Iron Tailings as Mineral Fillers and Their Effect on the Fatigue Performance of Asphalt Mastic
Abstract
1. Introduction
2. Materials and Methods
2.1. Materials Properties
2.2. Preparation of Asphalt Mastics
3. Experimental Methods
3.1. Physicochemical Properties of ITs and LFs
3.2. Fatigue Properties of Asphalt Mastic
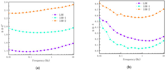
3.3. Interaction Ability of Asphalt Binder and Mineral Fillers
3.4. Interfacial Adhesion Energy of Asphalt Binder and Mineral Fillers
3.5. Gray Correlation Analysis of Influencing Factors of Fatigue Performance
- (1)
- Establish and initialize the comparison series and reference series.In the formula, X0 and Xi are reference series and comparison series, respectively.
- (2)
- Divide the first value of each sequence by the other values to obtain a new sequence:where Y0 and Yi are the reference series and the comparison series after initializing.
- (3)
- Calculate the difference series and correlation coefficients between the difference series and the correlation coefficient and correlation degree:where Δi(K) and ξi(K) are the difference sequence and the correlation coefficient between the reference series and the comparison series after initializing; ρ is the resolution coefficient, and the value is between 0 and 1, usually ρ = 0.5; [Δi(K)]max and [Δi(K)]min are the maximum and minimum values of the difference sequence; and γi is the correlation degree.
