Dielectric Modes in Antiferroelectric and Ferroelectric Liquid Crystals in a Pure Enantiomeric Version and a Racemic Mixture
Abstract
1. Introduction
- SmC*
- —ferroelectric synclinic phase with a helical superstructure and its axis of rotation perpendicular to the smectic layers. Molecules in one smectic layer are tilted by the angle .
- SmCA*
- —antiferroelectric synclinic phase with a helical superstructure and its axis of rotation perpendicular to the smectic layers. Molecules in one smectic layer are tilted by the angle , while molecules in the next layer are tilted by the angle .
- SmC
- —synclinic phase without a helical superstructure. Molecules in one smectic layer are tilted by the angle The helical superstructure and ferroelectricity vanish when the SmC phase is built from achiral molecules or SmC is the racemate—the phase is a mixture of 50% S-enantiomer and 50% R-enantiomer.
- SmCA
- —anticlinic phase without a helical superstructure. Molecules in one smectic layer are tilted by the angle , while molecules in the next layer are tilted by the angle . The helical superstructure and antiferroelectricity vanish when the SmCA phase is built from achiral molecules or SmCA is the racemate—the phase is an equimolar mixture of S- and R-enantiomers.
- Goldstone mode
- —collective and strong dielectric mode (molecules move collectively around the cone in the smectic layer) in the same direction. During the rotation the phase angle changes in time, so this mode is called the phason mode.
- S mode
- —molecular dielectric mode when the molecule rotates around its short molecular axis. This mode is observed in isotropic liquid, nematic, or smectic phases. This mode is Arrhenius type: its relaxation frequency decreases with decreasing temperature. The relaxation frequency of the S mode is 1k–10k times lower than the relaxation frequency of the L mode.
- L mode
- —molecular dielectric mode when the molecule rotates around its long molecular axis. This mode is observed in isotropic liquid, nematic, or smectic phases. This mode is also Arrhenius type. It is not usually observed in standard impedance spectroscopy because it is fast.
- PH mode
- —collective and weak (in comparison with the Goldstone mode) dielectric mode detectable in antiferroelectric anticlinic SmCA*. It is also Arrhenius type. Molecules in neighboring layers, in the two-layer unit, rotate in opposite directions around the cone; hence, it is called the anti-phase phason mode. The relaxation frequency of the PH mode is 1k times lower than the relaxation frequency of the S mode and 1k times higher than the relaxation frequency of the PL mode.
- PL mode
- —collective and weak (in comparison with Goldstone mode) dielectric mode detectable in antiferroelectric anticlinic SmCA*. It is also Arrhenius type. Molecules in neighboring layers, in the two-layer unit, rotate in the same direction around the cone; hence, it is called the in-phase phason mode. The relaxation frequency of the PL mode is 1k lower than the relaxation frequency of the PH mode.
- X mode
- —the dielectric mode described in this paper, which is observed in the racemic synclinic SmC phase. It seems to be the continuation of the PL mode from the racemic SmCA phase. Its strength at the SmC-SmCA phase transition is twice weaker than the strength of the PL mode close to the SmCA-SmC phase transition.
- —the strength of the ith dielectric mode.
- —the relaxation frequency of the ith dielectric mode.
- —high-frequency limit of permittivity.
- —low-frequency limit of permittivity.
- and
- —Havriliak–Negami distribution parameters.
- —imaginary unit.
- —ionic conductivity of the sample.
- —parameter describing ion contribution to the imaginary part of permittivity (close to one).
- —capacity in the parallel equivalent circuit.
- —conductivity in the parallel equivalent circuit.
- —empty cell capacity.
- —limit of relaxation frequency at high temperatures (in Arrhenius law).
- —Boltzmann constant.
- —temperature on the thermodynamic scale.
