrossRef]
- Lebrini, M.; Suedile, F.; Salvin, P.; Roos, C.; Zarrouk, A.; Jama, C.; Bentiss, F. Bagassa guianensis ethanol extract used as sustainable eco-friendly inhibitor for zinc corrosion in 3% NaCl: Electrochemical and XPS studies. Surf. Interfaces 2020, 20, 100588. [Google Scholar] [CrossRef]
- Hynes, N.R.J.; Vignesh, N.J.; Barile, C.; Velu, P.S.; Baskaran, T.; Jappes, J.T.W.; Al-Khashman, O.A.; Brykov, M.; Ene, A. Green corrosion inhibition on carbon-fibre-reinforced aluminium laminate in NaCl using Aerva Lanata flower extract. Polymers 2022, 14, 1700. [Google Scholar] [CrossRef] [PubMed]
- Zlatić, G.; Martinović, I.; Pilić, Z.; Paut, A.; Mitar, I.; Prkić, A.; Čulum, D. Green inhibition of corrosion of aluminium alloy 5083 by Artemisia annua L. extract in artificial seawater. Molecules 2023, 28, 2898. [Google Scholar] [CrossRef] [PubMed]
- Loto, C.; Popoola, A. Electrochemical potential monitoring of corrosion and inhibitors protection of mild steel embedded in concrete in NaCl solution. J. Mater. Environ. Sci. 2012, 3, 816–825. [Google Scholar]
- Abd-El-Khalek, D.E.; Abd-El-Nabey, B.A.; Abdel-Gaber, A.M. Evaluation of Nicotiana leaves extract as corrosion inhibitor for steel in acidic and neutral chloride solutions. Port. Electrochim. Acta 2012, 30, 247–259. [Google Scholar] [CrossRef]
- Gerengi, H. Anticorrosive properties of date palm (Phoenix dactylifera L.) fruit juice on 7075 type aluminum alloy in 3.5% NaCl solution. Ind. Eng. Chem. Res. 2012, 51, 12835–12843. [Google Scholar] [CrossRef]
- Fouda, A.S.; Tawfik, H.; Badr, A.H. Corrosion inhibition of mild steel by Camellia Sinensis extract as green inhibitor. Adv. Mater. Corros. 2012, 1, 1–7. [Google Scholar]
- Wan-Nik, W.B.; Zulkifli, F.; Sulaiman, O.; Samo, K.B.; Rosliza, R. Study of henna (Lawsonia inermis) as natural corrosion inhibitor for aluminum alloy in seawater. IOP Conf. Ser. Mater. Sci. Eng. 2012, 36, 012043. [Google Scholar]
- Fouda, A.S.; El-Khateeb, A.Y.; Fakih, M. Methanolic extract of curcum plant as a green corrosion inhibitor for steel in NaCl polluted solutions. Indian J. Sci. Res. 2013, 4, 219–227. [Google Scholar]
- Felipe, M.B.M.C.; Silva, D.R.; Martinez-Huitle, C.A.; Medeiros, S.R.B.; Maciel, M.A.M. Effectiveness of Croton cajucara Benth on corrosion inhibition of carbon steel in saline medium. Mater. Corros. 2013, 64, 530–534. [Google Scholar] [CrossRef]
- Pradityana, A.; Sulistijono, S.; Shahab, A. Effectiveness of Myrmecodia pendans extract as eco-friendly corrosion inhibitor for material API 5L grade B in 3.5% NaCl solution. Adv. Mater. Res. 2013, 789, 484–491. [Google Scholar] [CrossRef]
- Loto, C.A.; Joseph, O.O.; Loto, R.T.; Popoola, A.P.I. Inhibition effect of Vernonia amygdalina extract on the corrosion of mild steel reinforcement in concrete in 3.5M NaCl environment. Int. J. Electrochem. Sci. 2013, 8, 11087–11100. [Google Scholar] [CrossRef]
- Suedile, F.; Robert, F.; Roos, C.; Lebrini, M. Corrosion inhibition of zinc by Mansoa alliacea plant extract in sodium chloride media: Extraction, Characterization and Electrochemical Studies. Electrochim. Acta 2014, 133, 631–638. [Google Scholar] [CrossRef]
- Pourriahi, M.; Nasr-Esfahani, M.; Motalebi, A. Effect of henna and rosemary extracts on the corrosion of 304L stainless steel in 3.5% NaCl solution. Surf. Eng. Appl. Electrochem. 2014, 50, 525–533. [Google Scholar] [CrossRef]
