Assessment of Methods to Derive Tensile Properties of Ultra-High-Performance Fiber-Reinforced Cementitious Composites
Abstract
1. Introduction
2. Materials and Methods
2.1. UHPC
2.2. Fiber Reinforcement
2.3. UHPFRC
2.4. Splitting Tensile Tests
2.4.1. Test Specimens
2.4.2. Test Setup
2.5. Uniaxial Tensile Tests
2.5.1. Drilling Direction
2.5.2. Test Specimens
2.5.3. Test Setups
2.5.4. Testing Program
2.6. Flexural Tests on Prismatic Elements
2.6.1. Test Specimens
2.6.2. Test Setup
2.7. Flexural Tests on Thin Plates
2.7.1. Test Specimens
2.7.2. Test Setup
2.8. Compression Tests
2.8.1. Test Specimens
2.8.2. Test Setup
2.9. Modulus of Elasticity Tests
2.9.1. Test Specimens
2.9.2. Test Setup
3. Results
3.1. Splitting Tensile Tests
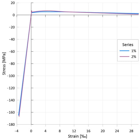
3.2. Uniaxial Tensile Tests
3.3. Flexural Tests on Prismatic Elements
3.4. Flexural Tests on Thin Plates
3.5. Compressive Strength
3.6. Modulus of Elasticity
4. Discussion
4.1. Discussion on the Splitting Tensile Tests
4.2. Discussion on the Uniaxial Tensile Tests
4.2.1. Matrix Tensile Strength
4.2.2. Residual Tensile Strength and Dissipated Energy
4.2.3. Effect of the Test Setup
4.2.4. Effect of Notching
4.2.5. Effect of the Fiber Content
4.2.6. Fiber Orientation and Distribution
4.2.7. Crack Opening at Zero Tensile Resistance
4.3. Discussion on the Flexural Tests
4.3.1. Determination of the Matrix Tensile Strength
4.3.2. Comparison with the Uniaxial Tests
4.3.3. Determination of the Tensile Strain
4.3.4. Comparison with Simplified Models
4.3.5. Crack Opening–Deflection Relationship
4.4. Discussion on the Compression Tests
4.5. The Constitutive Law Derived
5. Conclusions
- The study demonstrated that the splitting tensile test can provide a reliable estimation of the matrix tensile strength, both for UHPC without fibers and for UHPFRC with low fiber content. Furthermore, the conversion factor between the uniaxial and splitting tensile strengths should be taken as at least 1.0.
- An investigation of the various test setups revealed that Setup I yielded unreliable results for the matrix tensile strength. In contrast, Setup II yielded matrix strength values around 10 MPa. Other experiments, such as the uniaxial tensile test using Setup III and flexural tests and splitting tensile tests, yielded strength values around 8 MPa.
- Upon examination of the post-cracking behavior of the uniaxial tensile tests, it becomes evident that there is a considerable disparity between the experimental results. The difference between the minimum and maximum strength values reached a factor of 10, while for the energy absorption capacity, it was approximately 5. The results of the flexural tests also showed a significant variation, but much smaller: the extreme results were generally within a range of 20–30%, although occasionally the difference was close to 40%. The results also indicated that for excellent post-cracking behavior, it is not enough to have an excellent strength value, but it is also necessary to maintain this high value over a wider cracking range.
- The findings indicated that the significance of the test setup in the post-cracking phase of the uniaxial tensile tests was comparatively less pronounced. However, the influence of fiber orientation and fiber distribution emerged as a dominant factor, and the precise way in which the fresh mix is poured is of critical importance.
- The uniaxial tensile tests have demonstrated the practical limitations associated with specimens without notches. Moreover, the approximately 30% reduction in the cross-sectional area achieved with a 4 mm notch has been found to be insufficient to reliably influence crack location. Consequently, a cross-sectional reduction of approximately 50% achieved with a 6.5 mm notch was identified as a more suitable solution.
- The flexural experiments suggest that the scale factor for the conversion between the matrix flexural tensile strength and uniaxial tensile strength might be increased, at least for the experiments investigated. Furthermore, for flexural tests on thin plates, the proposed value of 1.0 for the scale factor overestimates the matrix tensile strength, but the value determined by inverse analysis is a satisfactory approximation.
- A comparison of the direct and indirect tensile experiments investigated revealed that in the range of small crack widths, the derived tensile stress–crack opening curves have different characteristics, yet yielded comparable outcomes from a practical standpoint. the investigated simplified tensile laws developed for fiber-reinforced NSC, especially the DAfStb’s multi-linear approach, appeared to be applicable to UHPFRC as well.
- The study investigated the relationship between the deflection and crack opening, as well as the deflection and strain values in flexural experiments. The relationships obtained for typical UHPFRC mixtures and the given test setup and test specimen geometry were found to be invariant with respect to the material composition utilized or the type and quantity of steel fibers employed. The presented expressions are straightforward to employ in practice on mean values of at least six experiments and permit the derivation of crack openings and elongations on the tensile side from measurements of mid-field deflections alone, rather than complicated and unclear elongation (crack or strain) measurements. The crack opening and strain values thus obtained from the deflection can be utilized either directly or as input to inverse analysis to derive the constitutive law (uniaxial stress–strain relationship).