2. Materials and Methods
2.1. Studied Compound
2.2. DSC Measurements
2.3. Microscopy Observations
2.4. Dielectric Spectroscopy
2.5. The Method for Calculating the Parameters of Dielectric Modes
3. Results
3.1. Results of the DSC Measurements and Microscopic Observations Performed for the Pure Enantiomer and Racemate
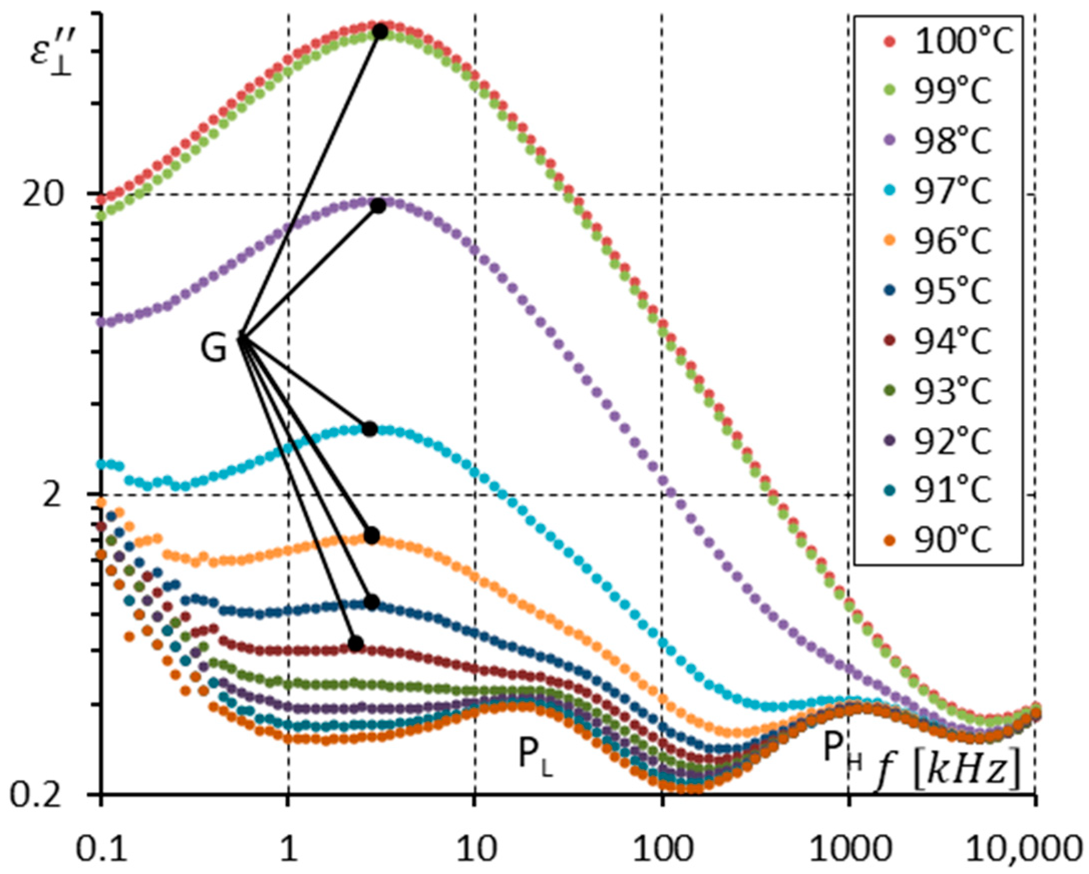
3.2. Results of the Measurements Performed for the Pure Enantiomer
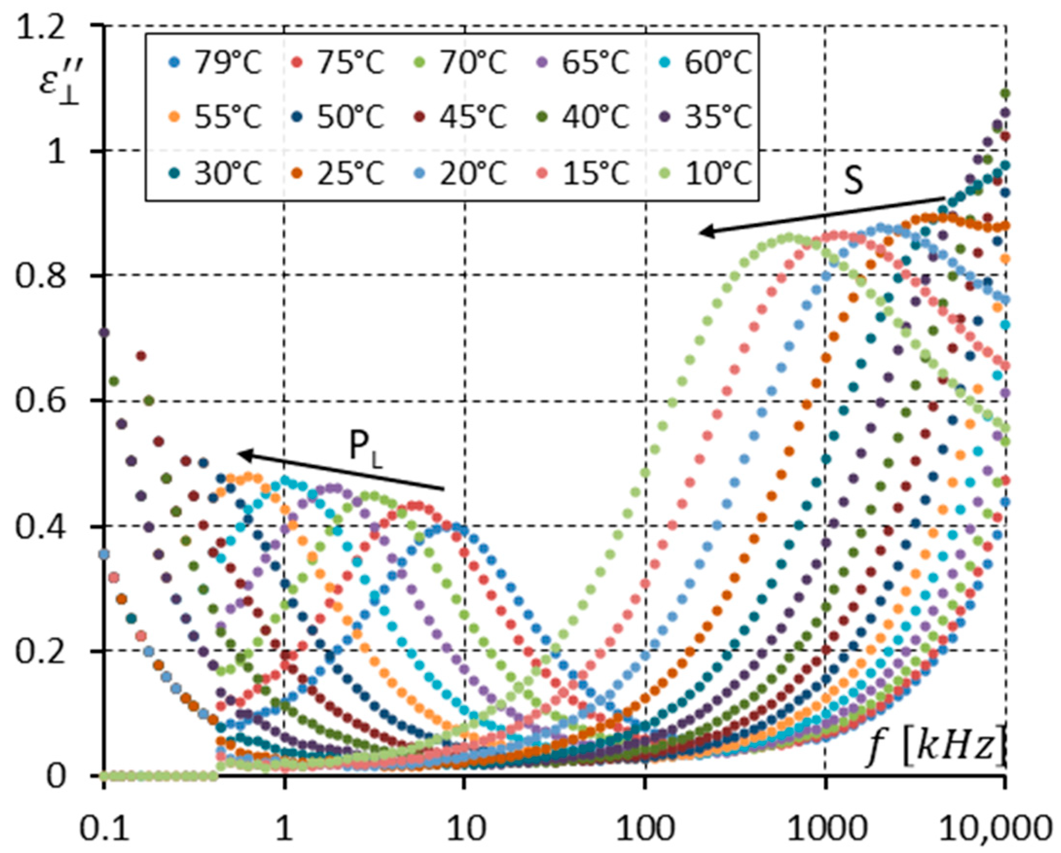
3.3. Results of the Measurements Performed for the Racemic Mixture
3.4. Results of the Calculations
4. Discussion, Conclusions, and Summary
Supplementary Materials
Author Contributions
Funding
Institutional Review Board Statement
Informed Consent Statement
Data Availability Statement
Conflicts of Interest
References
- Thomson, W. Baltimore Lectures on Molecular Dynamics and the Wave Theory of Light; Cambridge Library Collection—Physical Sciences, Cambridge University Press: Cambridge, UK, 2010. [Google Scholar]
- Mandle, R.J.; Cowling, S.J.; Goodby, J.W. A nematic to nematic transformation exhibited by a rod-like liquid crystal. Phys. Chem. Chem. Phys. 2017, 19, 11429–11435. [Google Scholar] [CrossRef] [PubMed]
- Nishikawa, H.; Shiroshita, K.; Higuchi, H.; Okumura, Y.; Haseba, Y.; Yamamoto, S.-I.; Sago, K.; Kikuchi, H. A fluid liquid-crystal material with highly polar order. Adv. Mater. 2017, 29, 1702354. [Google Scholar] [CrossRef] [PubMed]
- Mandle, R.J.; Cowling, S.J.; Goodby, J.W. Rational design of rod-like liquid crystals exhibiting two nematic phases. Chemistry 2017, 23, 14554–14562. [Google Scholar] [CrossRef] [PubMed]
- Meyer, R.B. Piezoelectric effects in liquid crystals. Phys. Rev. Lett. 1969, 22, 918–921. [Google Scholar] [CrossRef]
- Meyer, R.B.; Liebert, L.; Strzelecki, L.; Keller, P. Ferroelectric liquid crystals. J. Phys. Lett. 1975, 36, 69–71. [Google Scholar] [CrossRef]
- Buka, A.; Stegemeyer, H. Molecular rotational potentials in the Sc* phase of binary ferroelectric liquid crystal mixtures. Liq. Cryst. 1990, 8, 229–235. [Google Scholar] [CrossRef]
- Stegemeyer, H.; Meister, R.; Altenbach, H.J.; Szewczyk, D. Ferroelectricity of induced S*C phases with novel chiral dopants. Liq. Cryst. 1993, 14, 1007–1019. [Google Scholar] [CrossRef]