- Nwankwo, M.O.; Offor, P.O.; Neife, S.I.; Oshionwu, L.C.; Idenyi, N.E. Amaranthus cordatus as a green corrosion inhibitor for mild steel in H2SO4 and NaCl. J. Miner. Mater. Charact. Eng. 2014, 2, 194–199. [Google Scholar]
- Azahar, S.S.; Raja, P.B.; Ibrahim, M.N.M.; Awang, K.; Zakeyuddin, M.S.; Hamidon, T.S.; Hussin, M.H. Extraction of flavonoids from Butterfly blue pea (Clitoria ternatea) flower as carbon steel corrosion inhibitor in CO2 environment: Experimental and theoretical approaches. J. Mol. Liq. 2024, 396, 124056. [Google Scholar] [CrossRef]
- Al-Asadi, A.A.; Abdullah, A.S.; Khaled, N.I.; Alkhafaja, R.J.M. Effect of an aloe vera as a natural inhibitor on the corrosion of mild steel in 1 wt. % NaCl. Int. Res. J. Eng. Technol. 2015, 2, 604–607. [Google Scholar]
- El Ouadi, Y.; El Ouadi, Y.; Bouyanzer, A.; Majidi, L.; Paolini, J.; Desjobert, J.M.; Costa, J.; Chetouani, A.; Hammouti, B.; Jodeh, S.; et al. Evaluation of Pelargonium extract and oil as eco-friendly corrosion inhibitor for steel in acidic chloride solutions and pharmacological properties. Res. Chem. Intermed. 2015, 41, 7125–7149. [Google Scholar] [CrossRef]
- Tuaweri, T.J.; Ogbonnaya, E.A.; Onyemaobi, O.O. Corrosion inhibition of heat treated mild steel with neem leave extract in a chloride medium. Int. J. Res. Eng. Technol. 2015, 4, 404–409. [Google Scholar]
- Al-Juhaiman, L.A.; Al-Shihry, R.A.; Al-Hazmei, H.M. The Inhibition effect of cinnamon extract on leaching of aluminum cook wares in NaCl solutions at quasi-cooking condition. J. Surf. Eng. Mater. Adv. Technol. 2015, 5, 177–189. [Google Scholar] [CrossRef]
- Pradityana, A.; Sulistijono, S.; Shahab, A.; Noerochim, L.; Susanti, D. Inhibition of corrosion of carbon steel in 3.5% NaCl solution by Myrmecodia Pendans extract. Int. J. Corros. 2016, 2016, 6058286. [Google Scholar] [CrossRef]
- Rahal, C.; Masmoudi, M.; Abdelhedi, R.; Sabot, R.; Jeannin, M.; Bouaziz, M.; Refait, P. Olive leaf extract as natural corrosion inhibitor for pure copper in 0.5 M NaCl solution: A study by voltammetry around OCP. J. Electroanal. Chem. 2016, 769, 53–61. [Google Scholar] [CrossRef]
- Hart Kalada, G.; Orubite, O.K.; James, A.O. Corrosion inhibition of copper in seawater by Xanthosoma Spp leaf extract (XLE). Int. J. Adv. Res. Chem. Sci. 2016, 3, 34–40. [Google Scholar]
- Challouf, H.; Souissi, N.; Messaouda, M.B.; Abidi, R.; Madani, A. Origanum majorana extracts as mild steel corrosion green inhibitors in aqueous chloride medium. J. Environ. Prot. 2016, 7, 532–544. [Google Scholar] [CrossRef]
- Wang, H.; Gao, M.; Guo, Y.; Yang, Y.; Hu, R. A natural extract of tobacco rob as scale and corrosion inhibitor in artificial seawater. Desalination 2016, 398, 198–207. [Google Scholar] [CrossRef]
- Okeniyi, J.O.; Loto, C.A.; Popoola, A.P.I. Effects of Phyllanthus muellerianus leaf-extract on steel-reinforcement corrosion in 3.5% NaCl-immersed concrete. Metals 2016, 6, 255. [Google Scholar] [CrossRef]
- Deyab, M.A. Inhibition activity of Seaweed extract for mild carbon steel corrosion in saline formation water. Desalination 2016, 384, 60–67. [Google Scholar] [CrossRef]
- Etteyeb, N.; Nóvoa, X.R. Inhibition effect of some trees cultivated in arid regions against the corrosion of steel reinforcement in alkaline chloride solution. Corros. Sci. 2016, 112, 471–482. [Google Scholar] [CrossRef]