Author Contributions
Funding
Institutional Review Board Statement
Informed Consent Statement
Data Availability Statement
Acknowledgments
Conflicts of Interest
References
- Massicotte, B.; Rossi, P.; Serna Ros, P. Fundamentals. In Fibre Reinforced Concrete: State-of-the-Art Report; di Prisco, M., Ed.; fib Bulletins; The International Federation for Structural Concrete: Lausanne, Switzerland, 2022; pp. 22–37. ISBN 978-2-88394-161-8. [Google Scholar]
- Richard, P.; Cheyrezy, M. Composition of Reactive Powder Concretes. Cem. Concr. Res. 1995, 25, 1501–1511. [Google Scholar] [CrossRef]
- Shi, C.; Wu, Z.; Xiao, J.; Wang, D.; Huang, Z.; Fang, Z. A Review on Ultra High Performance Concrete: Part I. Raw Materials and Mixture Design. Constr. Build. Mater. 2015, 101, 741–751. [Google Scholar] [CrossRef]
- Yazıcı, H.; Yardımcı, M.Y.; Aydın, S.; Karabulut, A.Ş. Mechanical Properties of Reactive Powder Concrete Containing Mineral Admixtures under Different Curing Regimes. Constr. Build. Mater. 2009, 23, 1223–1231. [Google Scholar] [CrossRef]
- di Prisco, M.; Fehling, E.; Leutbecher, T.; Thiemicke, J.; Toutlemonde, F.; Walraven, J.; Zani, G. Ultra High Performance Fibre Reinforced Concrete. In Fibre Reinforced Concrete: State-of-the-Art Report; di Prisco, M., Ed.; Bulletins; The International Federation for Structural Concrete: Lausanne, Switzerland, 2022; pp. 316–380. ISBN 978-2-88394-161-8. [Google Scholar]
- Fehling, E.; Schmidt, M.; Walraven, J.C.; Leutbecher, T.; Fröhlich, S. BetonKalender—Ultra-High Performance Concrete UHPC: Fundamentals, Design, Examples; Beton-Kalender; Ernst & Sohn: Berlin, Germany, 2014; ISBN 978-3-433-03087-5. [Google Scholar]
- AFGC. Ultra High Performance Fibre-Reinforced Concretes—Recommendations; AFGC: Paris, France, 2013. [Google Scholar]
- AFNOR NF P18-470; Concrete—Ultra-High Performance Fibre-Reinforced Concrete—Specifications, Performance, Production and Conformity. AFNOR (Association Française de Normalisation): Saint-Denis, France, 2016.
- SIA 2052; Ultra-High Performance Fiber Reinforced Concrete (UHPFRC)—Materials, Design and Execution. SIA (Swiss Society of Engineers and Architects): Zürich, Switzerland, 2016.
- ÖBV. Richtlinie UHPC. 2023. Available online: https://www.bautechnik.pro/Shop/artikel?IDArtikel=b29c7684-7f75-402e-931b-e79602e32ee6 (accessed on 23 June 2024).
- Bentur, A.; Mindess, S. Fibre Reinforced Cementitious Composites, 2nd ed.; Routledge, Ed.; CRC Press: London, UK, 2006; ISBN 978-0-429-17729-3. [Google Scholar]
- Khan, M.I.; Abbas, Y.M.; Fares, G. Review of High and Ultrahigh Performance Cementitious Composites Incorporating Various Combinations of Fibers and Ultrafines. J. King Saud Univ. Eng. Sci. 2017, 29, 339–347. [Google Scholar] [CrossRef]
- Ramezani, M.; Dehghani, A.; Sherif, M.M. Carbon Nanotube Reinforced Cementitious Composites: A Comprehensive Review. Constr. Build. Mater. 2022, 315, 125100. [Google Scholar] [CrossRef]
- Kim, D.J.; Naaman, A.E.; El-Tawil, S. Comparative Flexural Behavior of Four Fiber Reinforced Cementitious Composites. Cem. Concr. Compos. 2008, 30, 917–928. [Google Scholar] [CrossRef]
- Park, S.H.; Kim, D.J.; Ryu, G.S.; Koh, K.T. Tensile Behavior of Ultra High Performance Hybrid Fiber Reinforced Concrete. Cem. Concr. Compos. 2012, 34, 172–184. [Google Scholar] [CrossRef]
- Vandewalle, L.; Nemegeer, D.; Balázs, G.L.; Barr, B.; Barros, J.; Walraven, J. RILEM TC 162-TDF: Test and Design Methods for Steel Fibre Reinforced Concrete—Uni-Axial Tension Test for Steel Fibre Reinforced Concrete. Mat. Struct. 2001, 34, 3–6. [Google Scholar] [CrossRef]
- Vandewalle, L.; Nemegeer, D.; Balázs, G.L.; Barr, B.; Barros, J.; Bartos, P.; Banthia, N.; Criswell, M.; Denarie, E.; di Prisco, M.; et al. RILEM TC 162-TDF: Test and Design Methods for Steel Fibre Reinforced Concrete—Bending Test—Final Recommendation. Mater. Struct. 2002, 35, 579–582. [Google Scholar] [CrossRef]
- ÖNORM EN 14651; Test Method for Metallic Fibre Concrete—Measuring the Flexural Tensile Strength (Limit of Proportionality (LOP), Residual). Austrian Standards International: Vienna, Austria, 2007.
