Numerical Simulation of Segregation in Slabs under Different Secondary Cooling Electromagnetic Stirring Modes
Abstract
1. Introduction
2. Establishment of a Multi-Field Coupling Model
2.1. Model Assumptions
2.2. Governing Equations
- (1)
- Maxwell’s equations [17]:
- (2)
- Continuity equation:
- (3)
- Momentum equation:
- (4)
- Low Reynolds number k-ε turbulence two-equation model [19]:
- (5)
- Energy equation:
- (6)
- Solutes transport equation [20]:
2.3. The Boundary Conditions
2.4. Simulation Strategy and Process Parameters
3. Model Validation
4. Results and Discussion
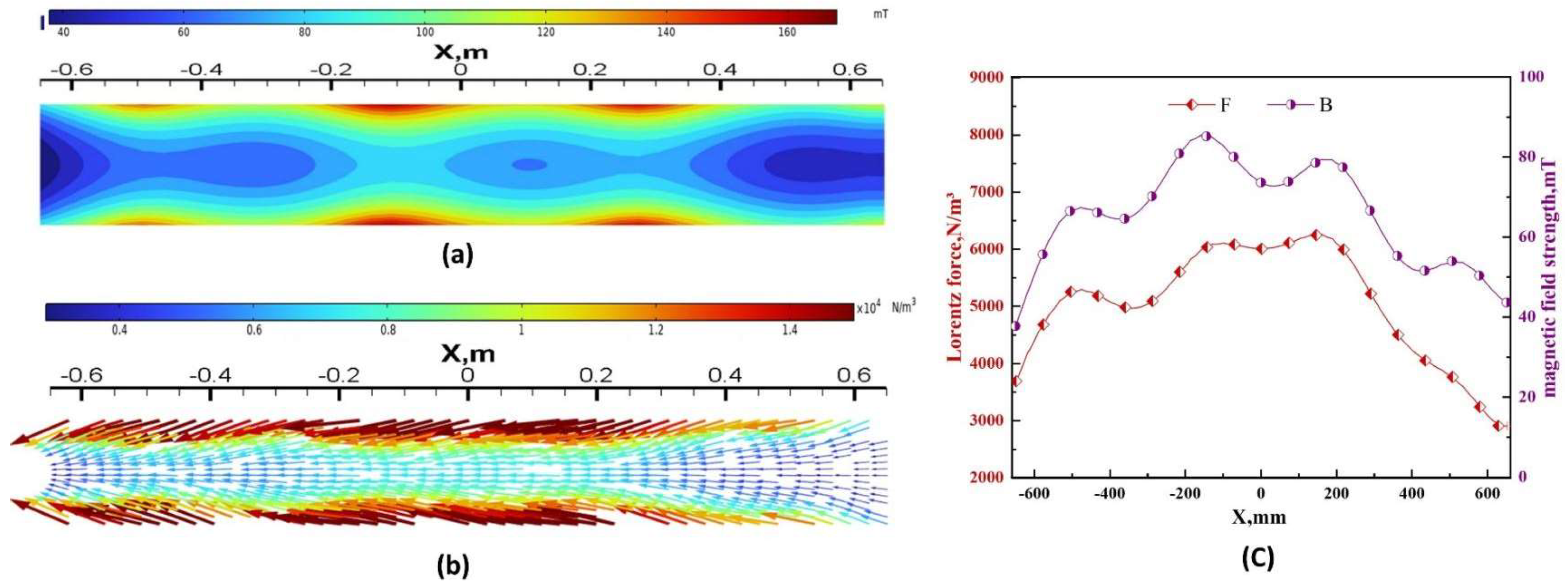
4.1. Lorentz Force
4.2. Flow Field
4.3. Carbon Element Segregation
5. Conclusions
- (1)
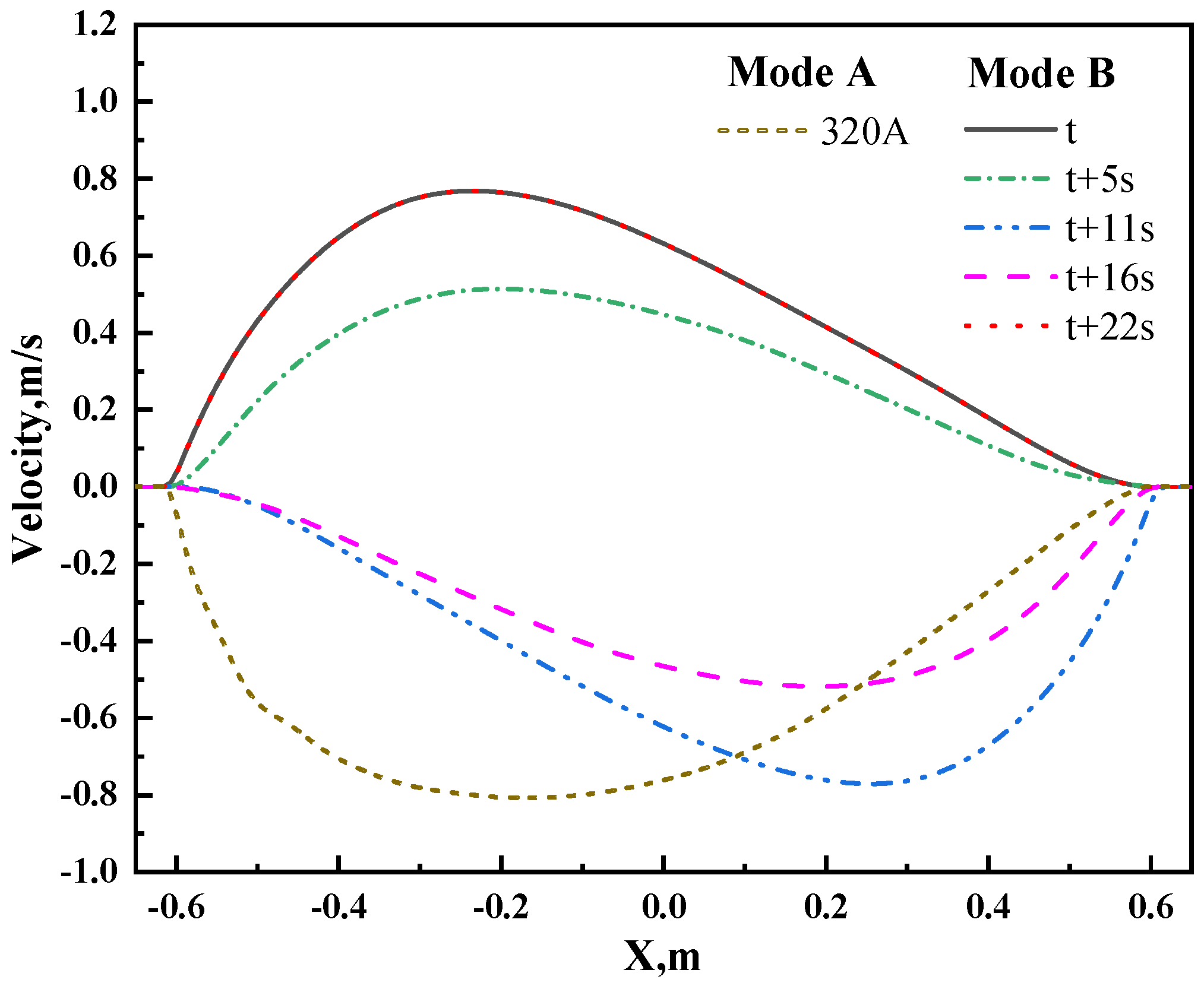
- Flow field simulation studies under different stirring modes indicate that in the continuous mode, the lateral velocity of the liquid phase beneath the first and second pairs of rolls is opposite and significantly different. With an increasing current, this difference becomes more pronounced, with a maximum absolute difference in lateral velocity of 0.2 m/s and 0.3 m/s at 160 A and 320 A, respectively. An asymmetry in the internal flow field of the ingot under continuous stirring is observed. In the alternating mode, the maximum lateral velocity of the liquid core beneath the first pair of rolls is approximately equal to that beneath the second pair of rolls, with a maximum absolute difference of approximately 0.05 m/s, indicating a basic symmetry in the lateral velocity of the liquid core beneath the two pairs of rolls.