4. Results and Discussions
4.1. Physicochemical Properties of ITs and LFs
4.1.1. Particle Size Distribution
4.1.2. Micromorphology
4.1.3. Mineral Composition
4.1.4. Chemical Composition
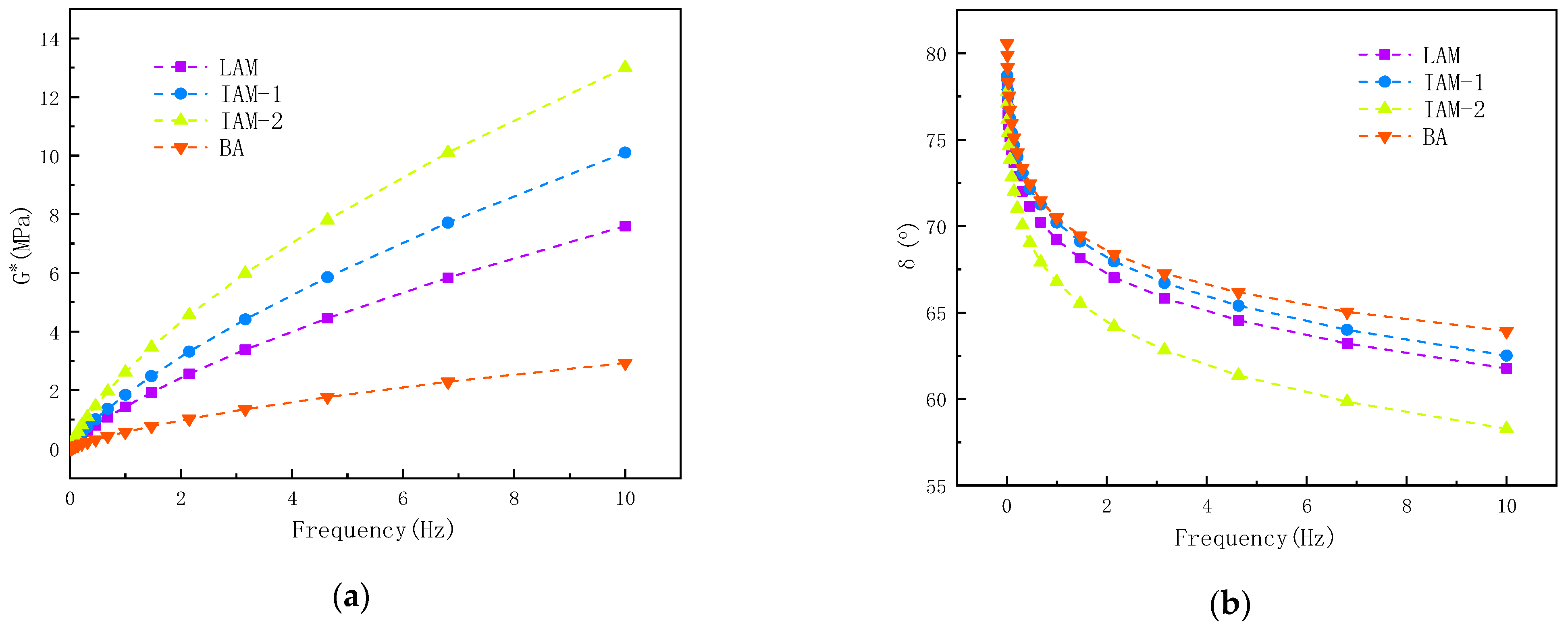
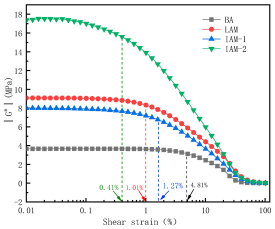
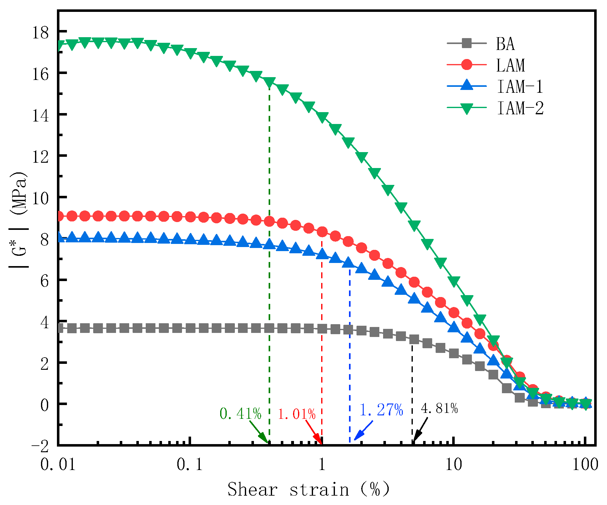
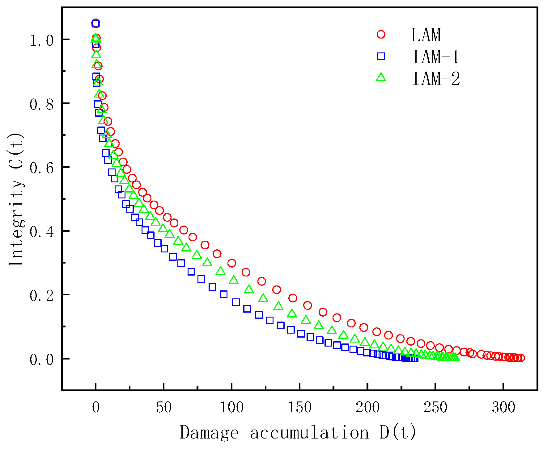
4.2. Fatigue Performance Analysis of Asphalt Mastic
4.3. Interaction Ability of Asphalt Binder and Mineral Fillers
4.4. Interface Energy of Asphalt Binder and Mineral Fillers
4.4.1. Establishment of Asphalt Molecular Model
4.4.2. RDF Analysis of Asphalt Model
4.4.3. Interfacial Adhesion Energy between Asphalt Binder and Mineral Fillers
4.5. Gray Correlation Analysis of Influencing Factors of Fatigue Performance
4.6. Effectiveness Analysis
5. Conclusions
- The particle size distribution of IT is concentrated in 30 μm~150 μm with obvious edges and corners, and the microstructure of IT-2 has more angularity than the other two fillers, which will enhance the interaction ability between the asphalt binder and the mineral fillers. While the LF is uniformly distributed in 5 μm~300 μm, presenting cluster distribution, smaller particle sizes can adsorb more asphalt, which is also beneficial to improve the fatigue life of asphalt mastic.