- JSCE Recommendations for Design and Construction of High Performance Fiber Reinforced Cement Composites with Multiple Fine Cracks (HPFRCC); Concrete Engineering Series; JSCE. Japan Society of Civil Engineers: Tokyo, Japan, 2008.
- Jungwirth, J.; Muttoni, A. Structural Behavior of Tension Members in UHPC. In Proceedings of the International Symposium on Ultra High Performance Concrete (UHPC); Kassel University Press: Kassel, Germany, 2004; pp. 533–544. [Google Scholar]
- Russell, H.G.; Graybeal, B.A. Ultra-High Performance Concrete: A State-Of-The-Art Report for The Bridge Community; Federal Highway Administration: McLean, VA, USA, 2013; p. 171. [Google Scholar]
- López, J.Á.; Serna, P.; Navarro-Gregori, J.; Coll, H. A Simplified Five-Point Inverse Analysis Method to Determine the Tensile Properties of UHPFRC from Unnotched Four-Point Bending Tests. Compos. Part B Eng. 2016, 91, 189–204. [Google Scholar] [CrossRef]
- Beverly, P.; Walraven, J.C.; International Federation for Structural Concrete (Eds.) Fib Model Code for Concrete Structures 2010; CEB-FIP; Ernst & Sohn: Berlin, Germany, 2013; ISBN 978-3-433-60408-3. [Google Scholar]
- Qian, S.; Li, V.C. Simplified Inverse Method for Determining the Tensile Strain Capacity of Strain Hardening Cementitious Composites. ACT 2007, 5, 235–246. [Google Scholar] [CrossRef]
- Graybeal, B.A.; Baby, F. Development of Direct Tension Test Method for Ultra-High- Performance Fiber-Reinforced Concrete. ACI Mater. J. 2013, 110, 177–186. [Google Scholar] [CrossRef]
- Haber, Z.B.; Foden, A.; McDonagh, M.; Ocel, J.; Zmetra, K.; Graybeal, B. Design and Construction of UHPC-Based Bridge Preservation and Repair Solutions; Federal Highway Administration: McLean, VA, USA, 2022; p. 86. [Google Scholar]
- AASHTO T 397; Standard Method of Test for Uniaxial Tensile Response of Ultra-High Performance Concrete. AASHTO (American Association of State Highway and Transportation Officials): Washington, DC, USA, 2022.
- AFGC; SETRA (Service d’études techniques des routes et autoroutes). AFGC-SETRA Ultra High Performance Fibre-Reinforced Concretes—Interim Recommendations; AFGC (L’Association Française de Génie Civil): Paris, France, 2002. [Google Scholar]
- German Committee for Structural Concrete. DAfStb Richtlinie Stahlfaserbeton 2010; Deutscher Ausschuss für Stahlbeton e. V.: Berlin, Germany, 2010. [Google Scholar]
- Niwa, J. (Ed.) JSCE Recommendations for Design and Construction of Ultra High Strength Fiber Reinforced Concrete Structures (Draft); JSCE Guidelines for Concrete; Maruzen: Tokyo, Japan, 2006; ISBN 978-4-8106-0557-0. [Google Scholar]
- Schmidt, M.; Piotrowski, S.; Wiens, U. The German Guideline for Ultra-High Performance Concrete. In Proceedings of the AFGC-ACI-fib-RILEM International Symposium on Ultra-High Performance Fibre-Reinforced Concrete, Montpellier, France, 2–4 October 2017; RILEM Publications S.A.R.L.: Montpellier, France, 2017; pp. 545–554. [Google Scholar]
- ASTM C1609/C1609M; Standard Test Method for Flexural Performance of Fiber-Reinforced Concrete (Using Beam With Third-Point Loading). ASTM International: West Conshohocken, PA, USA, 2024.
- JCI-S-002-2003:2001; Method of Test for Load-Displacement Curve of Fiber Reinforced Concrete by Use of Notched Beam. Japan Concrete Institute: Tokyo, Japan, 2003.
- DBV-Merkblatt Stahlfaserbeton; DBV (Deutscher Beton- und Bautechnik-Verein e. V.): Berlin, Germany, 2001.
