Study on the Mechanical Properties of Crack Mortar Repaired by Enzyme-Induced Calcium Carbonate Precipitation (EICP)
Abstract
1. Introduction
2. Materials and Methods
2.1. Test Materials
2.2. Sample Preparation
2.3. Test Methods
3. Results and Analysis
3.1. Analysis of Ultrasonic Testing Results of the Mortar Sample
3.2. Analysis of Mechanical Property Results of the Mortar Sample
3.3. Analysis of Calcium Carbonate Uptake Rate of Mortar Samples
3.4. Analysis of Apparent Repair Effect of the Mortar Sample
3.5. Analysis of the Mechanism of Action for the Repair of Mortar Samplesthrough EICP
4. Conclusions
- The unrepaired sample has a larger ultrasonic wave transmission time. However, the time decreases significantly after repair with the filling medium. When the perfusion and injection methods are applied, and quartz sand is used as the repair medium, the EICP technique has a better solidification effect, and the ultrasonic wave transmission time decreases by 1.22% on average, under the action of the injection method with quartz sand as the filling medium.
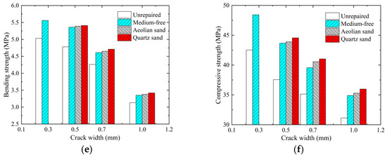
- Compared with unrepaired samples, the mortar samples repaired by EICP experienced a significant increase in both bending strength and compressive strength. Under the immersion method, the sample filled with the repair medium has a similar strength to that of the sample not filled with the repair medium. When the injection method is applied, the maximum compressive strength increase rate of the sample with quartz sand as the repair medium reaches 13.90%, 1.92 times greater than that with the perfusion method, and 3.65 times greater than that with the immersion method. From this perspective, when the injection method is applied and quartz sand is selected as the repair medium, the test sample of repair mortar has higher bending and compressive strengths, thus contributing to a better repair effect.
- After repair through the injection method, the test sample has a flat surface, and all lateral cracks are filled with a repair medium. There is a large number of white crystals at the cross-section, which are calcium carbonate crystals produced by the mineralization of EICP. Calcium carbonate crystals are formed by rapidly injecting an enzyme and cementing solution into cracks, and then the repair medium and mortar are cemented into a whole to improve the overall mechanical properties of mortar samples.
- The minerals generated by EICP take the shape of round balls and mainly contain vaterite. The main peak 2θ values are 29.37° and 29.24°, suggesting that there is a large number of CaCO3 crystals, and these crystals take the shape of full round balls. Based on the combination of quartz sand and EICP repair methods, the calcium carbonate precipitating between sand grains contributes a bonding effect, which improves the cohesive force between sand grains. Then, the cracks are gradually filled and slowly cemented into a whole to repair mortar cracks.
- At present, the EICP repair method is mainly applicable to cement mortar. In the future, EICP technology has great potential to repair the cracks in lime-based mortar, concrete, and reinforced concrete. According to the strength and durability testing of the repaired samples, the EICP repair mechanism can be further revealed, coupled with numerical simulation and microscopic testing, in future research.