- The fatigue life of the two kinds of iron tailings asphalt mastic is not much different from that of limestone asphalt mastic. Among them, the fatigue life of LAM is the highest, and the fatigue life of IAM-2 is slightly better than that of IAM-1. ITs can be used in asphalt pavement instead of limestone fillers.
- The main mineral composition of ITs is SiO2. ITs are acidic minerals, whose interfacial adhesion energy with asphalt is low. The main mineral composition of limestone is CaCO3, which is an alkaline mineral with higher interfacial adhesion energy. On the contrary, the interaction between ITs and asphalt is higher than that of LF based on the K-B-G*, which may be caused by the rich angularity of ITs.
- Through gray correlation analysis, it was found that the adhesion energy and interaction ability between asphalt and mineral fillers jointly determined the asphalt mastic fatigue life. The correlation degree of interfacial adhesion energy and interaction ability with asphalt mastic fatigue life is almost the same, close to 0.58.
- The application of ITs as a substitute for LF in asphalt pavement construction provides a new perspective on solid waste utilization. The fatigue performance of IAM meets the requirements, and it will create huge economic, environmental, and social benefits.
Author Contributions
Funding
Institutional Review Board Statement
Informed Consent Statement
Data Availability Statement
Conflicts of Interest
References
- Cui, X.W.; Geng, Y.; Li, T.; Zhao, R.; Li, X.X.; Cui, Z.J. Field application and effect evaluation of different iron tailings soil utilization technologies. Resour. Conserv. Recycl. 2021, 173, 105746. [Google Scholar] [CrossRef]
- Benarchid, Y.; Taha, Y.; Argane, R.; Tagnit-Hamou, A.; Benzaazoua, M. Concrete containing low-sulphide waste rocks as fine and coarse aggregates: Preliminary assessment of materials. J. Clean. Prod. 2019, 221, 419–429. [Google Scholar] [CrossRef]
- Simonsen, A.M.T.; Solismaa, S.; Hansen, H.K.; Jensen, P.E. Evaluation of mine tailings’ potential as supplementary cementitious materials based on chemical, mineralogical and physical characteristics. Waste Manag. 2020, 102, 710–721. [Google Scholar] [CrossRef] [PubMed]
- Jiang, P.; Chen, Y.W.; Wang, W.S.; Yang, J.D.; Wang, H.Y.; Li, N.; Wang, W. Flexural behavior evaluation and energy dissipation mechanisms of modified iron tailings powder incorporating cement and fibers subjected to freeze-thaw cycles. J. Clean. Prod. 2022, 351, 131527. [Google Scholar] [CrossRef]
- Lu, C.; Yang, H.M.; Wang, J.; Tan, Q.; Fu, L.J. Utilization of iron tailings to prepare high-surface area mesoporous silica materials. Sci. Total Environ. 2020, 736, 139483. [Google Scholar] [CrossRef]
- Lv, X.D.; Lin, Y.Q.; Chen, X.; Shi, Y.; Liang, R.Q.; Wang, R.K.; Peng, Z.L. Environmental impact, durability performance, and interfacial transition zone of iron ore tailings utilized as dam concrete aggregates. J. Clean. Prod. 2021, 292, 126068. [Google Scholar] [CrossRef]
- Wei, Z.Y.; Jia, Y.S.; Wang, S.Q.; Zhou, Z.Y.; Zhang, Z.G. Influence of iron tailing filler on rheological behavior of asphalt mastic. Constr. Build. Mater. 2022, 352, 129047. [Google Scholar] [CrossRef]
- Wei, Z.Y.; Jia, Y.S.; Wang, S.Q.; Li, Z.R.; Li, Y.S. Utilization of iron ore tailing as an alternative mineral filler in asphalt mastic: High-temperature performance and environmental aspects. J. Clean. Prod. 2022, 335, 130318. [Google Scholar] [CrossRef]