- Amin, A.; Foster, S.J.; Muttoni, A. Derivation of the σ-w Relationship for SFRC from Prism Bending Tests. Struct. Concr. 2015, 16, 93–105. [Google Scholar] [CrossRef]
- Vinh, T.N.G. Constitutive Modelling of Fibre Reinforced Concrete and Shotcrete. Ph.D. Thesis, University of Tasmania, Hobart, TAS, Australia, 2003. [Google Scholar]
- Schmidt, M.; Bunje, K.; Dehn, F.; Droll, K.; Fehling, E.; Greiner, S.; Horvath, J.; Kleen, E.; Müller, C.; Reineck, K.-H.; et al. Sachstandsbericht Ultrahochfester Beton; Deutscher Ausschuss für Stahlbeton; Beuth Verlag GmbH: Berlin, Germany, 2008; ISBN 978-3-410-65045-4. [Google Scholar]
- Task Group 8.2. Constitutive Modelling of High Strength/High Performance Concrete—State-of-Art Report; Bulletins; The International Federation for Structural Concrete: Lausanne, Switzerland, 2008; ISBN 978-2-88394-082-6. [Google Scholar]
- ÖNORM EN 12390-6; Testing Hardened Concrete—Part 6: Tensile Splitting Strength of Test Specimens. Austrian Standards International: Vienna, Austria, 2010.
- ASTM C496/C496M; Standard Test Method for Splitting Tensile Strength of Cylindrical Concrete Specimens. ASTM International: West Conshohocken, PA, USA, 2017.
- Nanni, A. Splitting-Tension Test for Fiber Reinforced Concrete. Mater. J. 1988, 85, 229–233. [Google Scholar] [CrossRef]
- Graybeal, B.A. Material Property Characterization of Ultra-High Performance Concrete; Federal Highway Administration: McLean, VA, USA, 2006; p. 186. [Google Scholar]
- Linsbauer, H.N.; Tschegg, E.K. Die Bestimmung der Bruchenergie von zementgebundenen Werkstoffen an Würfelproben (Fracture energy determination of concrete with cube shaped specimens). Zem. Und Beton 1986, 31, 38–40. [Google Scholar]
- Tschegg, E.K. Prüfeinrichtung Zur Ermittlung von Bruchmechanischen Kennwerten Sowie Hiefür Geeignete Prüfkörper (Equipment and Appropriate Specimen Shape for Tests to Measure Fracture Values). Austrian Patent AT-390328, 31 January 1986. [Google Scholar]
- Brühwiler, E.; Wittmann, F.H. The Wedge Splitting Test, a New Method of Performing Stable Fracture Mechanics Tests. Eng. Fract. Mech. 1990, 35, 117–125. [Google Scholar] [CrossRef]
- Tschegg, E.K. New Equipments for Fracture Tests on Concrete. Mater. Test. 1991, 33, 338–343. [Google Scholar] [CrossRef]
- Löfgren, I.; Stang, H.; Olesen, J.F. The WST Method, a Fracture Mechanics Test Method for FRC. Mater. Struct. 2008, 41, 197–211. [Google Scholar] [CrossRef]
- Xiao, J.; Schneider, H.; Dönnecke, C.; König, G. Wedge Splitting Test on Fracture Behaviour of Ultra High Strength Concrete. Constr. Build. Mater. 2004, 18, 359–365. [Google Scholar] [CrossRef]
- Kuss, M. Untersuchung der Mechanischen Eigenschaften Unterschiedlicher Standard-und UHPC-Betonsorten. Master’s Thesis, University of Natural Resources and Life Sciences, Institute of Structural Engineering (IKI), Vienna, Austria, 2013. [Google Scholar]
- Chen, W.F. Double Punch Test for Tensile Strength of Concrete. Am. Concr. Inst. 1970, 67, 993–995. [Google Scholar]
- Chen, W.F.; Yuan, R.L. Tensile Strength of Concrete: Double-Punch Test. J. Struct. Div. 1980, 106, 1673–1693. [Google Scholar] [CrossRef]
- UNE 83515; Fibre Reinforced Concrete. Determination of Cracking Strength, Ductility and Residual Tensile Strength. Barcelona Test. Spanish Association for Standardisation (UNE): Madrid, Spain, 2010.
- ASTM WK73384; New Test Method for Evaluating the Tensile Performance of Fiber-Reinforced Concrete Using Cylindrical Specimens with Double-Punch Loading. ASTM International: West Conshohocken, PA, USA, 2020.