- Vaszilcsin, C.G.; Dan, M.L.; Enache, A.F.; Hulka, I. Inhibiting corrosion process of carbon steel in sodium chloride aqueous solution by capsaicin extract. Chem. Bull. POLITEHNICA Univ. 2016, 61, 1–8. [Google Scholar]
- Ahmed, A.; Siyaka, S.O. A study of Veronia Amygdalina leaf extract on corrosion resistance of 96%Al, 3.5%Zn and 0.5%Mg in NaCl solution. Bioprocess Eng. 2017, 1, 77–80. [Google Scholar]
- Fouda, A.E.A.S.; El-Katori, E.E.; Al-Mhyawi, S. Methanol extract of slanum nigrum as eco-friendly corrosion inhibitor for zinc in sodium chloride polluted solutions. Int. J. Electrochem. Sci. 2017, 12, 9104–9120. [Google Scholar] [CrossRef]
- Gadow, H.S.; Motawea, M.M.; Elabbasy, H.M. Investigation of myrrh extract as a new corrosion inhibitor for α-brass in 3.5% NaCl solution polluted by 16 ppm sulfide. RSC Adv. 2017, 7, 29883–29898. [Google Scholar] [CrossRef]
- Fouda, A.S.; Emam, A.; Refat, R.; Nageeb, M. Cascabela thevetia plant extract as corrosion inhibitor for carbon steel in polluted sodium chloride solution. J. Anal. Pharm. Res. 2017, 6, 168. [Google Scholar]
- Souli, R.; Leila, D.; Berçot, P.; Rezrazi, E.M.; Triki, E. Effect of aqueous extract of Nigella sativa seeds on the mild steel corrosion in chloride media. J. Tun. Chem. Soc. 2017, 19, 193–197. [Google Scholar]
- Chen, S.; Singh, A.; Wang, Y.; Liu, W.; Deng, K.; Lin, Y. Inhibition effect of Ilex kudingcha C.J. Tseng (Kudingcha) extract on J55 steel in 3.5wt% NaCl solution saturated with CO2. Int. J. Electrochem. Sci. 2017, 12, 782–796. [Google Scholar] [CrossRef]
- Heakal, F.E.T.; Deyab, M.A.; Osman, M.M.; Elkholy, A.E. Performance of Centaurea cyanus aqueous extract towards corrosion mitigation of carbon steel in saline formation water. Desalination 2018, 425, 111–122. [Google Scholar] [CrossRef]
- Subramanian, G.; Kannan, R.S.; Malarvizhi, M.; Muthirulan, P. A novel eco-friendly corrosion inhibitor for mild steel protection in two different aggressive artificial corrosive medium. J. Chem. Pharm. Res. 2018, 10, 155–163. [Google Scholar]
- Nasr, K.; Fedel, M.; Essalah, K.; Deflorian, F.; Souissi, N. Experimental and theoretical study of Matricaria recutita chamomile extract as corrosion inhibitor for steel in neutral chloride media. Anti-Corros. Methods Mater. 2018, 65, 292–309. [Google Scholar] [CrossRef]
- Casaletto, M.P.; Figà, V.; Privitera, A.; Bruno, M.; Napolitano, A.; Piacente, S. Inhibition of Cor-Ten steel corrosion by “green” extracts of Brassica campestris. Corros. Sci. 2018, 136, 91–105. [Google Scholar] [CrossRef]
- Ramezanzadeh, M.; Sanaei, Z.; Bahlakeh, G.; Ramezanzadeh, B. Highly effective inhibition of mild steel corrosion in 3.5% NaCl solution by green Nettle leaves extract and synergistic effect of eco-friendly cerium nitrate additive: Experimental, MD simulation and QM investigations. J. Mol. Liq. 2018, 256, 67–83. [Google Scholar] [CrossRef]
- Tambun, R.; Christamore, E.; Pakpahan, Y.F.; Haryanto, B. Banana peel utilization as the green corrosion inhibitor of iron in NaCl medium. IOP Conf. Ser. Mater. Sci. Eng. 2018, 420, 012059. [Google Scholar] [CrossRef]
- Rajesh, V.; Reddi, E.U.B.; Reddy, T.B.; Prasad, C.D.; Kumar, B.P. Aerva lanata leaf extract as a corrosion inhibitor for carbon steel in chloride environment. Int. J. Res.-Granthaalayah 2018, 6, 153–162. [Google Scholar]
- Alibakhshi, E.; Ramezanzadeh, M.; Haddadi, S.A.; Bahlakeh, G.; Ramezanzadeh, B.; Mahdavian, M. Persian Liquorice extract as a highly efficient sustainable corrosion inhibitor for mild steel in sodium chloride solution. J. Clean Prod. 2019, 210, 660–672. [Google Scholar] [CrossRef]