- Juan, B.G.; Jose, C.D.C.; Leda, C.L. Effects of iron ore tailing on performance of hot-mix asphalt. J. Mater. Civil Eng. 2022, 34, 04021405. [Google Scholar]
- Cao, L.P.; Zhou, J.; Zhou, T.; Dong, Z.J.; Tian, Z.W. Utilization of iron tailings as aggregates in paving asphalt mixture: A sustainable and eco-friendly solution for mining waste. J. Clean. Prod. 2022, 375, 134126. [Google Scholar] [CrossRef]
- Cao, L.P.; Zhang, X.K.; Yang, C.; Luan, H.; Tian, Z.W. Mechanism of modification of iron tailings asphalt mixture by silane coupling agent based on molecular dynamics. J. Cent. South Univ. T. 2021, 52, 2276–2286. [Google Scholar]
- Margaritis, A.; Jacobs, G.; Pipintakos, G.; Blom, J.; Van, B.W. Fatigue resistance of bituminous mixtures and mortars containing high reclaimed asphalt content. Materials 2020, 13, 5680. [Google Scholar] [CrossRef] [PubMed]
- Ilyin, S.O.; Yadykova, A.Y. Eco-friendly bitumen binders from heavy crude oil and a relaxation approach to predicting their resistance to rutting and cracking. J. Clean. Prod. 2024, 434, 139942. [Google Scholar] [CrossRef]
- Sabouri, M.; Mirzaiyan, D.; Moniri, A. Effectiveness of linear amplitude sweep (LAS) asphalt binder test in predicting asphalt mixtures fatigue performance. Constr. Build. Mater. 2018, 171, 281–290. [Google Scholar] [CrossRef]
- Nan, H.B.; Sun, Y.R.; Chen, J.Y.; Gong, M.Y. Investigation of fatigue performance of asphalt binders containing SBS and CR through TS and LAS tests. Constr. Build. Mater. 2022, 361, 129651. [Google Scholar] [CrossRef]
- Luo, J.; Li, Q.; Ashraf, M.A.; Alizadeh, A.; Raise, A. Experimental investigation of the rheological behaviors of bitumen and stone matrix asphalt mixtures using waste material. Constr. Build. Mater. 2023, 365, 130003. [Google Scholar] [CrossRef]
- Li, F.; Zhao, X.; Zhang, X. Utilizing original and activated coal gangue wastes as alternative mineral fillers in asphalt binder: Perspectives of rheological properties and asphalt-filler interaction ability. Constr. Build. Mater. 2023, 365, 130069. [Google Scholar] [CrossRef]
- Li, F.; Yang, Y.Y.; Wang, L.B. The interfacial interaction between asphalt binder and mineral filler: A comprehensive review on mechanisms, evaluation methods and influence factors. Int. J. Pavement Eng. 2022, 23, 4291–4305. [Google Scholar] [CrossRef]
- Huang, S.; Robertson, E.R. Rheology of thin asphalt films in contact with aggregate. Road Mater. Pavement 2006, 7, 179–199. [Google Scholar] [CrossRef]
- Xu, H.Q.; Zou, Y.X.; Airey, G.; Wang, H.P.; Zhang, H.Y. Interfacial characteristics between bitumen and corrosion products on steel slag surface from molecular scale. Constr. Build. Mater. 2024, 417, 135324. [Google Scholar] [CrossRef]
- Luo, L.; Chu, L.J.; Fwa, T.F. Molecular dynamics analysis of moisture effect on asphalt-aggregate adhesion considering anisotropic mineral surfaces. Appl. Surf. Sci. 2020, 527, 146830. [Google Scholar] [CrossRef]
- Feng, P.N.; Wang, H.N.; Ding, H.Y.; Xiao, J.K.; Hassan, M. Effects of surface texture and IT mineral composition on interfacial behavior between asphalt binder and coarse aggregate. Constr. Build. Mater. 2020, 262, 120869. [Google Scholar] [CrossRef]
- Gao, Y.M.; Zhang, Y.Q.; Gu, F. Impact of minerals and water on bitumen -mineral adhesion and debonding behaviours using molecular dynamics simulations. Constr. Build. Mater. 2018, 171, 214–222. [Google Scholar] [CrossRef]
- JTG E20-2011; Standard Test Methods of Asphalt and Bituminous Mixtures for Highway Engineering. Ministry of Transport of the People’s Republic of China: Beijing, China, 2011.