- Tuladhar, S.; Chao, S.-H. A Simple Tensile Testing Method for UHP-FRC Based on Double-Punch Test. In Proceedings of the Second International Interactive Symposium on UHPC, Albany, NY, USA, 2–5 June 2019; Iowa State University Digital Press: Ames, IA, USA, 2019; p. 10. [Google Scholar]
- Voss, M.S.; Riding, K.A.; Alrashidi, R.S.; Ferraro, C.C.; Hamilton, T.; Alabi, D.; Harley, J. The Double-Punch Test for UHPC Quality Control. In Proceedings of the ACI Spring 2022 Convention, Orlando, FL, USA, 27–31 March 2022. [Google Scholar]
- Voss, M.S.; Riding, K.A.; Alrashidi, R.S.; Ferraro, C.C.; Hamilton, H.R. Comparison between Direct Tension, Four-Point Flexure, and Simplified Double-Punch Tests for UHPC Tensile Behavior. J. Mater. Civ. Eng. 2022, 34, 04022229. [Google Scholar] [CrossRef]
- di Prisco, M.; Lamperti, M.G.L.; Lapolla, S. Double-Edge Wedge Splitting Test: Preliminary Results. In Proceedings of the 7th International Conference on Fracture Mechanics of Concrete and Concrete Structures (FraMCoS-7), Jeju, Republic of Korea, 23–28 May 2010; Korea Concrete Institute: Jeju, Republic of Korea, 2010; pp. 1579–1586. [Google Scholar]
- Di Prisco, M.; Ferrara, L.; Lamperti, M.G.L. Double Edge Wedge Splitting (DEWS): An Indirect Tension Test to Identify Post-Cracking Behaviour of Fibre Reinforced Cementitious Composites. Mater. Struct. 2013, 46, 1893–1918. [Google Scholar] [CrossRef]
- Mousa, M.; Cuenca, E.; Ferrara, L.; Roy, N.; Tagnit-Hamou, A. Tensile Characterization of an “Eco-Friendly” UHPFRC with Waste Glass Powder and Glass Sand. In Strain-Hardening Cement-Based Composites; Mechtcherine, V., Slowik, V., Kabele, P., Eds.; RILEM Bookseries; Springer: Dordrecht, The Netherlands, 2018; Volume 15, pp. 238–248. ISBN 978-94-024-1193-5. [Google Scholar]
- Lo Monte, F.; Ferrara, L. Tensile Behaviour Identification in Ultra-High Performance Fibre Reinforced Cementitious Composites: Indirect Tension Tests and Back Analysis of Flexural Test Results. Mater. Struct. 2020, 53, 145. [Google Scholar] [CrossRef]
- Cuenca, E.; D’Ambrosio, L.; Lizunov, D.; Tretjakov, A.; Volobujeva, O.; Ferrara, L. Mechanical Properties and Self-Healing Capacity of Ultra High Performance Fibre Reinforced Concrete with Alumina Nano-Fibres: Tailoring Ultra High Durability Concrete for Aggressive Exposure Scenarios. Cem. Concr. Compos. 2021, 118, 103956. [Google Scholar] [CrossRef]
- ASTM C1550-20; Test Method for Flexural Toughness of Fiber Reinforced Concrete (Using Centrally Loaded Round Panel). ASTM International: West Conshohocken, PA, USA, 2020.
- ACI Committee 544 PRC-544.4; Guide to Design with Fiber-Reinforced Concrete. American Concrete Institute (ACI): Farmington Hills, MI, USA, 2018.
- Minelli, F.; Plizzari, G.A. Round Panel vs. Beam Tests toward a Comprehensive and Harmonic Characterization of FRC Materials. In Brittle Matrix Composites 9; Woodhead Publishing: Warsaw, Poland, 2009; pp. 23–32. [Google Scholar]
- Mitchell, M.R.; Link, R.E.; Minelli, F.; Plizzari, G. A New Round Panel Test for the Characterization of Fiber Reinforced Concrete: A Broad Experimental Study. J. Test. Eval. 2011, 39, 103392. [Google Scholar] [CrossRef]
- Nour, A.; Massicotte, B.; De Montaignac, R.; Charron, J.-P. Derivation of a Crack Opening Deflection Relationship for Fibre Reinforced Concrete Panels Using a Stochastic Model: Application for Predicting the Flexural Behaviour of Round Panels Using Stress Crack Opening Diagrams. Cem. Concr. Res. 2011, 41, 964–974. [Google Scholar] [CrossRef]
- Minelli, F.; Plizzari, G. Derivation of a Simplified Stress–Crack Width Law for Fiber Reinforced Concrete through a Revised Round Panel Test. Cem. Concr. Compos. 2015, 58, 95–104. [Google Scholar] [CrossRef]
- Lataste, J.-F.; Barnett, S.J.; Parry, T.; Soutsos, M.N. Determination of Fibres Orientation in UHPFRC and Evaluation of Their Effect on Mechanical Properties. In Proceedings of the 7th International Symposium on Nondestructive Testing in Civil Engineering, Nantes, France, 30 June–3 July 2009; NDT.Net: Nantes, France, 2009; Volume 14. [Google Scholar]
- European Federation of National Associations of Specialist Contractors and Material Suppliers to the Construction Industry. EFNARC European Specification for Sprayed Concrete; EFNARC: Farnham, UK, 1996. [Google Scholar]
- ÖNORM EN 14488-5; Testing Sprayed Concrete—Part 5: Determination of Energy Absorption Capacity of Fibre Reinforced Slab Specimens. Austrian Standards International: Vienna, Austria, 2006.