- (2)
- Simulation studies on the effects of carbon segregation under different stirring modes show that in the continuous mode, the fluctuation in carbon segregation along the centerline of the slab increases with increasing current. Between X = −0.52 m and X = 0.52 m, at 0 A, the average carbon segregation index along the centerline is 1.233, with a difference of 0.026 between the maximum and minimum values, while at 320 A, the average increases to 1.247, with a difference of 0.051 between the maximum and minimum values, indicating an increase in fluctuation. In the alternating mode, the improvement is more significant with an increasing current. Between X = −0.52 m and X = 0.52 m, at 160 A, the average carbon segregation index along the centerline is 1.232, with a difference of 0.0302 between the maximum and minimum values, while at 320 A, the average decreases to 1.227, with a difference of 0.0311 between the maximum and minimum values, indicating minimal fluctuation. Therefore, adopting alternate stirring is advantageous for reducing the average carbon segregation index and promoting carbon homogenization compared to continuous stirring.
Author Contributions
Funding
Institutional Review Board Statement
Informed Consent Statement
Data Availability Statement
Conflicts of Interest
References
- Liu, Y.; Hao, W.; Ren, L. Research Progress on Continuous Casting Technology. Jiangxi Metall. 2023, 43, 484–493. [Google Scholar]
- Wang, F. Research on the Preparation Technology of Nickel-Based Corrosion-Resistant Alloy Composite Electromagnetic Continuous Casting. Ph.D. Thesis, Northeastern University, Shenyang, China, 2016. [Google Scholar]
- Wang, P.; Wu, W.; Lei, H. Research on Two-Stage Electromagnetic Stirring Process of Wear-Resistant Steel Slab Continuous Casting. Ind. Heat. 2021, 50, 32–34+38. [Google Scholar]
- Liu, Y.; Wang, X. Influence of Electromagnetic Stirring in the Secondary Cooling Zone on Center Segregation in Continuous Casting Slabs. J. Univ. Sci. Technol. Beijing 2007, 29, 582–585+590. [Google Scholar]
- Dong, Z.; Liu, P.; Jia, S.; Han, C.; Jiang, H. Application of Two-Stage Roller-Type Electromagnetic Stirring in Baosteel Slab Continuous Casting Machine. Spec. Steel 2011, 32, 34–35. [Google Scholar]
- Xie, S.; Xiao, A.; Nie, C.; Zhou, J.; Sui, Y.; Liu, P. Effect of Two-Stage Roller-Type Electromagnetic Stirring on Microstructure and Properties of High-Strength Steel. Contin. Cast. 2020, 45, 46–50+55. [Google Scholar]
- Li, X.; Wang, M.; Bao, Y.; Gong, J.; Wang, X.; Pang, W. Solidification Structure and Segregation of High Magnetic Induction Grain-Oriented Silicon Steel. Met. Mater. Int. 2019, 25, 1586–1592. [Google Scholar] [CrossRef]
- Yao, C.; Wang, M.; Ni, Y.; Gong, J.; Xing, L.; Zhang, H.; Bao, Y. Effects of Secondary Cooling Segment Electromagnetic Stirring on Solidification Behavior and Composition Distribution in High-Strength Steel 22MnB5. JOM 2022, 74, 4823–4830. [Google Scholar] [CrossRef]
- Jiang, D.; Zhu, M.; Zhang, L. Numerical simulation of solidification behavior and solute transport in slab continuous casting with S-EMS. Metals 2019, 9, 452. [Google Scholar] [CrossRef]