- Singh, A.; Lin, Y.; Ebenso, E.E.; Liu, W.; Pan, J.; Huang, B. Gingko biloba fruit extract as an eco-friendly corrosion inhibitor for J55 steel in CO2-saturated 3.5% NaCl solution. J. Ind. Eng. Chem. 2015, 24, 219–228. [Google Scholar] [CrossRef]
- Othman, N.K.; Yahya, S.; Ismail, M.C. Corrosion inhibition of steel in 3.5% NaCl by rice straw extract. J. Ind. Eng. Chem. 2019, 70, 299–310. [Google Scholar] [CrossRef]
- Barbouchi, M.; Benzidia, B.; El Idrissi, M.; Choukrad, M. Iron corrosion green inhibition in a 3% NaCl solution, by leaves extract from Pistacia Terebinthus L. Growing wild in Morocco. Port. Electrochim. Acta 2020, 38, 175–184. [Google Scholar] [CrossRef]
- Sanni, O.; Popoola, A.P.; Fayomi, O.S. Adsorption and performance evaluation of green corrosion inhibitor from industrial waste on UNS N08904 stainless steel subjected to chloride solution. J. Chem. Technoll. Metall. 2020, 55, 449–458. [Google Scholar]
- Al-Nami, S.Y.; Fouda, A.E.A.S. Kalanchoe blossfeldina extract as a green corrosion inhibitor for carbon steel in Na2S-polluted NaCl solutions. Int. J. Electrochem. Sci. 2020, 15, 535–547. [Google Scholar] [CrossRef]
- Hasanin, M.S.; Al Kiey, S.A. Environmentally benign corrosion inhibitors based on cellulose niacin nano-composite for corrosion of copper in sodium chloride solutions. Int. J. Biol. Macromol. 2020, 161, 345–354. [Google Scholar] [CrossRef]
- Elfidiah; Kharismadewi, D.; Yuliwati, E. Wuluh starfruit (Averrhoa bilimbi linn.) leaves extract as green corrosion inhibitor in reinforced steel. J. Phys. Conf. Ser. 2020, 1444, 012003. [Google Scholar] [CrossRef]
- Refait, P.; Rahal, C.; Masmoudi, M. Corrosion inhibition of copper in 0.5 M NaCl solutions by aqueous and hydrolysis acid extracts of olive leaf. J. Electroanal. Chem. 2020, 859, 113834. [Google Scholar] [CrossRef]
- Chauhan, D.S.; EL Mouaden, K.; Quraishi, M.A.; Bazzi, L. Aminotriazolethiol-functionalized chitosan as a macromolecule-based bioinspired corrosion inhibitor for surface protection of stainless steel in 3.5% NaCl. Int. J. Biol. Macromol. 2020, 152, 234–241. [Google Scholar] [CrossRef] [PubMed]
- Chraka, A.; Raissouni, I.; Seddik, N.B.; Khayar, S.; El Amrani, S.; El Hadri, M.; Chaouket, F.; Bouchta, D. Croweacin and Ammi visnaga (L.) lam essential oil derivatives as green corrosion inhibitors for brass in 3% NaCl medium: Quantum mechanics investigation and Molecular dynamics simulation approaches. Mediterr. J. Chem. 2020, 10, 378–395. [Google Scholar] [CrossRef]
- Afandi, M.A.; Saud, S.N.; Hamzah, E. Green-based corrosion protection for mild steel in 3.5% NaCl and distilled water medias: Jatropha curcas and Roselle extracts. J. Met. Mater. Miner. 2020, 30, 91–104. [Google Scholar] [CrossRef]
- Rana, M.; Joshi, S.; Bhattarai, J. Extract of different plants of Nepalese origin as green corrosion inhibitor for mild steel in 0.5 M NaCl solution. Asian J. Chem. 2017, 29, 1130–1134. [Google Scholar] [CrossRef]
- Umoren, S.A.; Solomon, M.M.; Madhankumar, A.; Obot, I.B. Exploration of natural polymers for use as green corrosion inhibitors for AZ31 magnesium alloy in saline environment. Carbohydr. Polym. 2020, 230, 115466. [Google Scholar] [CrossRef] [PubMed]
