Preparation and Research on Mechanical Properties of Eco-Friendly Geopolymer Grouting Cementitious Materials Based on Industrial Solid Wastes
Abstract
1. Introduction
2. Materials and Methods
2.1. Materials
2.2. Materials Preparation
2.2.1. Pre-Treatment of Raw Materials
2.2.2. Preparation of C-R-S Geopolymer Mortar
2.3. Testing Items and Methods
2.3.1. Compressive Strength
2.3.2. Fluidity Analysis
2.3.3. Setting Time Analysis
2.3.4. Bleeding Rate Analysis
2.3.5. Characterization of C-R-S Geopolymer
3. Results and Discussion
3.1. Influence of Each Parameter on Material Properties
3.1.1. Effect of Red Mud Additions
3.1.2. Effect of Calcium Oxide Additions
3.1.3. Effect of Silicate to Sodium Ratios
3.1.4. Effect of Water Glass Dosage
3.1.5. Effect of Water–Binder Ratio
3.2. Performance Analysis of C-R-S Geopolymer Grouts
3.2.1. Setting Time Analysis of C-R-S Geopolymer Grouts
3.2.2. Analysis of the Water Secretion of C-R-S Geopolymer Grouts
3.2.3. Fluidity Properties of C-R-S Grouting Materials
3.3. Structural Characterization Analysis of C-R-S Grouting Materials
3.3.1. SEM, XRD, and FTIR Analysis of C-R-S Grouting Materials
3.3.2. Defect Analysis of C-R-S Geopolymer Grouts
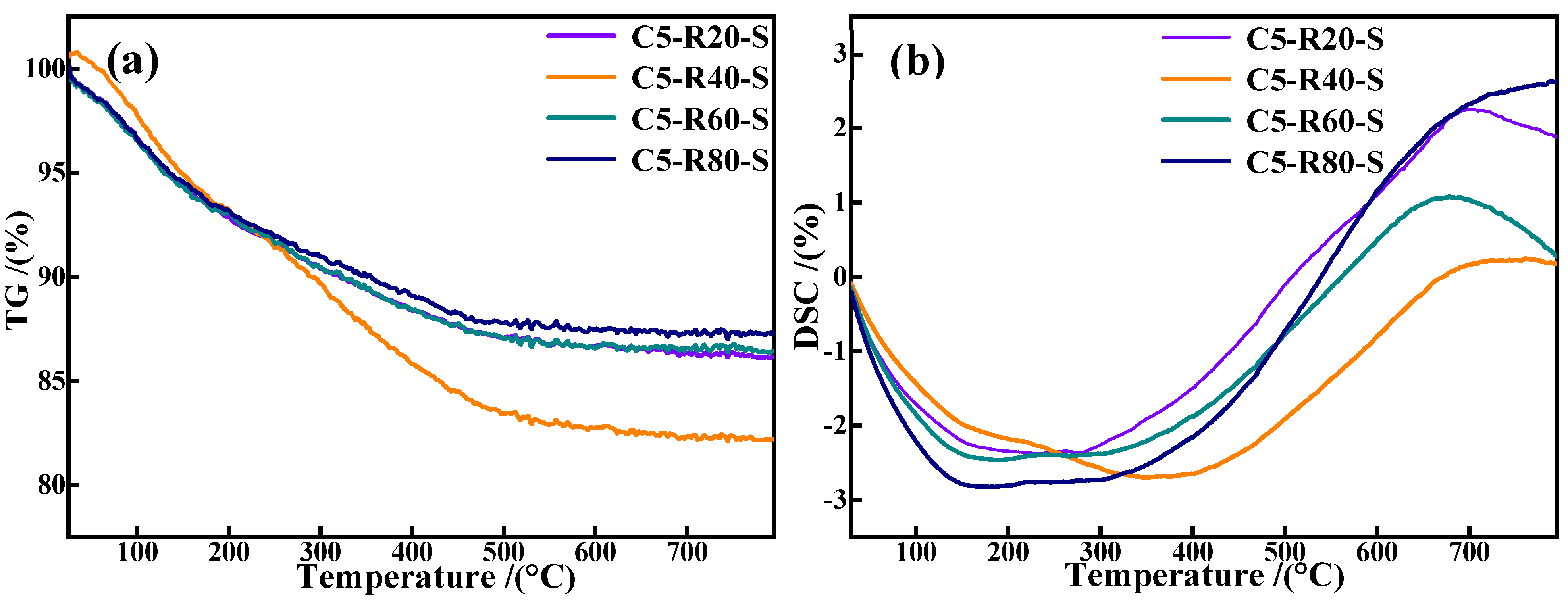
3.3.3. Thermal Weight Loss Analysis of C-R-S Geopolymer Slurries
3.3.4. Elemental Analysis of C-R-S Grouting Materials
3.4. Leaching of Heavy Metal Ions from Red Mud Base Aggregates
3.5. Analysis of the Strength Formation Mechanism of Grouting Materials
- (1)
- Dissolution stage: Structures such as aluminosilicate in raw materials are dissolved under the action of a strong alkali. A large amount of OH− is dissolved in the alkali exciter, forming alkali metal cations and OH− colloidal solution, in which covalent bonds such as Si-O-Si, Al-O, etc., are broken by hydration under the action of alkali metal cations. Al and Si in the solution increase with the increase in alkalinity of the solution.Al2O3 + 3H2O + 2OH− →2[Al(OH)4]−
SiO2 + H2O + OH− →[Si(OH)3]−
SiO2 + 2OH− →[SiO2(OH)2]2− - (2)
- Hydrolysis stage: The silica–aluminum ionophore after fracture interacts with alkali metal ions, OH-, etc., to form monomers such as -Si-O-Na and -Si-O-Ca-OH. Silicic acid generated by hydrolysis is in the gel state and is not soluble in water. Silicic acid in the gel state can react with Ca2+ to generate hydrated calcium silicate.SiO32− + 2H2O→H2SiO3 + 2OH−
- (3)
- Condensation stage: As the dissolution process proceeds, the monomer undergoes a condensation reaction to form an ionic mass, i.e., a gel-like zeolite precursor is formed (in the presence of an alkali exciter).(Si2O5, Al2O2) + 3nH2O→n(OH)3–Si–O–Al–(OH)3