- Ma, W.; Liu, G.; Li, H. Influence of Electromagnetic Stirring in the Secondary Cooling Zone on the Internal Quality of Slabs. In Proceedings of the 3rd National Conference on Electromagnetic Metallurgy and Strong Magnetic Field Materials Science, Jiaozuo, China, 15–18 August 2016; p. 5. [Google Scholar]
- Mei, M.; Chen, M.; Yang, X.; Xuan, M. Influence of Electromagnetic Stirring Modes on Flow Characteristics of Steel in the Crystallizer of Large Slabs. J. Mater. Metall. 2023, 22, 532–539. [Google Scholar]
- Liu, C.; Jin, B.G. The Effect of Electromagnetic Stirring on Steel Strand Quality. Adv. Mater. Res. 2012, 482, 1699–1702. [Google Scholar] [CrossRef]
- Wang, C.; Liu, Z.; Li, B. Effect of Electromagnetic Stirring Reversal Cycle in the Secondary Cooling Zone on Center Equiaxed Crystal Rate of Thin Slabs. Contin. Cast. 2023, 42, 64–70. [Google Scholar]
- Davidson, P.A. Magnetohydrodynamics in materials processing. Annu. Rev. 1999, 31, 273–300. [Google Scholar] [CrossRef]
- Aboutalebi, M.R.; Hasan, M.; Guthrie, R. Coupled turbulent flow, heat, and solute transport in continuous casting processes. Metall. Mater. Trans. B 1995, 26, 731–744. [Google Scholar] [CrossRef]
- Zhang, W.; Luo, S.; Chen, Y.; Wang, W.; Zhu, M.J.M. Numerical simulation of fluid flow, heat transfer, species transfer, and solidification in billet continuous casting mold with M-EMS. Metals 2019, 9, 66. [Google Scholar] [CrossRef]
- Li, Y.; Deng, A.; Li, H.; Yang, B.; Wang, E.J.M. Numerical study on flow, temperature, and concentration distribution features of combined gas and bottom-electromagnetic stirring in a ladle. Metals 2018, 8, 76. [Google Scholar] [CrossRef]
- Zhang, H.; Nagaumi, H.; Zuo, Y.; Cui, J. Coupled modeling of electromagnetic field, fluid flow, heat transfer and solidification during low frequency electromagnetic casting of 7XXX aluminum alloys: Part 1: Development of a mathematical model and comparison with experimental results. Mater. Sci. Eng. A 2007, 448, 189–203. [Google Scholar] [CrossRef]
- Aboutalebi, M.R.; Guthrie, R.I.L.; Seyedein, S.H. Mathematical modeling of coupled turbulent flow and solidification in a single belt caster with electromagnetic brake. Appl. Math. Model. 2007, 31, 1671–1689. [Google Scholar] [CrossRef]
- Barna, M.; Javurek, M.; Wimmer, P. Numeric Simulation of the Steel Flow in a Slab Caster with a Box-Type Electromagnetic Stirrer. Steel Res. Int. 2020, 91, 2000067. [Google Scholar] [CrossRef]
- Song, X.; Cheng, S.; Cheng, Z. Mathematical Modelling of Billet Casting with Secondary Cooling Zone Electromagnetic Stirrer. Ironmak. Steelmak. 2013, 40, 189–198. [Google Scholar] [CrossRef]
- Yang, H.; Zhang, X.; Deng, K.; Li, W.; Gan, Y.; Zhao, L. Mathematical simulation on coupled flow, heat, and solute transport in slab continuous casting process. Metall. Mater. Trans. B 1998, 29, 1345–1356. [Google Scholar] [CrossRef]
- Liu, D.; Zhang, G.; Zeng, J.; Wu, C. Investigation of Solidification Heat Transfer in Slab Continuous Casting Process Based on Different Roll Contact Calculation Methods. Materials 2024, 17, 482. [Google Scholar] [CrossRef]