- Stegemeyer, H.; Meister, R.; Hoffmann, U.; Sprick, A.; Becker, A. Ferroelectricity of induced smectic C* phases. J. Mater. Chem. 1995, 5, 2183–2193. [Google Scholar] [CrossRef]
- Raszewski, Z.; Rutkowska, J.; Kędzierski, J.; Perkowski, P.; Piecek, W.; Zieliński, J.; Żmija, J.; Dąbrowski, R. Investigation of the biased rotation of chiral molecule around its long molecular axis in the ferroelectric liquid crystal mixture. Mol. Cryst. Liq. Cryst. 1997, 302, 85–91. [Google Scholar] [CrossRef]
- Reinitzer, F. Contributions to the understanding of cholesterol. Monatshefte Chem. 1888, 9, 421–441. [Google Scholar] [CrossRef]
- Hoffmann, J.; Kuczyński, W.; Małecki, J. Dielectric study of ferroelectric properties in chiral smectic C. Mol. Cryst. Liq. Cryst. 1978, 44, 287–300. [Google Scholar] [CrossRef]
- Chandani, A.D.L.; Górecka, E.; Ouchi, Y.; Takezoe, H.; Fukuda, A. Antiferroelectric chiral smectic phases responsible for the tristable switching in MHPOBC. Jpn. J. Appl. Phys. 1989, 29, L1265–L1268. [Google Scholar] [CrossRef]
- Lavrentovich, O. Ferroelectric nematic liquid crystal, a century in waiting. Proc. Natl. Acad. Sci. USA 2020, 117, 14629–14631. [Google Scholar] [CrossRef] [PubMed]
- Muševič, I.; Blinc, R.; Žekš, B. The Physics of Ferroelectric and Antiferroelectric Liquid Crystals; World Scientific Publishing: Singaspore, 2000. [Google Scholar]
- Filipič, C.; Carlsson, T.; Levstik, A.; Žekš, B.; Blinc, R.; Gouda, F.; Lagerwall, S.T.; Skarp, K. Dielectric properties near the smectic-C*—Smectic-A phase transition of some ferroelectric liquid-crystalline systems with a very large spontaneous polarization. Phys. Rev. A 1988, 38, 5833–5839. [Google Scholar] [CrossRef] [PubMed]
- Kumari, S.; Das, I.M.L.; Dhar, R.; Dąbrowski, R. Thermodynamic and dielectric spectroscopy of a racemic antiferroelectric liquid crystal. J. Mol. Liq. 2012, 168, 54–60. [Google Scholar] [CrossRef]
- Perkowski, P.; Ogrodnik, K.; Żurowska, M.; Piecek, W.; Dąbrowski, R.; Raszewski, Z.; Jaroszewicz, L. Antiferroelectric and ferroelectric SmC* phases in racemic mixture. Phase Transit. 2013, 86, 138–146. [Google Scholar] [CrossRef]
- Verma, R.; Dąbrowski, R.; Żurowska, M.; Dhar, R. Enhancement of the properties and mesophases stability after the electron beam irradiation on a racemic anti-ferroelectric liquid crystalline mixture. Liq. Cryst. 2016, 43, 606–614. [Google Scholar] [CrossRef]