Author Contributions
Funding
Institutional Review Board Statement
Informed Consent Statement
Data Availability Statement
Conflicts of Interest
References
- Nodehi, M.; Ren, J.; Shi, X.; Debbarma, S.; Ozbakkaloglu, T. Experimental evaluation of alkali-activated and portland cement-based mortars prepared using waste glass powder in replacement of fly ash. Constr. Build. Mater. 2023, 394, 132124. [Google Scholar] [CrossRef]
- Ramaglia, G.; Lignola, G.P.; Fabbrocino, F.; Prota, A. Numerical modelling of masonry barrel vaults reinforced with textile reinforced mortars. Key Eng. Mater. 2017, 747, 11–19. [Google Scholar] [CrossRef]
- Chen, Z.; Liu, H.; Xu, L.; Ge, W. A review of mechanical properties and carbonation behavior evolution of lime mortar for architectural heritages restoration. Miner. Miner. Mater. 2024, 3, 3. [Google Scholar] [CrossRef]
- Diaz, J.; Ševčík, R.; Mácová, P.; Menéndez, B.; Frankeová, D.; Slížková, Z. Impact of nanosilica on lime restoration mortars properties. J. Cult. Herit. 2022, 55, 210–220. [Google Scholar] [CrossRef]
- Kontić, A.; Vasconcelos, G.; Melendez, C.B.; Azenha, M.; Sokolović, N. Influence of air entrainers on the properties of hydrated lime mortars. Constr. Build. Mater. 2023, 403, 132968. [Google Scholar] [CrossRef]
- Valikhani, A.; Jahromi, A.J.; Mantawy, I.M.; Azizinamini, A. Experimental evaluation of concrete-to-UHPC bond strength with correlation to surface roughness for repair application. Constr. Build. Mater. 2020, 238, 117753. [Google Scholar] [CrossRef]
- Degtyarev, V.V.; Thai, H.T. Design of concrete-filled steel tubular columns using data-driven methods. J. Constr. Steel Res. 2023, 200, 107653. [Google Scholar] [CrossRef]
- da Rocha Gomes, S.; Ferrara, L.; Sánchez, L.; Moreno, M.S. A comprehensive review of cementitious grouts: Composition, properties, requirements and advanced performance. Constr. Build. Mater. 2023, 375, 130991. [Google Scholar] [CrossRef]
- Güllü, H.; Yetim, M.E.; Güllü, E.B. Effect of using nano-silica on the rheological, fresh and strength characteristics of cement-based grout for grouting columns. J. Build. Eng. 2023, 76, 107100. [Google Scholar] [CrossRef]
- Hang, L.; Yang, E.; Zhou, Y.; Song, W.; He, J. Microbially induced calcite precipitation (MICP) for stabilization of desert sand against the wind-induced erosion: A parametric study. Sustainability 2022, 14, 11409. [Google Scholar] [CrossRef]
- Song, H.; Kumar, A.; Ding, Y.; Wang, J.; Zhang, Y. Removal of Cd2+ from wastewater by microorganism induced carbonate precipitation (MICP): An economic bioremediation approach. Sep. Purif. Technol. 2022, 297, 121540. [Google Scholar] [CrossRef]
- Gowthaman, S.; Nakashima, K.; Kawasaki, S. Freeze-thaw durability and shear responses of cemented slope soil treated by microbial induced carbonate precipitation. Soils Found. 2020, 60, 840–855. [Google Scholar] [CrossRef]
- Almajed, A.; Lateef, M.A.; Moghal, A.A.B.; Lemboye, K. State-of-the-art review of the applicability and challenges of microbial-induced calcite precipitation (MICP) and enzyme-induced calcite precipitation (EICP) techniques for geotechnical and geoenvironmental applications. Crystals 2021, 11, 370. [Google Scholar] [CrossRef]