- Trucy, L.; Dobrusky, S.; Bonnet, E. Ultra High Performance Shotcrete: Yes We Can! In Proceedings of the AFGC-ACI-fib-RILEM International Symposium on Ultra-High Performance Fibre-Reinforced Concrete, Montpellier, France, 2–4 October 2017; RILEM Publications S.A.R.L.: Montpellier, France, 2017; pp. 153–162. [Google Scholar]
- Randl, N.; Steiner, T.; Ofner, S.; Baumgartner, E.; Mészöly, T. Development of UHPC Mixtures from an Ecological Point of View. Constr. Build. Mater. 2014, 67, 373–378. [Google Scholar] [CrossRef]
- Mészöly, T.; Randl, N. An Advanced Approach to Derive the Constitutive Law of UHPFRC. Archit. Civ. Eng. Environ. 2018, 11, 89–96. [Google Scholar] [CrossRef]
- ÖNORM EN 12390-1; Testing Hardened Concrete—Part 1: Shape, Dimensions and Other Requirements for Specimens and Moulds. Austrian Standards International: Vienna, Austria, 2021.
- ÖNORM EN 12390-2; Testing Hardened Concrete—Part 2: Making and Curing Specimens for Strength Tests. Austrian Standards International: Vienna, Austria, 2019.
- Mészöly, T.; Randl, N. Derivation of Constitutive Law for UHPFRC Using DIC System. In PRO106—UHPFRC 2017 Designing and Building with UHPFRC: New Large-Scale Implementations, Recent Technical Advances, Experience and Standards; Toutlemonde, F., Resplendino, J., Eds.; RILEM Publications SARL.: Montpellier, France, 2017; Volume I, pp. 221–230. ISBN 978-2-35158-166-7. [Google Scholar]
- ÖNORM EN 12390-3; Testing Hardened Concrete—Part 3: Compressive Strength of Test Specimens. Austrian Standards International: Vienna, Austria, 2019.
- Di Prisco, M.; fib. The International Federation for Structural Cosncrete. Fib Bulletin 105. Fibre Reinforced Concrete; Bulletins; The International Federation for Structural Concrete: Lausanne, Switzerland, 2022; ISBN 978-2-88394-162-5. [Google Scholar]
- Leutbecher, T.; Fehling, E. A Simple Design Approach for UHPFRC in Bending. In Proceedings of the RILEM-fib-AFGC International Symposium on Ultra-High Performance Fibre-Reinforced Concrete, Marseilles, France, 1–3 October 2013; RILEM Publications S.A.R.L.: Marseilles, France, 2013; pp. 509–518. [Google Scholar]
- AFNOR NF P18-710; National Addition to Eurocode 2—Design of Concrete Structures: Specific Rules for Ultra-High Performance Fibre-Reinforced Concrete (UHPFRC). AFNOR (Association Française de Normalisation): Saint-Denis, France, 2016.
- ÖNORM EN 12390-13; Testing Hardened Concrete—Part 13: Determination of Secant Modulus of Elasticity in Compression. Austrian Standards International: Vienna, Austria, 2021.
- Chanvillard, G. Caractérisation Des Performances d’un Béton Renforcé de Fibres á Partir d’un Essai de Flexion—Partie 1: De La Subjectivité Des Indices de Ténacité. Mater. Struct. 1999, 32, 418–426. [Google Scholar] [CrossRef]
- Chanvillard, G. Caractérisation Des Performances d’un Béton Renforcé de Fibres à Partir d’un Essai de Flexion. Partie 2: Identification d’une Loi de Comportement Intrinsèque En Traction. Mater. Struct. 1999, 32, 601–605. [Google Scholar] [CrossRef]
- Baby, F.; Graybeal, B.; Marchand, P.; Toutlemonde, F. UHPFRC Tensile Behavior Characterization: Inverse Analysis of Four-Point Bending Test Results. Mater. Struct. 2013, 46, 1337–1354. [Google Scholar] [CrossRef]
- Ramezani, M.; Ozbulut, O.E.; Sherif, M.M. Mechanical Characterization of High-Strength and Ultra-High-Performance Engineered Cementitious Composites Reinforced with Polyvinyl Alcohol and Polyethylene Fibers Subjected to Monotonic and Cyclic Loading. Cem. Concr. Compos. 2024, 148, 105472. [Google Scholar] [CrossRef]
- Mészöly, T.; Ofner, S.; Randl, N. Effect of Combining Fiber and Textile Reinforcement on the Flexural Behavior of UHPC Plates. Adv. Mater. Sci. Eng. 2020, 2020, 9891619. [Google Scholar] [CrossRef]
- Mészöly, T.; Randl, N. Shear Behavior of Fiber-Reinforced Ultra-High Performance Concrete Beams. Eng. Struct. 2018, 168, 119–127. [Google Scholar] [CrossRef]
- Van Mier, J.G.M.; Schlangen, E.; Vervuurt, A. Tensile Cracking in Concrete and Sandstone: Part 2—Effect of Boundary Rotations. Mat. Struct. 1996, 29, 87–96. [Google Scholar] [CrossRef]
- van Vliet, M.R.A. Size Effect in Tensile Fracture of Concrete and Rock. Ph.D. Thesis, Delft University, Delft, The Netherlands, 2000. [Google Scholar]
- Leutbecher, T. Rissbildung und Zugtragverhalten von mit Stabstahl und Fasern bewehrtem Ultrahochfesten Beton (UHPC). Ph.D. Thesis, Universität Kassel, Kassel, Germany, 2007. [Google Scholar]
- Comité Euro-International du Béton. CEB-FIP Model Code 1990: Design Code; T. Telford: London, UK, 1993; ISBN 978-0-7277-1696-5. [Google Scholar]
- ÖNORM EN 1992-1-1; Eurocode 2: Design of Concrete Structures—Part 1-1: General Rules and Rules for Buildings. Austrian Standards International: Vienna, Austria, 2015.