- Buivydas, M.; Gouda, F.; Lagerwall, S.T.; Stebler, B. The molecular aspect of the double absorption peak in the dielectric spectrum of the antiferroelectric liquid crystal phase. Liq. Cryst. 1995, 18, 879–886. [Google Scholar] [CrossRef]
- Buivydas, M.; Gouda, F.; Andersson, G.; Lagerwall, S.T.; Stebler, B.; Bömelburg, J.; Heppke, G.; Gestblom, B. Collective and non-collective excitations in antiferroelectric and ferrielectric liquid crystals studied by dielectric relaxation spectroscopy and electro-optic measurements. Liq. Cryst. 1997, 23, 723–739. [Google Scholar] [CrossRef]
- Deptuch, A.; Lalik, S.; Jasiurkowska-Delaporte, M.; Juszyńska-Gałązka, E.; Drzewicz, A.; Urbańska, M.; Marzec, M. Comparative study of electrooptic, dielectric, and structural properties of two glassforming antiferroelectric mixtures with a high tilt angle. Phys. Rev. E 2022, 105, 024705. [Google Scholar] [CrossRef]
- Panarin, Y.P.; Kalinovskaya, O.; Vij, J.K. The investigation of the relaxation processes in antiferroelectric liquid crystals by broad band dielectric and electro-optic spectroscopy. Liq. Cryst. 1998, 25, 241–252. [Google Scholar] [CrossRef]
- Marzec, M.; Mikułko, A.; Wróbel, S.; Haase, W.; Dąbrowski, R. Antiferroelectric modes behaviour in a wide temperature range SmCA* phase. Mol. Cryst. Liq. Cryst. 2005, 437, 169–180. [Google Scholar] [CrossRef]
- Różański, S.; Thoen, J. Collective and antiferroelectric dielectric modes in a highly tilted three-ring ester. Liq. Cryst. 2007, 34, 519–526. [Google Scholar] [CrossRef]
- Mishra, A.; Dąbrowski, R.; Dhar, R. Dielectric characteristics of highly ionic antiferroelectric liquid crystalline material. J. Mol. Liq. 2018, 249, 106–109. [Google Scholar] [CrossRef]
- Perkowski, P.; Raszewski, Z.; Piecek, W.; Ogrodnik, K.; Żurowska, M.; Dąbrowski, R.; Sun, X.-W. Dielectric Properties of New Fluorinated Orthoconic Antiferroelectric Liquid Crystals. Mol. Cryst. Liq. Cryst. 2009, 509, 328–335. [Google Scholar] [CrossRef]
- Huang, L.C.; Fu, C.-M. Spontaneous polarization and dielectric relaxation dynamics of ferroelectric liquid crystals derived from 2(S)-[2(S)-ethylhexyolxy] propionic acid and its (S, R)-diastereomer. Phys. B 2015, 473, 54–61. [Google Scholar] [CrossRef]