n(OH)3–Si–O–Al–(OH)3→(–SiO–O–Al–O–O–)n + 3nH2O - (4)
- Solidification stage: The portion of the zeolite-like precursor formed in the polycondensation stage is subjected to further polycondensation reactions, i.e., the formation of a three-dimensional network structure, which leads to solidification of the material as the network structure continues to expand until it eventually hardens to become a geopolymer (in the presence of an alkali exciter).(Si2O5, Al2O2) n + 2nSiO2 + 4nH2O→n(OH)3–Si–O–Al–(OH)2–O–Si(OH)3
n(OH)3 –Si–O–Al–(OH)2–O–Si(OH)3→NaOH(–SiO–O–Al–O–SiO–O–)n + 4nH2O
4. Conclusions
- (1)
- (The C5-R40-S grouting material with 40% red mud addition exhibits the best fluidity of 27.5 cm, the lowest water secretion rate of 5.7%, and the highest mechanical properties of 57.7 MPa. This reveals that the C5-R40-S geopolymer slurry has superior fluidity characteristics in the early stage of the hydration reaction and excellent mechanical properties at the later stage, which is completely suitable for extensive utilization in grouting projects.
- (2)
- The microstructure of the C-R-S geopolymer slurry is a layered structure with nano-micropores, and part of the red mud that is not involved in the hydration process can be cured by the C-S-H gels produced by the hydration reaction, thus improving the mechanical properties of the C-R-S geopolymer. The hydration products of the C-R-S geopolymer slurry are mainly calcium carbonate and hydrated calcium silicate, and a large amount of C-S-H geopolymer gel is formed in the process of hydration.
- (3)
- The gel product in the C-R-S grouting material exists in a three-dimensional oxide mesh space structure, in which the harmful heavy metals are adsorbed on the AFt and C-A-S-H structures as well as on the gelling matrix, which easily realizes the curing effect on the heavy metals, except for C5-R80-S; (As) concentration in the leachate of the C-R-S grouting materials complies with the national Class V groundwater standards and the concentration of chromium (Cr) meets Class V standards. The copper (Cu) and nickel (Ni) concentrations of all grouting materials are in accordance with Class III standards; in addition, the concentration of lead (Pb) is in accordance with Class V standards. It is revealed that the synthesis and preparation of grouting materials are in line with China’s low-carbon, green, sustainable industry development.