- Vandewalle, L.; Nemegeer, D.; Balázs, G.L.; Barr, B.; Barros, J.; Bartos, P.; Banthia, N.; Criswell, M.; Denarie, E.; di Prisco, M.; et al. RILEM TC 162-TDF: Test and Design Methods for Steel Fibre Reinforced Concrete—Sigma-Epsilon-Design Method—Final Recommendation. Mater. Struct. 2003, 36, 560–567. [Google Scholar] [CrossRef]





























| Test Series | Direction | Test Setup | Fiber Content | Number of Specimens |
|---|---|---|---|---|
| Series 1 | H | Setup I | 2 vol% | 6 |
| V | 6 | |||
| L | 3 | |||
| Series 2 | H | Setup II | 12 | |
| V | 11 | |||
| L | 8 | |||
| Series 3 | H | Setup III | 1 vol% | 12 |
| V | 12 | |||
| L | 7 | |||
| Series 4 | H | 2 vol% | 11 | |
| V | 11 | |||
| L | 8 |
| Fiber Content [vol%] | Splitting Tensile Strength [MPa] | Mean [MPa] | Standard Deviation [MPa] | Coefficient of Variation [%] |
|---|---|---|---|---|
| 0 | 9.56 | 7.87 | 0.96 | 12.2 |
| 6.74 | ||||
| 7.96 | ||||
| 6.99 | ||||
| 7.43 | ||||
| 8.53 | ||||
| 1 1 | 8.34 | 8.07 | 0.79 | 9.8 |
| 8.88 | ||||
| 7.00 | ||||
| 1 2 | 13.21 | 14.08 | 1.02 | 7.3 |
| 13.51 | ||||
| 15.51 | ||||
| 2 | 16.23 | 16.15 | 1.20 | 7.4 |
| 14.65 | ||||
| 17.57 |
| Test Series | Direction | Mean of fct | Median of fct | St. Deviation of fct | Min. of fct | Max. of fct |
|---|---|---|---|---|---|---|
| Series 1 | H | 3.87 | 3.79 | 1.16 | 2.05 | 5.43 |
| V | 6.54 | 7.31 | 1.75 | 3.28 | 8.10 | |
| L | 4.20 | 4.28 | 0.95 | 3.00 | 5.33 | |
| Series 2 | H | 9.99 | 10.03 | 0.58 | 8.92 | 11.17 |
| V | 9.71 | 9.67 | 1.00 | 7.54 | 11.11 | |
| L | 9.63 | 9.45 | 0.57 | 8.77 | 10.57 | |
| Series 3 | H | 8.00 | 7.86 | 1.15 | 6.12 | 10.59 |
| V | 7.56 | 7.44 | 0.74 | 6.60 | 9.43 | |
| L | 8.37 | 8.43 | 1.08 | 6.72 | 9.69 | |
| Series 4 | H | 7.92 | 7.69 | 0.96 | 6.59 | 9.31 |
| V | 7.68 | 7.71 | 1.07 | 6.11 | 9.65 | |
| L | 8.00 | 8.11 | 0.99 | 6.52 | 9.36 |
| Test Series | Direction | Mean of fcf | Median of fcf | St. Deviation of fcf | Min. of fcf | Max. of fcf |
|---|---|---|---|---|---|---|
| Series 1 | H | 3.38 | 3.50 | 1.40 | 1.00 | 5.11 |
| V | 6.53 | 6.55 | 1.16 | 4.45 | 8.12 | |
| L | 5.87 | 5.58 | 1.52 | 4.18 | 7.86 | |
| Series 2 | H | 7.44 | 8.59 | 3.05 | 0.90 | 11.11 |
| V | 4.23 | 3.68 | 2.43 | 1.11 | 8.47 | |
| L | 2.51 | 2.58 | 1.25 | 0.76 | 4.64 | |
| Series 3 | H | 6.34 | 5.80 | 2.75 | 1.80 | 9.94 |
| V | 5.35 | 5.16 | 2.36 | 2.51 | 8.81 | |
| L | 2.62 | 1.96 | 1.46 | 1.07 | 5.06 | |
| Series 4 | H | 7.44 | 5.46 | 5.47 | 1.88 | 16.23 |
| V | 5.28 | 5.05 | 3.17 | 1.52 | 10.65 | |
| L | 3.33 | 3.02 | 1.44 | 1.10 | 6.18 |
| Test Series | Direction | Mean of Wf,2 | Median of Wf,2 | St. Deviation of Wf,2 | Min. of Wf,2 | Max. of Wf,2 |
|---|---|---|---|---|---|---|
| Series 1 | H | 5.31 | 5.54 | 1.51 | 2.98 | 7.71 |
| V | 9.14 | 8.54 | 1.39 | 7.94 | 11.85 | |
| L | 7.91 | 7.58 | 0.61 | 7.39 | 8.76 | |
| Series 2 | H | 11.98 | 12.38 | 3.83 | 5.59 | 17.82 |
| V | 8.55 | 8.03 | 2.65 | 5.07 | 12.09 | |
| L | 6.05 | 6.57 | 1.93 | 2.32 | 8.93 | |
| Series 3 | H | 9.72 | 9.43 | 3.54 | 3.30 | 14.93 |