- Perkowski, P.; Ogrodnik, K.; Piecek, W.; Żurowska, M.; Raszewski, Z.; Dąbrowski, R.; Jaroszewicz, L. Influence of the bias field on dielectric properties of the SmCA* in the vicinity of the SmC*-SmCA* phase transition. Liq. Cryst. 2011, 38, 1159–1167. [Google Scholar] [CrossRef]
- Parab, S.S.; Malik, M.K.; Dąbrowski, R.; Deshmukh, R.R. Thermodynamic and bias field characterization of a quickly operating antiferroelectric liquid crystal. J. Mol. Liq. 2013, 183, 20–25. [Google Scholar] [CrossRef]
- Żurowska, M.; Dąbrowski, R.; Dziaduszek, J.; Garbat, K.; Filipowicz, M.; Tykarska, M.; Rejmer, W.; Czupryński, K.; Spadło, A.; Bennis, N.; et al. Influence of alkoxy chain length and fluorosubstitution on mesogenic and spectral properties of high tilted antiferroelectric esters. J. Mater. Chem. 2011, 21, 2144–2153. [Google Scholar] [CrossRef]
- Vojtylová, T.; Żurowska, M.; Milewska, K.; Hamplová, V.; Sýkora, D. Chiral HPLC and physical characterisation of orthoconic antiferroelectric liquid crystals. Liq. Cryst. 2016, 43, 1244–1250. [Google Scholar] [CrossRef]
- Perkowski, P. The parasitic effects in high-frequency dielectric spectroscopy of liquid crystals—The review. Liq. Cryst. 2021, 48, 767–793. [Google Scholar] [CrossRef]
- Dhar, R. An impedance model to improve the higher frequency limit of electrical measurements on the capacitor cell made from electrodes of finite resistances. Int. J. Pure Appl. Phys. 2004, 42, 56–61. [Google Scholar] [CrossRef]
- Perkowski, P.; Mrukiewicz, M.; Laska, M.; Garbat, K.; Piecek, W.; Dąbrowski, R. Dielectric behavior of dual-frequency nematic at extra low temperatures. Phase Transit. 2013, 86, 113–122. [Google Scholar] [CrossRef]
- Havriliak, S.; Negami, S. A Complex plane representation of dielectric and mechanical relaxation processes in some polymers. Polymer 1967, 8, 161–210. [Google Scholar] [CrossRef]
- Bötcher, C.J.F.; Bordewijk, P. Theory of Electric Polarization; Elsevier: Amsterdam, The Netherlands, 1978. [Google Scholar]
- de la Fuente, M.R.; Merino, S.; Gonzalez, Y.; Perez Jubindo, M.A.; Ros, B.; Puertolas, J.A.; Castro, M. Dielectric relaxation processes in an antiferroelectric liquid crystal. Adv. Mater. 1995, 7, 564–568. [Google Scholar] [CrossRef]
- Moritake, H.; Uchiyama, Y.; Myojin, K.; Ozaki, M.; Yoshino, K. Dielectric properties in antiferroelectric liquid crystals and their DC bias effects. Ferroelectrics 1993, 147, 53–66. [Google Scholar] [CrossRef]