Author Contributions
Funding
Institutional Review Board Statement
Informed Consent Statement
Data Availability Statement
Conflicts of Interest
References
- Xu, Y.; Zhang, H.; Yu, X.; Qian, Y. Development and evaluation of physical and mechanical properties of alkali-activated multi-component composite grouting materials. Constr. Build. Mater. 2024, 434, 136718. [Google Scholar] [CrossRef]
- Güllü, H.; Agha, A.A. The rheological, fresh and strength effects of cold-bonded geopolymer made with metakaolin and slag for grouting. Constr. Build. Mater. 2021, 274, 122091. [Google Scholar] [CrossRef]
- Duan, D.; Wu, H.; Wei, F.; Song, H.; Ma, Z.; Chen, Z.; Cheng, F. Preparation, characterization, and rheological analysis of eco-friendly geopolymer grouting cementitious materials based on industrial solid wastes. J. Build. Eng. 2023, 78, 107451. [Google Scholar] [CrossRef]
- Zhang, F.S.; Wang, X.H.; Tang, M.R. Oil well construction engineering-drilling, oil well completion. Rock Mech. Rock Eng. 2021, 6, 2925–2941. [Google Scholar] [CrossRef]
- Qiu, X.; Fan, X.-M.; Xu, H.; Li, L.; Jiang, H.-B.; Chen, C.-R. Corrosion characteristics of low-carbon steel anchor bolts in a carbonaceous mudstone environment. J. Cent. South Univ. 2023, 4, 1107–1122. [Google Scholar] [CrossRef]
- Li, X.; Feng, X.; Zhou, Y.; Yang, C.; Liu, X. Formulation and properties of a new cleaner double liquid alkali-activated grouting material. J. Clean. Prod. 2023, 426, 138878. [Google Scholar] [CrossRef]
- Li, S.C.; Zhang, J.; Li, Z.F.; Gao, Y.; Qi, Y.; Li, H.; Zhang, Q. Investigation and practical application of a new cementitious anti-washout grouting material. Constr. Build. Mater. 2019, 224, 66–77. [Google Scholar] [CrossRef]
- Wu, T.H.; Gao, Y.T.; Zhou, Y. Application of a novel grouting material for prereinforcement of shield tunnelling adjacent to existing piles in a soft soil area. Tunn. Undergr. Space Technol. 2022, 128, 104646. [Google Scholar] [CrossRef]
- Cui, W.; Huang, J.Y.; Song, H.F.; Xiao, M. Development of two new anti-washout grouting materials using multi-way ANOVA in conjunction with grey relational analysis. Constr. Build. Mater. 2017, 156, 184–798. [Google Scholar] [CrossRef]
- Jiang, X.; Zhu, H.H.; Yan, Z.G.; Zhang, F.; Ye, F.; Li, P.; Zhang, X.; Dai, Z.; Bai, Y.; Huang, B. A state-of-art review on development and progress of backfill grouting materials for shield tunneling. Dev. Built Environ. 2023, 16, 100250. [Google Scholar] [CrossRef]
- Zhang, C.; Fu, J.Y.; Yang, J.S.; Ou, X.; Ye, X.; Zhang, Y. Formulation and performance of grouting materials for underwater shield tunnel construction in karst ground. Constr. Build. Mater. 2018, 187, 327–338. [Google Scholar] [CrossRef]
- Kim, M.; Corapcioglu, M.Y. Gel barrier formation in unsaturated porous media. J. Contam. Hydrol. 2022, 1–2, 75–98. [Google Scholar] [CrossRef]
- Mohammed, A.A.; Ahmed, H.U.; Mosavi, A. Survey of mechanical properties of geopolymer concrete: A comprehensive review and data analysis. Materials 2021, 16, 4690. [Google Scholar] [CrossRef]
- Li, J.; Dang, X.T.; Zhang, J.W.; Yi, P.; Li, Y. Mechanical Properties of Fly Ash-Slag Based Geopolymer for Repair of Road Subgrade Diseases. Polymers 2023, 2, 309. [Google Scholar] [CrossRef]
- Sun, Z.H.; Voigt, T.; Shah, S.P. Rheometric and ultrasonic investigations of viscoelastic properties of fresh Portland cement pastes. Cem. Concr. Res. 2006, 2, 278–287. [Google Scholar] [CrossRef]