- Zhang, K.; Tang, C.S.; Jiang, N.J.; Pan, X.H.; Liu, B.; Wang, Y.J.; Shi, B. Microbial-induced carbonate precipitation (MICP) technology: A review on the fundamentals and engineering applications. Environ. Earth Sci. 2023, 82, 229. [Google Scholar] [CrossRef] [PubMed]
- Xu, K.; Huang, M.; Zhen, J.; Xu, C.; Cui, M. Field implementation of enzyme-induced carbonate precipitation technology for reinforcibedding layer beneath an underground cable duct. J. Rock Mech. Geotech. Eng. 2023, 15, 1011–1022. [Google Scholar] [CrossRef]
- Zhou, Y.; Zhang, Y.; Geng, W.; He, J.; Gao, Y. Evaluation of liquefaction resistance for single- and multi-phase SICP-treated sandy soil using shaking table test. Acta Geotech. 2023, 18, 6007–6025. [Google Scholar] [CrossRef]
- Meng, H.; Shu, S.; Gao, Y.; Yan, B.; He, J. Multiple-phase enzyme-induced carbonate precipitation (EICP) method for soil improvement. Eng. Geol. 2021, 294, 106374. [Google Scholar] [CrossRef]
- Wu, L.; Miao, L.; Sun, X.; Wang, H. Enzyme-induced carbonate precipitation combined with polyvinyl alcohol to solidify aeolian sand. J. Mater. Civ. Eng. 2021, 33, 04021373. [Google Scholar] [CrossRef]
- Kidanemariam, T.G.; Gebru, K.A.; Kidane Gebretinsae, H. A mini review of enzyme-induced calcite precipitation (EICP) technique for eco-friendly bio-cement production. Environ. Sci. Pollut. Res. 2024, 31, 16206–16215. [Google Scholar] [CrossRef]
- Cui, M.J.; Lai, H.J.; Hoang, T.; Chu, J. One-phase-low-pH enzyme induced carbonate precipitation (EICP) method for soil improvement. Acta Geotech. 2021, 16, 481–489. [Google Scholar] [CrossRef]
- Zomorodian, S.M.A.; Nikbakht, S.; Ghaffari, H.; O’Kelly, B.C. Enzymatic-induced calcite precipitation (EICP) method for improving hydraulic erosion resistance of surface sand layer: A laboratory investigation. Sustainability 2023, 15, 5567. [Google Scholar] [CrossRef]
- Ahenkorah, I.; Rahman, M.M.; Karim, M.R.; Beecham, S. Characteristics of MICP- and EICP-treated sands in simple shear conditions: A benchmarking with the critical state of untreated sand. Géotechnique 2023, 12, 1–15. [Google Scholar] [CrossRef]
- Rosewitz, J.A.; Wang, S.; Scarlata, S.F.; Rahbar, N. An enzymatic self-healing cementitious material. Appl. Mater. Today 2021, 23, 101035. [Google Scholar] [CrossRef]
- Lee, S.; Kim, J. The investigation of the mechanical properties of EICP-Treated sand specimens prepared by a double-reservoir injection system for uniform precipitation of carbonate via triaxial tests. Geotech. Test. J. 2023, 46, 190–211. [Google Scholar] [CrossRef]
- Dong, J.; Liu, X. Application of improved enzyme induced calcium carbonate precipitation (EICP) technology in surface protection of earthen sites. J. Cult. Herit. 2022, 54, 146–154. [Google Scholar] [CrossRef]
- Xu, Y.L.; Zheng, W.J.; Wang, L.; Xue, Z.F.; Xie, Y.X. Implication and enhancement mechanism of chitosan-assisted enzyme- induced carbonate precipitation for copper wastewater treatment. CIESC J. 2022, 73, 2222–2232. [Google Scholar]
- Zhang, L.; Bian, M.; Wang, Y.; Xu, K.; Chen, M.; Han, B. A review of some key technologies and methods used for evaluating the healing performance of self-healing concrete. Mater. Rep. 2024, 38, 22100028-23. [Google Scholar]
- Chouhan, S.; Vishnu Priya, V.; Gayathri, R. Extraction and partial purification of urease enzyme from Jack fruit. Int. J. Res. Pharm. Sci. 2018, 9, 438–441. [Google Scholar]