- Tantawy, A.H.; Soliman, K.A.; El-Lateef, H.M.A. Novel synthesized cationic surfactants based on natural piper nigrum as sustainable-green inhibitors for steel pipeline corrosion in CO2-3.5%NaCl: DFT, Monte Carlo simulations and experimental approaches. J. Clean. Prod. 2020, 250, 119510. [Google Scholar] [CrossRef]
- Singh, A.; Ansari, K.R.; Quraishi, M.A. Inhibition effect of natural polysaccharide composite on hydrogen evolution and P110 steel corrosion in 3.5 wt% NaCl solution saturated with CO2: Combination of experimental and surface analysis. Int. J. Hydrog. Energy 2020, 45, 25398–25408. [Google Scholar] [CrossRef]
- Popoola, L.T.; Yusuff, A.S.; Ikumapayi, O.M.; Chima, O.M.; Ogunyemi, A.T.; Obende, B.A. Carbon steel behavior towards Cucumeropsis mannii shell extract as an ecofriendly green corrosion inhibitor in chloride medium. Sci. Afr. 2023, 21, e01860. [Google Scholar] [CrossRef]
- Harb, M.B.; Abubshait, S.; Etteyeb, N.; Kamoun, M.; Dhouib, A. Olive leaf extract as a green corrosion inhibitor of reinforced concrete contaminated with seawater. Arab. J. Chem. 2020, 13, 4846–4856. [Google Scholar] [CrossRef]
- Nazari, M.H.; Shihab, M.S.; Havens, E.A.; Shi, X. Mechanism of corrosion protection in chloride solution by an apple-based green inhibitor: Experimental and theoretical studies. J. Infrastruc. Preserv. Resil. 2020, 1, 7. [Google Scholar] [CrossRef]
- El-Shamy, A.M.; El-Hadek, M.A.; Nassef, A.E.; El-Bindary, R.A. Optimization of the influencing variables on the corrosion property of steel alloy 4130 in 3.5 wt.% NaCl solution. J. Chem. 2020, 2020, 9212491. [Google Scholar] [CrossRef]
- Hossain, S.M.Z.; Kareem, S.A.; Alshater, A.F.; Alzubair, H.; Razzak, S.A.; Hossain, M.M. Effects of Cinnamaldehyde as an Eco-Friendly Corrosion Inhibitor on Mild Steel in Aerated NaCl Solutions. Arab. J. Sci. Eng. 2020, 45, 229–239. [Google Scholar] [CrossRef]
- Yee, Y.P.; Saud, S.N.; Hamzah, E. Pomelo peel extract as corrosion inhibitor for steel in simulated seawater and acidic mediums. J. Materi. Eng. Perform. 2020, 29, 2202–2215. [Google Scholar] [CrossRef]
- Wu, Y.; Zhang, Y.; Jiang, Y.; Qian, Y.; Guo, X.; Wang, L.; Zhang, J. Orange peel extracts as biodegradable corrosion inhibitor for magnesium alloy in NaCl solution: Experimental and theoretical studies. J. Taiwan Inst. Chem. Eng. 2020, 115, 35–46. [Google Scholar] [CrossRef]
- Rizvi, M.; Gerengi, H.; Yildiz, M.; Kekecoglu, M.; Pehlivan, M.M. Investigation of ‘propolis’ as a green inhibitor of SAE 1010 carbon steel corrosion in 3.5% NaCl environment. Ind. Eng. Chem. Res. 2020, 59, 9328–9339. [Google Scholar] [CrossRef]
- Wijaya, A.; Soedarsono, J.W.; Laksana, A.P.; Aditiyawarman, T. Study of mixing purple sweet potato and turmeric extract as green corrosion inhibitor for API-5L in NaCl 3.5% environment. AIP Conf. Proc. 2023, 2727, 030014. [Google Scholar]
- Zhang, M. Davidian involucrata leaves extract as green corrosion inhibitor for low carbon steel in concrete pore solution containing chloride ions. Int. J. Electrochem. Sci. 2021, 16, 21042. [Google Scholar] [CrossRef]
- Dent, M.; Fuchs-Godec, R. Sage extract as a natural source of corrosion inhibitor for tinplate in 3.0% NaCl. Food Technol. Biotechnol. 2021, 59, 413–421. [Google Scholar] [CrossRef]
- Maurya, S.; Jaiswal, A.; Ji, G.; Prakash, R. Waste Solanum melongena stem extract for corrosion inhibition of mild steel in 1M NaCl. Mater. Today Proc. 2021, 44, 2716–2720. [Google Scholar] [CrossRef]