- Li, S.; Han, Z.; Zhang, J.J.J. Numerical modeling of the macrosegregation improvement in continuous casting blooms by using F-EMS. Jom 2020, 72, 4117–4126. [Google Scholar] [CrossRef]
- Nozaki, T.; Matsuno, J.-I.; Murata, K.; Ooi, H.; Kodama. A secondary cooling pattern for preventing surface cracks of continuous casting slab. ISIJ 1978, 18, 330–338. [Google Scholar] [CrossRef]













| C | Si | Mn | P | S |
|---|---|---|---|---|
| 0.17 | 0.23 | 0.55 | 0.013 | 0.007 |
| Items | Unit | Value |
|---|---|---|
| Permeability of vacuum | H·m−1 | 1.257 × 10−6 |
| Relative magnetic permeability of steel, coil, and air | / | 1 |
| Relative magnetic permeability of iron core | / | 1000 |
| Electrical conductivity of steel | S·m−1 | 7.14 × 10⁵ |
| Specific heat capacity of steel | J·kg−1·K | 680 |
| Thermal conductivity of steel | W·m−1·K−1 | 29 |
| Viscosity of steel | kg·m−1·s−1 | 0.0055 |
| Density of steel | kg·m−3 | 7020 |
| Solidus temperature | K | 1763 |
| Liquidus temperature | K | 1802 |
| Latent heat of solidification | J·kg−1 | 270,000 |
| Coefficient of thermal expansion | K−1 | 1 × 10−4 |
| Equilibrium partition coefficient of C | / | 0.3 |
| Secondary Cooling Zone | Length (mm) | Heat Transfer Coefficient (Wm−2k−1) |
|---|---|---|
| Mold | 800 | 1200 |
| Zone 1 | 405 | 540 |
| Zone 2 | 555 | 763 |
| Zone 3 | 800 | 629 |
| Zone 4 | 1730 | 557 |
| Zone 5 | 1927 | 467 |
| Zone 6 | 3854 | 400 |
| Zone 7 | 5806 | 306 |
| Zone 8 | 4485 | 182 |
| Mode Number | Roller Operating Mode | Frequency | Period | Current (A) |
|---|---|---|---|---|
| A | Continuous Stirring | f = 5 Hz | / | 320,240,160 |
| B | Alternate Stirring | f = 5 Hz | T = 22 s | 320,240,160 |
Disclaimer/Publisher’s Note: The statements, opinions and data contained in all publications are solely those of the individual author(s) and contributor(s) and not of MDPI and/or the editor(s). MDPI and/or the editor(s) disclaim responsibility for any injury to people or property resulting from any ideas, methods, instructions or products referred to in the content. |
© 2024 by the authors. Licensee MDPI, Basel, Switzerland. This article is an open access article distributed under the terms and conditions of the Creative Commons Attribution (CC BY) license (https://creativecommons.org/licenses/by/4.0/).
Share and Cite
Liu, D.; Zhang, G.; Zeng, J.; Xie, X. Numerical Simulation of Segregation in Slabs under Different Secondary Cooling Electromagnetic Stirring Modes. Materials 2024, 17, 2721. https://doi.org/10.3390/ma17112721
Liu D, Zhang G, Zeng J, Xie X. Numerical Simulation of Segregation in Slabs under Different Secondary Cooling Electromagnetic Stirring Modes. Materials. 2024; 17(11):2721. https://doi.org/10.3390/ma17112721
Chicago/Turabian StyleLiu, Daiwei, Guifang Zhang, Jianhua Zeng, and Xin Xie. 2024. "Numerical Simulation of Segregation in Slabs under Different Secondary Cooling Electromagnetic Stirring Modes" Materials 17, no. 11: 2721. https://doi.org/10.3390/ma17112721
APA StyleLiu, D., Zhang, G., Zeng, J., & Xie, X. (2024). Numerical Simulation of Segregation in Slabs under Different Secondary Cooling Electromagnetic Stirring Modes. Materials, 17(11), 2721. https://doi.org/10.3390/ma17112721