- JTG E42-2005; Test Methods of Aggregate for Highway Engineering. Ministry of Transport of the People’s Republic of China: Beijing, China, 2005.
- Aashto, M. Standard Specification for Superpave Volumetric Mix Design; American Association of State Highway and Transportation Officials: Washington, DC, USA, 2017. [Google Scholar]
- Behbahani, H.; Hamedi, G.H.; Gilani, V.N.M. Effects of asphalt binder modifying with nano hydrated lime on moisture susceptibility of asphalt mixtures with thermodynamically concepts. Petrol. Sci. Technol. 2020, 38, 297–302. [Google Scholar] [CrossRef]
- Li, D.D.; Greenfield, M.L. Chemical compositions of improved model asphalt systems for molecular simulations. Fuel 2014, 115, 347–356. [Google Scholar] [CrossRef]
- Yang, X.; Fan, Z.P.; Xu, J.Q.; Lin, J.; He, Y.L.; Wang, D.W. Investigation of graphite tailings as a substitute for filler in asphalt mastics. Int. J. Pavement Eng. 2023, 24, 2172578. [Google Scholar] [CrossRef]
- Pasandín, A.R.; Pérez, I. The influence of the mineral filler on the adhesion between aggregates and bitumen. Int. J. Adhes. Adhes. 2015, 58, 53–58. [Google Scholar] [CrossRef]
- Alattieh, S.A.; Alkhateeb, G.G.; Zeiada, W. Evaluation of low-and intermediate-temperature performance of bio oil-modified asphalt binders. Sustainability 2021, 13, 4039. [Google Scholar] [CrossRef]
- Zhang, M.L.; Xiong, K.; Zhang, J.P.; Li, Y.; He, Y.Z.; Pei, J.Z. Evaluation of the rheological properties and aging resistance of asphalt modified by MDI/TDI polyurethane. Constr. Build. Mater. 2024, 411, 134350. [Google Scholar] [CrossRef]
- Wang, S.H.; Zhang, X.; Gao, Y.; Liu, F.; Li, F. Experimental investigation of the rheological properties, interaction, and microstructure characteristics of emulsified asphalt with red mud-based geopolymer. J. Mater. Civil Eng. 2024, 36, 17182. [Google Scholar] [CrossRef]
- Gil-Loaiza, J.; Field, J.P.; White, S.A.; Felix, O. Phytoremediation reduces dust emissions from metal (ioid)-contaminated mine tailings. Environ. Sci. Technol. 2018, 52, 5851–5858. [Google Scholar] [CrossRef] [PubMed]


















| Test Parameter | Result | Technical Requirements |
|---|---|---|
| Density (g/cm3) | 1.032 | - |
| Penetration (25 °C, 0.1 mm) | 62 | 60–80 |
| Softening point (°C) | 48 | >46 |
| Ductility (10 °C, cm) | 75 | >20 |
| Viscosity (60 °C, Pa·s) | 195 | >180 |
| Properties | IT-1 | IT-2 | LF | Technical Requirements |
|---|---|---|---|---|
| Density (g/cm3) | 2.95 | 3.02 | 2.77 | >2.5 |
| Hydrophilic coefficient (%) | 0.79 | 0.82 | 0.22 | <1 |
| Water content (%) | 1.2 | 1.5 | 0.21 | <1 |
| Asphalt Mastic Type | Damage Model Parameter | Complex Fatigue Parameter | Nf@5% | |||||
|---|---|---|---|---|---|---|---|---|
| C0 | C1 | C2 | α | A | B | |||
| LAM | average | 1 | 0.1575 | 0.3335 | 2.192 | 1.34 × 107 | −4.384 | 11,579 |
| COV | / | 3.1% | 1.9% | 0.1% | 10.8% | −0.1% | 9.9% | |