- Vorobyova, V.; Skiba, M. Peach pomace extract as novel cost-effective and high-performance green inhibitor for mild steel corrosion in NaCl solution: Experimental and theoretical research. Waste Biomass Valorization 2021, 12, 4623–4641. [Google Scholar] [CrossRef]
- Valdez-Salas, B.; Vazquez-Delgado, R.; Salvador-Carlos, J.; Beltran-Partida, E.; Salinas-Martinez, R.; Cheng, N.; Curiel-Alvarez, M. Azadirachta indica leaf extract as green corrosion inhibitor for reinforced concrete structures: Corrosion effectiveness against commercial corrosion inhibitors and concrete integrity. Materials 2021, 14, 3326. [Google Scholar] [CrossRef]
- Subbiah, K.; Lee, H.S.; Mandal, S.; Park, T. Conifer Cone (Pinus resinosa) as a green corrosion inhibitor for steel rebar in chloride-contaminated synthetic concrete pore solutions. ACS Appl. Mater. Interfaces 2021, 13, 43676–43695. [Google Scholar] [CrossRef]
- Dahmani, K.; Galai, M.; Ouakki, M.; Cherkaoui, M.; Touir, R.; Erkan, S.; Kaya, S.; El Ibrahimi, B. Quantum chemical and molecular dynamic simulation studies for the identification of the extracted cinnamon essential oil constituent responsible for copper corrosion inhibition in acidified 3.0 wt% NaCl medium. Inorg. Chem. Commun. 2021, 124, 108409. [Google Scholar] [CrossRef]
- Cáceres, L.; Frez, Y.; Galleguillos, F.; Soliz, A.; Gómez-Silva, B.; Borquez, J. Aqueous dried extract of Skytanthus acutus Meyen as corrosion inhibitor of carbon steel in neutral chloride solutions. Metals 2021, 11, 1992. [Google Scholar] [CrossRef]
- Udensi, S.C.; Ekpe, O.E.; Nnanna, L.A. Corrosion inhibition performance of low cost and eco-friendly Treculia africana leaves extract on aluminium alloy AA7075-T7351 in 2.86% NaCl solutions. Sci. Afr. 2021, 12, e00791. [Google Scholar] [CrossRef]
- Fernine, Y.; Ech-chihbi, E.; Arrousse, N.; El Hajjaji, F.; Bousraf, F.; Ebn Touhami, M.; Rais, Z.; Taleb, M. Ocimum basilicium seeds extract as an environmentally friendly antioxidant and corrosion inhibitor for aluminium alloy 2024-T3 corrosion in 3 wt% NaCl medium. Colloids Surf. A Physicochem. Eng. Asp. 2021, 627, 127232. [Google Scholar] [CrossRef]
- Lai, X.; Hu, J.; Ruan, T.; Zhou, J.; Qu, J. Chitosan derivative corrosion inhibitor for aluminum alloy in sodium chloride solution: A green organic/inorganic hybrid. Carbohydr. Polym. 2021, 265, 118074. [Google Scholar] [CrossRef] [PubMed]
- Abida, B.; Fella, C.; Samira, B.; Lyamine, C.M. Electrochemical and corrosion behaviors of commercially pure titanium (CP-Ti) in 3.0 wt.% NaCl solution containing a green corrosion inhibitor. Anal. Bioanal. Electrochem. 2022, 14, 362–373. [Google Scholar]
- Brixi, N.K.; Cherif, R.; Bezzar, A.; Sail, L.; Aït-Mokhtar, A. Effectiveness of henna leaves extract and its derivatives as green corrosion inhibitors of reinforcement steel exposed to chlorides. Eur. J. Environ. Civ. Eng. 2022, 26, 5912–5930. [Google Scholar] [CrossRef]
- Benzidia, B.; Barbouchi, M.; Hsissou, R.; Zouarhi, M.; Erramli, H.; Hajjaji, N. A combined experimental and theoretical study of green corrosion inhibition of bronze B66 in 3% NaCl solution by Aloe saponaria (syn. Aloe maculata) tannin extract. Curr. Res. Green Sustain. Chem. 2022, 5, 100299. [Google Scholar] [CrossRef]
- Marunkić, D.; Jegdić, B.; Pejić, J.; Milošević, M.; Marinković, A.; Radojković, B. Analysis of inhibitory properties of Ce-citrate as a green corrosion inhibitor of low alloy steel in neutral chloride solution. Mater. Corros. 2022, 73, 1286–1297. [Google Scholar] [CrossRef]
