Effect of SARA Fractions on Fatigue Properties of Hard Asphalt
Abstract
1. Introduction
2. Materials and Experiments
2.1. Materials
2.2. Experiments
2.2.1. Dynamic Shear Rheological (DSR) Tests
2.2.2. Time Sweep (TS) Test
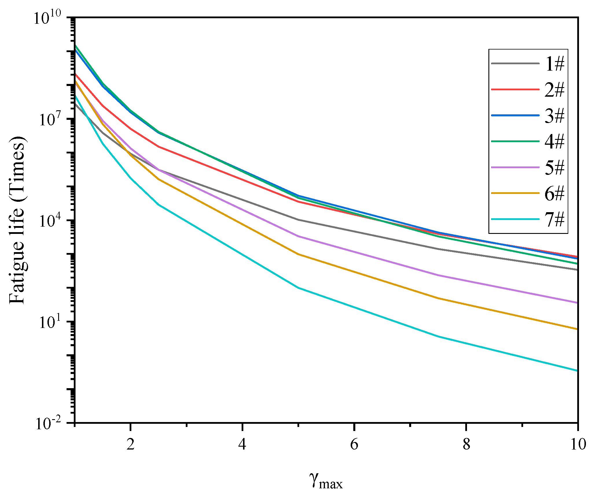
2.2.3. Linear Amplitude Sweep (LAS) Test
3. Results and Discussion
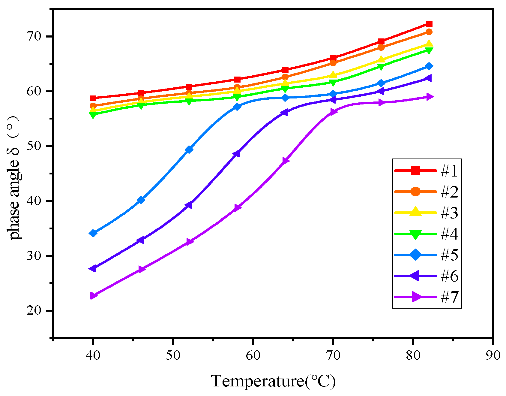
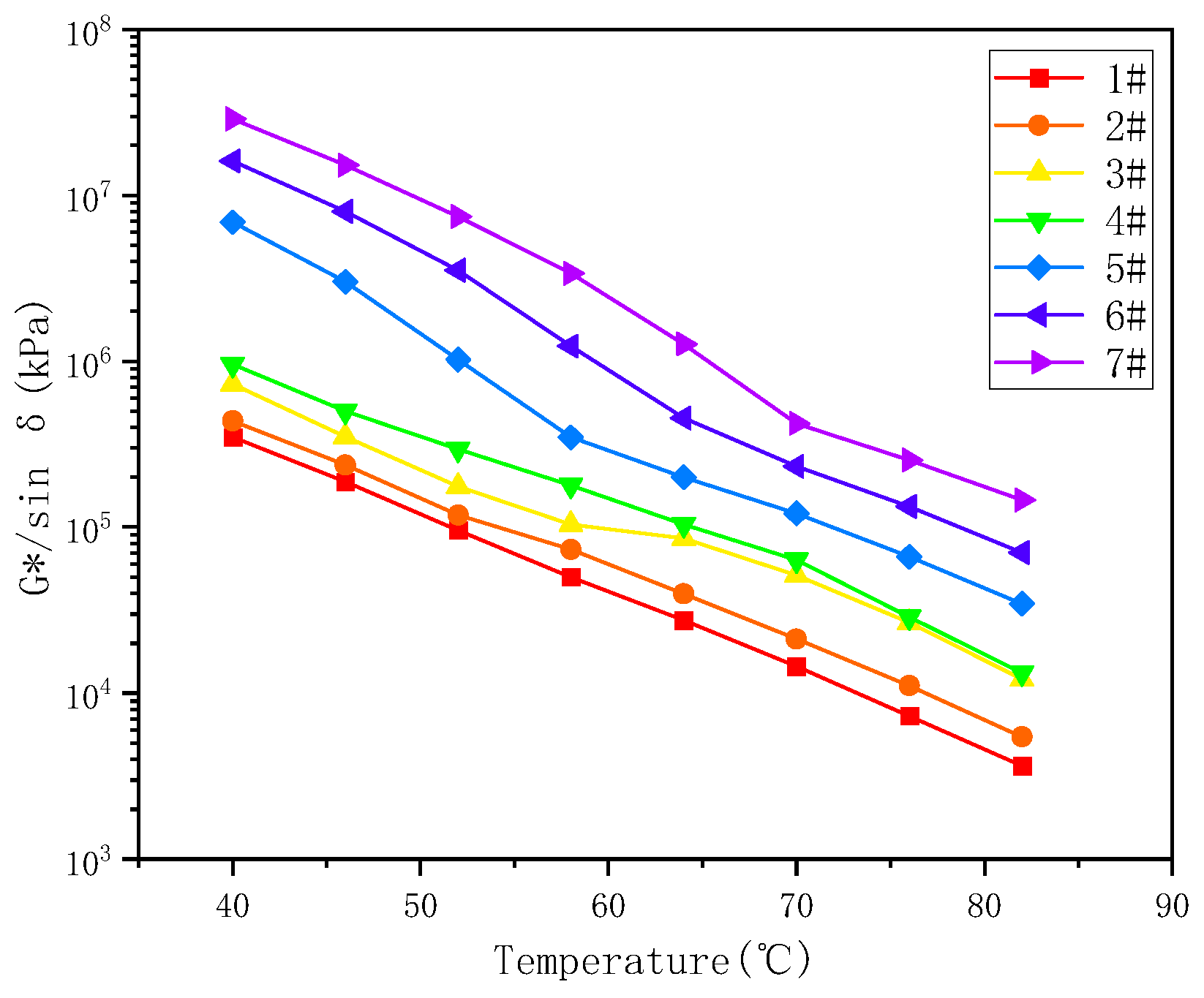
3.1. Rheological Properties Test Results
3.2. Time Sweep (TS) Test Results
3.3. LAS Test Results
4. Conclusions
- (1)
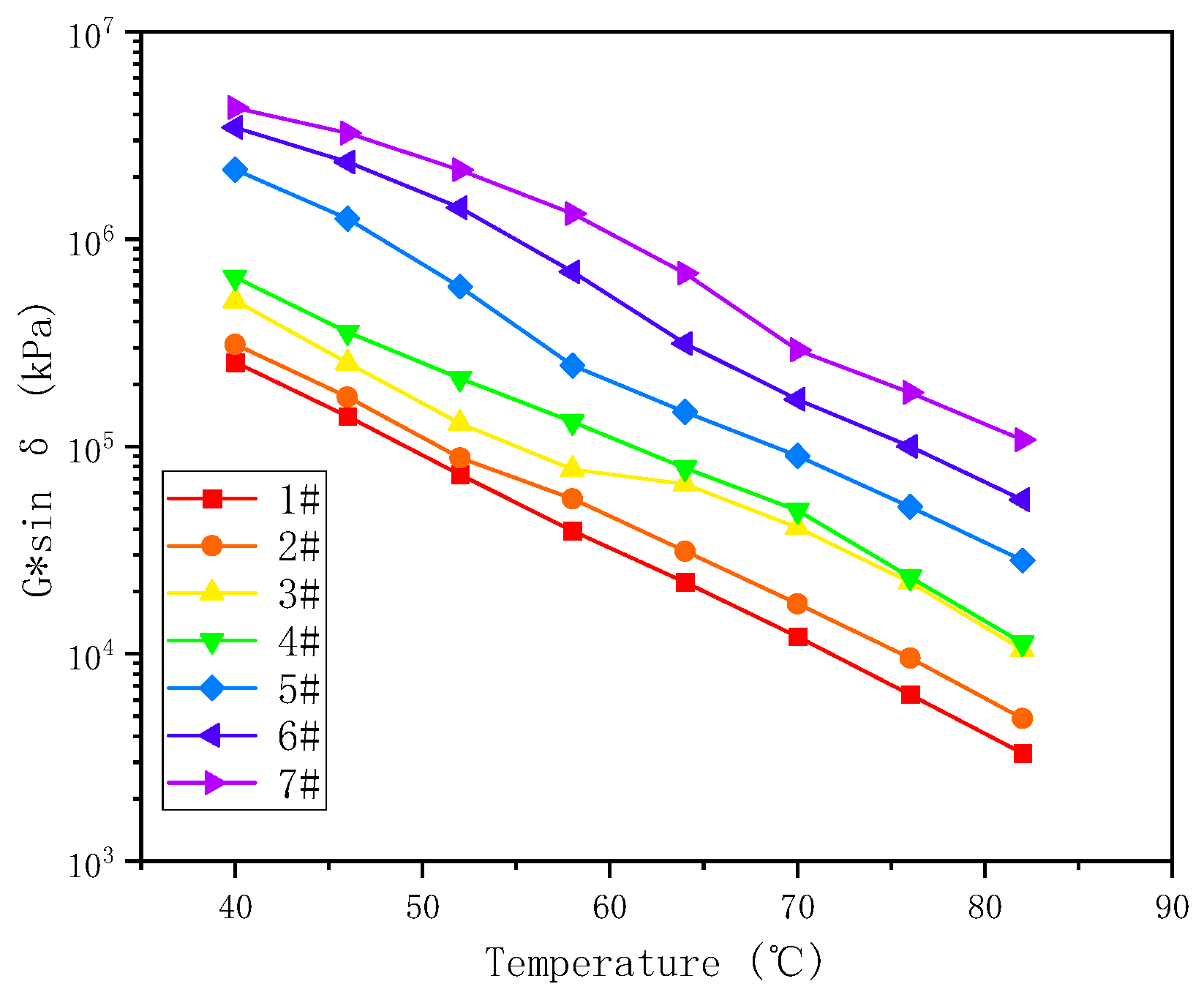
- G*sinδ increases with the increasing number of resins and asphaltenes, which would reduce the anti-fatigue performances of the binder. This test reflects only a small strain and a limited number of loading cycles in the linear viscoelastic range, and larger strains and more test times must be adopted in order to better simulate the actual road conditions.
- (2)
- For the same test samples, different test stresses will lead to different fatigue conclusions, and, when using the time sweep test, selecting the appropriate test stress or strain for different asphalt samples is key to evaluating the fatigue performance.
- (3)
- The LAS test can fully reflect the actual stress state of asphalt binder under repeated loads, and effectively evaluate the fatigue performance of hard asphalt under different loads. When there is a significant difference in the order of magnitude of damage between different samples, the physical index analysis of DC curves may be distorted. Attention should be paid to the order of magnitude of cumulative damage when using DC curves to evaluate the fatigue damage.
- (4)
- There is a good correlation between fatigue life and strain sensitivity as determined by linear regression analysis. To improve the fatigue characteristics of hard asphalt, it is necessary to adjust the proportion composition of SARA fractions reasonably to reduce the strain sensitivity of the colloidal structure.