- Nakamura, H.; Nanri, T.; Miura, T.; Roy, S. Experimental investigation of compressive strength and compressive fracture energy of longitudinally cracked concrete. Cem. Concr. Compos. 2018, 93, 1–18. [Google Scholar] [CrossRef]
- Zhang, Q.; Ye, W.; Liu, Z.; Wang, Q.; Chen, Y. Influence of injection methods on calcareous sand cementation by EICP technique. Constr. Build. Mater. 2023, 363, 129724. [Google Scholar] [CrossRef]













| Cement | Na2O | MgO | Al2O3 | SiO2 | SO3 | Cl- | CaO | Fe2O3 |
|---|---|---|---|---|---|---|---|---|
| ω% | 2.73 | 3.00 | 8.26 | 24.99 | 2.20 | 0.04 | 51.42 | 4.03 |
| Compressive Strength (MPa) | Bending Strength (MPa) | Setting Time (min) | Specific Surface Area (m2/kg) | Stability | |||
|---|---|---|---|---|---|---|---|
| 7 d | 28 d | 3 d | 28 d | Initial condensation | Final condensation | 358.0 | Qualified |
| 27.2 | 50.8 | 5.5 | 8.6 | 172.0 | 234.0 | ||
| Sand Type | GS | ρdmax | ρdmin | d10 | d30 | d60 | Cu | Cc |
|---|---|---|---|---|---|---|---|---|
| Standard sand | 2.652 | 1.730 | 1.460 | 0.140 | 0.500 | 0.900 | 6.428 | 1.984 |
| Aeolian sand | 1.850 | 1.720 | 1.470 | 0.086 | 0.130 | 0.215 | 2.500 | 0.914 |
| Quartz sand | 2.660 | 1.820 | 1.460 | 0.080 | 0.100 | 0.144 | 1.800 | 0.868 |
| Repair Method | MediumType | Crack Width (mm) | Time (d) |
|---|---|---|---|
| Immersion | None | 0, 0.3, 0.5, 0.7, 1.0 | 10 |
| Aeolian sand | 0, 0.5, 0.7, 1.0 | 10 | |
| Quartz sand | 0, 0.5, 0.7, 1.0 | 10 | |
| Perfusion | None | 0, 0.3, 0.5, 0.7, 1.0 | 10 |
| Aeolian sand | 0, 0.5, 0.7, 1.0 | 10 | |
| Quartz sand | 0, 0.5, 0.7, 1.0 | 10 | |
| Injection | None | 0, 0.3, 0.5, 0.7, 1.0 | 10 |
| Aeolian sand | 0, 0.5, 0.7, 1.0 | 10 | |
| Quartz sand | 0, 0.5, 0.7, 1.0 | 10 |
Disclaimer/Publisher’s Note: The statements, opinions and data contained in all publications are solely those of the individual author(s) and contributor(s) and not of MDPI and/or the editor(s). MDPI and/or the editor(s) disclaim responsibility for any injury to people or property resulting from any ideas, methods, instructions or products referred to in the content. |
© 2024 by the authors. Licensee MDPI, Basel, Switzerland. This article is an open access article distributed under the terms and conditions of the Creative Commons Attribution (CC BY) license (https://creativecommons.org/licenses/by/4.0/).
Share and Cite
Li, G.; Yan, D.; Liu, J.; Yang, P.; Zhang, J. Study on the Mechanical Properties of Crack Mortar Repaired by Enzyme-Induced Calcium Carbonate Precipitation (EICP). Materials 2024, 17, 2978. https://doi.org/10.3390/ma17122978
Li G, Yan D, Liu J, Yang P, Zhang J. Study on the Mechanical Properties of Crack Mortar Repaired by Enzyme-Induced Calcium Carbonate Precipitation (EICP). Materials. 2024; 17(12):2978. https://doi.org/10.3390/ma17122978
Chicago/Turabian StyleLi, Gang, Deqiang Yan, Jia Liu, Peidong Yang, and Jinli Zhang. 2024. "Study on the Mechanical Properties of Crack Mortar Repaired by Enzyme-Induced Calcium Carbonate Precipitation (EICP)" Materials 17, no. 12: 2978. https://doi.org/10.3390/ma17122978
APA StyleLi, G., Yan, D., Liu, J., Yang, P., & Zhang, J. (2024). Study on the Mechanical Properties of Crack Mortar Repaired by Enzyme-Induced Calcium Carbonate Precipitation (EICP). Materials, 17(12), 2978. https://doi.org/10.3390/ma17122978