- Abdelshafeek, K.A.; Abdallah, W.E.; Elsayed, W.M.; Eladawy, H.A.; El-Shamy, A.M. Vicia faba peel extracts bearing fatty acids moieties as a cost-effective and green corrosion inhibitor for mild steel in marine water: Computational and electrochemical studies. Sci. Rep. 2022, 12, 20611. [Google Scholar] [CrossRef] [PubMed]
- Wamba-Tchio, O.R.; Pengou, M.; Teillout, A.-L.; Baumier, C.; Mbomekallé, I.M.; Oliveira, P.D.; Nanseu-Njiki, C.P.; Ngameni, E. Electrochemical study and experimental simulation of the synergistic effect of a formulation based on Ficus pumila Linn. Leaves extract and zinc sulfate on the XC38 steel corrosion inhibition in NaCl solution. J. Electroanal. Chem. 2022, 919, 116553. [Google Scholar] [CrossRef]
- Keshk, A.A.; Elsayed, N.H.; Almutairi, F.M.; Al-Anazi, M.; Said, S.; Althurwi, H.M.; Albalawi, R.K.; El-Aassar, M.R. Effect of green and sustainable extracted fucoidan polysaccharide as a corrosion inhibitor in 3.5% NaCl. Biomass Conv. Bioref. 2023, 1, 1–14. [Google Scholar] [CrossRef]
- Barbouchi, M.; Benzidia, B.; Ghaleb, A.; Aouidate, A.; El Idrissi, M.; Choukrad, M. Theoretical and experimental studies of Lentisk Leaf Extract as green corrosion inhibitor for iron in chloride media. Biointerface Res. Appl. Chem. 2023, 13, 557. [Google Scholar]
- Lai, Y.; Gao, Y.; Jin, Y.; Wen, L. Study of methionine as green corrosion inhibitor for TWIP steel in neutral chloride solution. Mater. Res. Exp. 2021, 8, 046533. [Google Scholar] [CrossRef]
- Khadke, P.; Tichter, T.; Boettcher, T.; Muench, F.; Ensinger, W.; Roth, C. A simple and efective method for the accurate extraction of kinetic parameters using diferential Tafel plots. Sci. Rep. 2021, 11, 8974. [Google Scholar] [CrossRef]
- Bard, A.; Faulkner, L.R. Electrochemical Methods: Fundamental and Applications; John Wiley & Sons, Inc.: Hoboken, NJ, USA, 2001; ISBN 0-471-04372-9. [Google Scholar]
- Simescu-Lazar, F.; Slaoui, S.; Essahli, M.; Bohr, F.; Lamiri, A.; Vanoye, L.; Chopart, J.P. Thymus satureoides Oil as Green Corrosion Inhibitor for 316L Stainless Steel in 3% NaCl: Experimental and Theoretical Studies. Lubricants 2023, 11, 56. [Google Scholar] [CrossRef]
- Naderi, R.; Bautista, A.; Velasco, F.; Soleimani, M.; Pourfath, M. Use of licorice plant extract for controlling corrosion of steel rebar in chloride-polluted concrete pore solution. J. Mol. Liq. 2022, 346, 117856. [Google Scholar] [CrossRef]
- Al-Mazaideh, G.M.; Ababneh, T.S.; Abu-Shandi, K.H.; Jamhour, R.M.A.Q.; Ayaal Salman, H.J.; Al-Msiedeen, A.M.; Khalil, S.M. DFT calculations of Mesembryanthemum nodiflorum compounds as corrosion inhibitors of aluminum. Phys. Sci. Int. J. 2016, 12, 1–7. [Google Scholar] [CrossRef]
- Cramer, S.D.; Covino, B.S., Jr. Corrosion: Fundamentals, Testing, and Protection; ASM Handbook: Novelty, OH, USA, 2003; Volume 13A. [Google Scholar]
- Papavinasam, S.; Revie, R.W.; Attard, M.; Demoz, A.; Michaelian, K. Comparison of laboratory methodologies to evaluate corrosion inhibitors for oil and gas pipelines. Corrosion 2003, 59, 897–912. [Google Scholar] [CrossRef]
- Hirano, S.; Sunaba, T.; Al Jaberi, M.; Al Alawi, F. Evaluation of corrosion inhibitor performance under high temperature/high salinity sweet conditions. In Proceedings of the Abu Dhabi International Petroleum Exhibition & Conference, Abu Dhabi, United Arab Emirates, 11–15 November 2018. [Google Scholar]