- Li, L.; Sun, H.-X.; Zhang, Y.; Yu, B. Surface cracking and fractal characteristics of bending fractured polypropylene fiber-reinforced geopolymer mortar. Fractal Fract. 2021, 4, 142. [Google Scholar] [CrossRef]
- Canakci, H.; Güllü, H.; Dwle, M.I.K. Effect of glass powder added grout for deep mixing of marginal sand with clay. Arab. J. Sci. Eng. 2018, 4, 1583–1595. [Google Scholar] [CrossRef]
- Lin, C.; Wang, M.; Liu, X.; Li, Z.; Zhang, J.; Gao, Y. Working performance of red mud-based grouting materials mixed with ultrafine limestone and quartz. Constr. Build. Mater. 2023, 383, 131326. [Google Scholar] [CrossRef]
- Taher, S.M.S.; Saadullah, S.T.; Haido, J.H.; Tayeh, B.A. Behavior of geopolymer concrete deep beams containing waste aggregate of glass and limestone as a partial replacement of natural sand. Case Stud. Constr. Mater. 2021, 15, e00744. [Google Scholar] [CrossRef]
- Güllü, H.; Cevik, A.; Al-Ezzi, K.M.A.; Gülsan, M.E. On the rheology of using geopolymer for grouting: A comparative study with cement-based grout included fly ash and cold bonded fly ash. Constr. Build. Mater. 2019, 196, 594–610. [Google Scholar] [CrossRef]
- Wang, Y.; Liu, X.; Tang, B.; Li, Y.; Zhang, W.; Xue, Y. Effect of Ca/(Si + Al) on red mud based eco-friendly revetment block: Microstructure, durability and environmental performance. Constr. Build. Mater. 2021, 304, 124618. [Google Scholar] [CrossRef]
- Ortega, J.M.; Cabeza, M.; Tenza-Abril, A.J.; Real-Herraiz, T.; Climent, M.Á.; Sánchez, I. Effects of red mud addition in the microstructure, durability and mechanical performance of cement mortars. Appl. Sci. 2019, 9, 984. [Google Scholar] [CrossRef]
- Karlina, A.I.; Karlina, Y.I.; Gladkikh, V.A. Analysis of experience in the use of micro- and nanoadditives from silicon production waste in concrete technologies. Minerals 2023, 13, 1525. [Google Scholar] [CrossRef]
- Zhao, X.; Liu, C.; Zuo, L.; Wang, L.; Zhu, Q.; Wang, M. Investigation into the effect of calcium on the existence form of geopolymerized gel product of fly ash based geopolymers. Cem. Concr. Compos. 2019, 103, 279–292. [Google Scholar] [CrossRef]
- Li, Z.F.; You, H.; Gao, Y.F.; Wang, C.; Zhang, J. Effect of ultrafine red mud on the workability and microstructure of blast furnace slag-red mud based geopolymeric grouts. Powder Technol. 2021, 392, 610–618. [Google Scholar] [CrossRef]
- Yang, Q.; Geng, P.; Wang, J.X.; Chen, P.; He, C. Research of asphalt-cement materials used for shield tunnel backfill grouting and effect on anti-seismic performance of tunnels. Constr. Build. Mater. 2021, 318, 125866. [Google Scholar] [CrossRef]
- Li, S.C.; Zhang, J.; Li, Z.F.; Liu, C.; Chen, J. Feasibility study on grouting material prepared from red mud and metallurgical wastewater based on synergistic theory. J. Hazard. Mater. 2021, 407, 124358.1–124358.10. [Google Scholar] [CrossRef]
- Kaya-Özkiper, K.; Uzun, A.; Soyer-Uzun, S. Red mud- and metakaolin-based-geopolymers for adsorption and photocatalytic degradation of methylene blue: Towards self-cleaning construction materials. J. Clean. Prod. 2021, 288, 125120. [Google Scholar] [CrossRef]
- Payakaniti, P.; Chuewangkam, N.; Yensano, R.; Pinitsoontorn, S.; Chindaprasirt, P. Changes in compressive strength, microstructure and magnetic properties of a high-calcium fly ash geopolymer subjected to high temperatures. Constr. Build. Mater. 2020, 265, 120650.1–120650.10. [Google Scholar] [CrossRef]
- Li, Z.F.; Liu, X.L.; Gao, Y.F.; Zhang, J. Study on the hardening mechanism of Bayer red mud-based geopolymer engineered cementitious composites. Constr. Build. Mater. 2023, 392, 131669. [Google Scholar] [CrossRef]