| V | 8.25 | 7.66 | 3.02 | 4.31 | 14.61 | |
| L | 5.43 | 4.37 | 1.89 | 3.81 | 8.13 | |
| Series 4 | H | 9.22 | 8.38 | 4.34 | 3.66 | 16.66 |
| V | 8.09 | 7.80 | 4.03 | 3.58 | 15.64 | |
| L | 6.26 | 6.47 | 1.73 | 3.92 | 9.36 |
| Test Series | Direction | Mean of Wf,3 | Median of Wf,3 | St. Deviation of Wf,3 | Min. of Wf,3 | Max. of Wf,3 |
|---|---|---|---|---|---|---|
| Series 1 | H | 6.67 | 7.02 | 1.90 | 3.50 | 9.51 |
| V | 10.96 | 10.13 | 1.71 | 10.03 | 14.38 | |
| L | 10.11 | 10.16 | 0.58 | 9.37 | 10.80 | |
| Series 2 | H | 15.07 | 15.68 | 5.00 | 6.34 | 22.73 |
| V | 10.82 | 10.13 | 3.28 | 6.37 | 15.34 | |
| L | 7.51 | 7.97 | 2.49 | 2.79 | 11.40 | |
| Series 3 | H | 12.44 | 11.69 | 4.71 | 4.28 | 19.67 |
| V | 10.77 | 10.16 | 4.03 | 5.45 | 19.61 | |
| L | 6.79 | 5.25 | 0.00 | 8.13 | 8.13 | |
| Series 4 | H | 11.44 | 10.89 | 4.97 | 4.95 | 20.08 |
| V | 10.40 | 10.19 | 5.30 | 4.59 | 20.39 | |
| L | 8.16 | 8.50 | 2.45 | 5.08 | 12.45 |
| Fiber Content | Number of Specimens | Mean of fc | Median of fc | St. Deviation of fc | Min. of fc | Max. of fc |
|---|---|---|---|---|---|---|
| 0 vol% | 12 | 154.3 | 154.0 | 3.44 | 148.1 | 160.4 |
| 1 vol% | 10 | 167.8 | 167.1 | 5.24 | 160.5 | 176.8 |
| 2 vol% | 6 | 172.5 | 172.4 | 6.77 | 163.0 | 182.8 |
| Fiber Content | Number of Specimens | Mean of fc | Median of fc | St. Deviation of fc | Min. of fc | Max. of fc |
|---|---|---|---|---|---|---|
| 1 vol% | 5 | 187.1 | 185.6 | 4.75 | 182.0 | 194.2 |
| 2 vol% | 5 | 189.1 | 190.9 | 6.31 | 181.7 | 197.4 |
Disclaimer/Publisher’s Note: The statements, opinions and data contained in all publications are solely those of the individual author(s) and contributor(s) and not of MDPI and/or the editor(s). MDPI and/or the editor(s) disclaim responsibility for any injury to people or property resulting from any ideas, methods, instructions or products referred to in the content. |
© 2024 by the authors. Licensee MDPI, Basel, Switzerland. This article is an open access article distributed under the terms and conditions of the Creative Commons Attribution (CC BY) license (https://creativecommons.org/licenses/by/4.0/).
Share and Cite
Mészöly, T.; Randl, N. Assessment of Methods to Derive Tensile Properties of Ultra-High-Performance Fiber-Reinforced Cementitious Composites. Materials 2024, 17, 3259. https://doi.org/10.3390/ma17133259
Mészöly T, Randl N. Assessment of Methods to Derive Tensile Properties of Ultra-High-Performance Fiber-Reinforced Cementitious Composites. Materials. 2024; 17(13):3259. https://doi.org/10.3390/ma17133259
Chicago/Turabian StyleMészöly, Tamás, and Norbert Randl. 2024. "Assessment of Methods to Derive Tensile Properties of Ultra-High-Performance Fiber-Reinforced Cementitious Composites" Materials 17, no. 13: 3259. https://doi.org/10.3390/ma17133259
APA StyleMészöly, T., & Randl, N. (2024). Assessment of Methods to Derive Tensile Properties of Ultra-High-Performance Fiber-Reinforced Cementitious Composites. Materials, 17(13), 3259. https://doi.org/10.3390/ma17133259