- Sonke, J.; Grimes, W.D. Guidelines for corrosion inhibitor selection for oil and gas production Part 2: Corrosion inhibition performance validation. In Proceedings of the CORROSION 2017, New Orleans, LA, USA, 26–30 March 2017. [Google Scholar]
- Herrera-León, S.; Cruz, C.; Kraslawski, A.; Cisternas, L.A. Current situation and major challenges of desalination in Chile. Desalin. Water Treat. 2019, 171, 93–104. [Google Scholar] [CrossRef]
- Shokri, A.; Sanavi-Fard, M. Corrosion in seawater desalination industry: A critical analysis of impacts and mitigation strategies. Chemosphere 2022, 307, 13564. [Google Scholar] [CrossRef] [PubMed]
- Birnhack, L.; Voutchkov, N.; Lahav, O. Fundamental chemistry and engineering aspects of post-treatment processes for desalinated water—A review. Desalination 2011, 273, 6–22. [Google Scholar] [CrossRef]
- Zhang, Z.; Song, Q.; Jin, Y.; Feng, Y.; Li, J.; Zhang, K. Advances in Schiff base and its coating on metal biomaterials—A review. Metals 2023, 13, 386. [Google Scholar] [CrossRef]
















| Solution | Ecorr vs. Ag/AgCl (mV) | icorr (µA/cm2) | βa (V/dec) | –βc (V/dec) |
|---|---|---|---|---|
| blank solution | –718 ± 32.1 | 18.6 ± 0.4 | 0.21 ± 0.008 | 0.43 ± 0.03 |
| 200 ppm | –680 ± 22.3 | 6.7 ± 0.3 | 0.09 ± 0.006 | 0.21 ± 0.03 |
| 400 ppm | –621 ± 17.8 | 5.3 ± 0.3 | 0.10 ± 0.006 | 0.17 ± 0.04 |
| 600 ppm | –590 ± 14.4 | 4.6 ± 0.2 | 0.10 ± 0.002 | 0.15 ± 0.02 |
Disclaimer/Publisher’s Note: The statements, opinions and data contained in all publications are solely those of the individual author(s) and contributor(s) and not of MDPI and/or the editor(s). MDPI and/or the editor(s) disclaim responsibility for any injury to people or property resulting from any ideas, methods, instructions or products referred to in the content. |
© 2024 by the authors. Licensee MDPI, Basel, Switzerland. This article is an open access article distributed under the terms and conditions of the Creative Commons Attribution (CC BY) license (https://creativecommons.org/licenses/by/4.0/).
Share and Cite
Galleguillos Madrid, F.M.; Soliz, A.; Cáceres, L.; Bergendahl, M.; Leiva-Guajardo, S.; Portillo, C.; Olivares, D.; Toro, N.; Jimenez-Arevalo, V.; Páez, M. Green Corrosion Inhibitors for Metal and Alloys Protection in Contact with Aqueous Saline. Materials 2024, 17, 3996. https://doi.org/10.3390/ma17163996
Galleguillos Madrid FM, Soliz A, Cáceres L, Bergendahl M, Leiva-Guajardo S, Portillo C, Olivares D, Toro N, Jimenez-Arevalo V, Páez M. Green Corrosion Inhibitors for Metal and Alloys Protection in Contact with Aqueous Saline. Materials. 2024; 17(16):3996. https://doi.org/10.3390/ma17163996
Chicago/Turabian StyleGalleguillos Madrid, Felipe M., Alvaro Soliz, Luis Cáceres, Markus Bergendahl, Susana Leiva-Guajardo, Carlos Portillo, Douglas Olivares, Norman Toro, Victor Jimenez-Arevalo, and Maritza Páez. 2024. "Green Corrosion Inhibitors for Metal and Alloys Protection in Contact with Aqueous Saline" Materials 17, no. 16: 3996. https://doi.org/10.3390/ma17163996
APA StyleGalleguillos Madrid, F. M., Soliz, A., Cáceres, L., Bergendahl, M., Leiva-Guajardo, S., Portillo, C., Olivares, D., Toro, N., Jimenez-Arevalo, V., & Páez, M. (2024). Green Corrosion Inhibitors for Metal and Alloys Protection in Contact with Aqueous Saline. Materials, 17(16), 3996. https://doi.org/10.3390/ma17163996