- Xu, G.; Tian, Q.; Miao, J.; Liu, J. Early-age hydration and mechanical properties of high-volume slag and fly ash concrete at different curing temperatures. Constr. Build. Mater. 2017, 149, 367–377. [Google Scholar] [CrossRef]
- Zhang, P.; Kang, L.; Zheng, Y.; Zhang, T.; Zhang, B. Influence of SiO2 /Na2O molar ratio on mechanical properties and durability of metakaolin-fly ash blend alkali-activated sustainable mortar incorporating manufactured sand. J. Mater. Res. Technol. 2022, 18, 3553–3563. [Google Scholar] [CrossRef]















| Raw Materials | CaO | SiO2 | Al2O3 | TiO2 | Fe2O3 |
|---|---|---|---|---|---|
| RM | 2.47 ± 0.012 | 3.66 ± 0.021 | 16.68 ± 0.054 | 7.42 ± 0.030 | 69.77 ± 0.078 |
| GGBS | 36.21 ± 0.059 | 32.50 ± 0.062 | 15.56 ± 0.042 | 5.46 ± 0.009 | 0.6 ± 0.0001 |
| Calcium oxide | 98.36 ± 0.012 | 0.07 ± 0.012 | - | - | 0.09 ± 0.00002 |
| Samples | Fitting Equation | R2 |
|---|---|---|
| C5-R20-S | τ = 8.22701 + 0.17265γ0.89307 | 0.99178 |
| C5-R40-S | τ = 8.44737 + 0.05884γ0.93631 | 0.99569 |
| C5-R60-S | τ = 9.22918 + 0.25158γ0.79571 | 0.99746 |
| C5-R80-S | τ = 10.18098 + 0.2083γ0.78008 | 0.99898 |
| Elements | Fe | O | Al | Ca | Na | Si |
|---|---|---|---|---|---|---|
| wt% | 18.05 | 55.56 | 12.79 | 2.96 | 5.77 | 4.88 |
| Categories | As | Cr | Cu | Ni | Pb | Reference Standard |
|---|---|---|---|---|---|---|
| I | ≤0.001 | ≤0.005 | ≤0.010 | ≤0.002 | ≤0.005 | «Groundwater Quality Standard» (GB/T 14848-2017) |
| II | ≤0.001 | ≤0.010 | ≤0.050 | ≤0.002 | ≤0.005 | |
| III | ≤0.010 | ≤0.050 | ≤1.000 | ≤0.020 | ≤0.010 | |
| IV | ≤0.050 | ≤0.100 | ≤1.500 | ≤0.100 | ≤0.100 | |
| V | >0.050 | >0.100 | >1.500 | >0.100 | >0.100 |
Disclaimer/Publisher’s Note: The statements, opinions and data contained in all publications are solely those of the individual author(s) and contributor(s) and not of MDPI and/or the editor(s). MDPI and/or the editor(s) disclaim responsibility for any injury to people or property resulting from any ideas, methods, instructions or products referred to in the content. |
© 2024 by the authors. Licensee MDPI, Basel, Switzerland. This article is an open access article distributed under the terms and conditions of the Creative Commons Attribution (CC BY) license (https://creativecommons.org/licenses/by/4.0/).
Share and Cite
Li, Z.; Xu, Y.; Wu, C.; Zhang, W.; Chen, Y.; Li, Y. Preparation and Research on Mechanical Properties of Eco-Friendly Geopolymer Grouting Cementitious Materials Based on Industrial Solid Wastes. Materials 2024, 17, 3874. https://doi.org/10.3390/ma17153874
Li Z, Xu Y, Wu C, Zhang W, Chen Y, Li Y. Preparation and Research on Mechanical Properties of Eco-Friendly Geopolymer Grouting Cementitious Materials Based on Industrial Solid Wastes. Materials. 2024; 17(15):3874. https://doi.org/10.3390/ma17153874
Chicago/Turabian StyleLi, Zhonglin, Ye Xu, Chengzhi Wu, Weiguang Zhang, Yang Chen, and Yibing Li. 2024. "Preparation and Research on Mechanical Properties of Eco-Friendly Geopolymer Grouting Cementitious Materials Based on Industrial Solid Wastes" Materials 17, no. 15: 3874. https://doi.org/10.3390/ma17153874
APA StyleLi, Z., Xu, Y., Wu, C., Zhang, W., Chen, Y., & Li, Y. (2024). Preparation and Research on Mechanical Properties of Eco-Friendly Geopolymer Grouting Cementitious Materials Based on Industrial Solid Wastes. Materials, 17(15), 3874. https://doi.org/10.3390/ma17153874