- Hiraoka, K.; Takezoe, H.; Fukuda, A. Dielectric relaxation modes in the antiferroelectric smectic CA* phase. Ferroelectrics 1993, 147, 13–25. [Google Scholar] [CrossRef]
- Czerwiec, J.M.; Dąbrowski, R.; Garbat, K.; Marzec, M.; Tykarska, M.; Wawrzyniak, A.; Wróbel, S. Dielectricand electro-optic behaviour of two chiral com-pounds and their antiferroelectric mixtures. Liq. Cryst. 2012, 39, 1503–1511. [Google Scholar] [CrossRef]
- Carvalho, P.S.; Chaves, M.R.; Destrade, C.; Nguyen, H.T.; Glogarova, M. Ferroelectric and antiferroelectric modes in a new chiral thiobenzoate liquid crystal. Liq. Cryst. 1996, 21, 31–37. [Google Scholar] [CrossRef]
- Fitas, J.; Dłubacz, A.; Fryń, P.; Marzec, M.; Jaworska-Gołąb, T.; Deptuch, A.; Kurp, K.; Tykarska, M.; Żurowska, M. New ferroelectric and antiferroelectric liquid crystals studied by complementary methods. Liq. Cryst. 2016, 44, 566–576. [Google Scholar] [CrossRef]
- Pandey, M.B.; Dąbrowski, R.; Dhar, R. Investigation of relaxation processes in anticlinic smectic C* (SmCA*) phase of Liquid Crystals by dielectric spectroscopy. Phys. B Cond. Matt. 2007, 387, 25–31. [Google Scholar] [CrossRef]
- Perkowski, P.; Mrukiewicz, M.; Żurowska, M.; Dąbrowski, R.; Jaroszewicz, L. Dielectric modes in antiferroelectric liquid crystal observed at low temperatures. Liq. Cryst. 2013, 40, 864–870. [Google Scholar] [CrossRef]
- de la Fuente, M.R.; Martín, E.; Pérez Jubindo, M.A.; Artal, C.; Ros, B.; Serrano, J.L. Achiral diacrylate with an anticlinic smectic phase. Liq. Cryst. 2001, 28, 151–155. [Google Scholar] [CrossRef]
- Palacios, B.; de La Fuente, M.R.; Pérez Jubindo, M.A.; Ros, B. Dielectric study of collective and molecular dynamics in a glass-forming low molecular mass ferroelectric liquid crystal and its racemic mixture. Liq. Cryst. 1997, 23, 349–355. [Google Scholar] [CrossRef]




















| SmCA* | SmC* | |
|---|---|---|
| Dielectric modes (no DC) | Residual Goldstone mode PL mode PH mode Molecular S mode | Goldstone mode Weak PL mode covered by the Goldstone mode Weak PH mode covered by the Goldstone mode Molecular S mode |