| IAM-1 | average | 1 | 0.168 | 0.325 | 2.1685 | 1.03 × 107 | −4.336 | 9635 |
| COV | / | 2.5% | 1.3% | 0.2% | 2.4% | −0.1% | 3.4% | |
| IAM-2 | average | 1 | 0.1615 | 0.331 | 2.167 | 1.09 × 107 | −4.334 | 10,224 |
| COV | / | 0.4% | 0.4% | 0.1% | 5.1% | −0.1% | 5.8% | |
| Mineral Type | Etotal/ (kcal·mol−1) | Easphalt/ (kcal·mol−1) | Eaggragate/ (kcal·mol−1) | A/Å2 | γ/ (kcal·mol−1·Å−2) |
|---|---|---|---|---|---|
| IT | −189,665 | 16,310 | −205,747 | 1295 | −0.176 |
| LF | −939,906 | 11,507 | −945,939 | 1288 | −4.26 |
| Sample Types | Fatigue Life | Interfacial Adhesion Energy | Interaction Ability | Complex Modulus |
|---|---|---|---|---|
| LAM | 129,399 | 1.879 | 1.37702 | 4.4564 |
| IAM-1 | 88,944 | 0.176 | 1.85086 | 5.85565 |
| IAM-2 | 114,229 | 0.176 | 2.35454 | 7.80645 |
| Sample Types | Fatigue Life | Interfacial Adhesion Energy | Interaction Ability | Complex Modulus |
|---|---|---|---|---|
| LAM | 1 | 1 | 1 | 1 |
| IAM-1 | 0.68736 | 0.09419 | 1.34410 | 1.31396 |
| IAM-2 | 0.88276 | 0.09419 | 1.70988 | 1.75172 |
| Sample Types | Interfacial Adhesion Energy | Interaction Ability | Complex Modulus |
|---|---|---|---|
| LAM | 0 | 0 | 0 |
| IAM-1 | 0.59316 | 0.65674 | 0.62662 |
| IAM-2 | 0.78856 | 0.82711 | 0.86897 |
| Sample Types | Interfacial Adhesion Energy | Interaction Ability | Complex Modulus |
|---|---|---|---|
| LAM | 1 | 1 | 1 |
| IAM-1 | 0.422 | 0.398 | 0.409 |
| IAM-2 | 0.355 | 0.344 | 0.339 |
| Correlation degree | 0.592 | 0.580 | 0.582 |
Disclaimer/Publisher’s Note: The statements, opinions and data contained in all publications are solely those of the individual author(s) and contributor(s) and not of MDPI and/or the editor(s). MDPI and/or the editor(s) disclaim responsibility for any injury to people or property resulting from any ideas, methods, instructions or products referred to in the content. |
© 2024 by the authors. Licensee MDPI, Basel, Switzerland. This article is an open access article distributed under the terms and conditions of the Creative Commons Attribution (CC BY) license (https://creativecommons.org/licenses/by/4.0/).
Share and Cite
Cui, Y.; Si, C.; Li, S.; Jia, Y.; Guo, B. Iron Tailings as Mineral Fillers and Their Effect on the Fatigue Performance of Asphalt Mastic. Materials 2024, 17, 2927. https://doi.org/10.3390/ma17122927
Cui Y, Si C, Li S, Jia Y, Guo B. Iron Tailings as Mineral Fillers and Their Effect on the Fatigue Performance of Asphalt Mastic. Materials. 2024; 17(12):2927. https://doi.org/10.3390/ma17122927
Chicago/Turabian StyleCui, Yaning, Chundi Si, Song Li, Yanshun Jia, and Bin Guo. 2024. "Iron Tailings as Mineral Fillers and Their Effect on the Fatigue Performance of Asphalt Mastic" Materials 17, no. 12: 2927. https://doi.org/10.3390/ma17122927
APA StyleCui, Y., Si, C., Li, S., Jia, Y., & Guo, B. (2024). Iron Tailings as Mineral Fillers and Their Effect on the Fatigue Performance of Asphalt Mastic. Materials, 17(12), 2927. https://doi.org/10.3390/ma17122927