| Dielectric modes (with DC) | Residual Goldstone mode PL mode strengthened by the DC field PH mode strengthened by the DC field Molecular S mode weakened by the DC field | Suppressed Goldstone mode PL mode strengthened by the DC field, non-covered by the suppressed Goldstone mode PH mode strengthened by the DC field, non-covered by the suppressed Goldstone mode Molecular S mode weakened by the DC field |
| SmCA | SmC | |
|---|---|---|
| Dielectric modes (no DC) | PL mode Molecular S mode | Weak X(PL) mode Molecular S mode |
| Dielectric modes (with DC) | PL mode strengthened by the DC field Molecular S mode weakened by the DC field PL mode strengthened by the DC field PH mode strengthened by the DC field Molecular S mode weakened by the DC field | X(PL) mode strengthened by the DC field Molecular S mode weakened by the DC field PH mode strengthened by the DC field, non-covered by the suppressed Goldstone mode Molecular S mode weakened by the DC field |
Disclaimer/Publisher’s Note: The statements, opinions and data contained in all publications are solely those of the individual author(s) and contributor(s) and not of MDPI and/or the editor(s). MDPI and/or the editor(s) disclaim responsibility for any injury to people or property resulting from any ideas, methods, instructions or products referred to in the content. |
© 2024 by the authors. Licensee MDPI, Basel, Switzerland. This article is an open access article distributed under the terms and conditions of the Creative Commons Attribution (CC BY) license (https://creativecommons.org/licenses/by/4.0/).
Share and Cite
Perkowski, P.; Urbańska, M. Dielectric Modes in Antiferroelectric and Ferroelectric Liquid Crystals in a Pure Enantiomeric Version and a Racemic Mixture. Materials 2024, 17, 3335. https://doi.org/10.3390/ma17133335
Perkowski P, Urbańska M. Dielectric Modes in Antiferroelectric and Ferroelectric Liquid Crystals in a Pure Enantiomeric Version and a Racemic Mixture. Materials. 2024; 17(13):3335. https://doi.org/10.3390/ma17133335
Chicago/Turabian StylePerkowski, Paweł, and Magdalena Urbańska. 2024. "Dielectric Modes in Antiferroelectric and Ferroelectric Liquid Crystals in a Pure Enantiomeric Version and a Racemic Mixture" Materials 17, no. 13: 3335. https://doi.org/10.3390/ma17133335
APA StylePerkowski, P., & Urbańska, M. (2024). Dielectric Modes in Antiferroelectric and Ferroelectric Liquid Crystals in a Pure Enantiomeric Version and a Racemic Mixture. Materials, 17(13), 3335. https://doi.org/10.3390/ma17133335