Author Contributions
Funding
Institutional Review Board Statement
Informed Consent Statement
Data Availability Statement
Acknowledgments
Conflicts of Interest
References
- Luo, X.; Luo, R.; Lytton, R.L. Characterization of Asphalt Mixtures Using Controlled-Strain Repeated Direct Tension Test. J. Mater. Civ. Eng. 2013, 25, 194–207. [Google Scholar] [CrossRef]
- Luo, X.; Luo, R.; Lytton, R.L. Mechanistic modeling of healing in asphalt mixtures using internal stress. Int. J. Solids Struct. 2015, 60–61, 35–47. [Google Scholar] [CrossRef]
- Ameri, M.; Nowbakht, S.; Molayem, M.; Mirabimoghaddam, M.H. A study on fatigue modeling of hot mix asphalt mixtures based on the viscoelastic continuum damage properties of asphalt binder. Constr. Build. Mater. 2016, 106, 243–252. [Google Scholar] [CrossRef]
- Wang, C.; Zhang, H.; Castorena, C.; Zhang, J.; Kim, Y.R. Identifying fatigue failure in asphalt binder time sweep tests. Constr. Build. Mater. 2016, 121, 535–546. [Google Scholar] [CrossRef]
- Bahia, H.U.; Hanson, D.I.; Zeng, M.; Zhai, H.; Khatri, M.A.; Anderson, R.M. Characterization of Modified Asphalt Binders in Superpave Mix Design; NCHRP Report, Transportation Research Board; National Research Council: Washington, DC, USA, 2001. [Google Scholar]
- Yan, C.; Yuan, L.; Yu, X.; Ji, S.; Zhou, Z. Characterizing the fatigue resistance of multiple modified asphalts using time sweep test, LAS test and elastic recovery test. Constr. Build. Mater. 2022, 322, 125806. [Google Scholar] [CrossRef]
- NF-P-98-140; Asphalt—Road Base Courses: Road Base High Modulus Asphalt Concrete—Definition—Classification—Characteristics—Fabrication—Laying. AFNOR: La Défense, France, 1999. Available online: https://www.boutique.afnor.org/en-gb/standard/nf-p98140/asphalt-road-base-courses-road-base-high-modulus-asphalt-concrete-definitio/fa049258/16631 (accessed on 28 May 2024).
- Botes, B.H. Characterisation of High Modulus Asphalt (EME) Mixes, focussing on Flexural Response and Fatigue. Ph.D. Thesis, Department of Civil Engineering, University of Stellenbosch, Stellenbosch, South Africa, 2016; p. 140. [Google Scholar]
- Li, G.; Chen, Z.; Tan, Y.; Cong, X.; Dong, Y.; Xiao, S. Experimental and molecular dynamics simulation of hard asphalt microstructure. Constr. Build. Mater. 2023, 377, 131025. [Google Scholar] [CrossRef]
- Dias, M.; Petho, L.; Denneman, E.; Beecroft, A. High Modulus High Fatigue Resistance Asphalt (EME2) Technology Transfer: Final Report. 2017. Available online: https://trid.trb.org/view/1480565 (accessed on 28 May 2024).
- Petho, L.; Bryant, P. High modulus asphalt (EME2) pavement design in Queensland. In Proceedings of the 2015 AAPA International Flexible Pavements Conference, Gold Coast, QLD, Australia, 13–16 September 2015. [Google Scholar]
- Zhou, F.J.; Mogawer, W.; Li, H.S.; Andriescu, A.; Copeland, A. Evaluation of Fatigue Tests for Characterizing Asphalt Binders. J. Mater. Civ. Eng. 2013, 25, 610–617. [Google Scholar] [CrossRef]
- Bahia, H.U.; Zhai, H.; Zeng, M.; Hu, Y.; Turner, P. Development of binder specification parameters based on characterization of damage behavior. J. Assoc. Asphalt Paving Technol. 2001, 70, 442–470. [Google Scholar]
- Bahia, H.U.; Zhai, H.; Bonnetti, K.; Kose, S. Non-linear viscoelastic and fatigue properties of asphalt binders. J. Assoc. Asphalt Paving Technol. 1999, 68, 1–34. [Google Scholar]
- Masad, E.; Castelo Branco, V.T.F.; Little, D.N.; Lytton, R. A unified method for the analysis of controlled-strain and controlled-stress fatigue testing. Int. J. Pavement Eng. 2008, 9, 233–246. [Google Scholar] [CrossRef]
- Daniel, J.S.; Kim, Y.R. Development of a simplified fatigue test and analysis procedure using a viscoelastic, continuum damage model. J. Assoc. Asph. Paving Technol. 2002, 71, 619–650. [Google Scholar]
- Bhasin, A.; Castelo Branco, V.T.; Masad, E.; Little Dallas, N. Quantitative Comparison of Energy Methods to Characterize Fatigue in Asphalt Materials. J. Mater. Civ. Eng. 2009, 21, 83–92. [Google Scholar] [CrossRef]
- Kim, Y.R.; Lee, H.J.; Little, D.N. Fatigue characterization of asphalt concrete using viscoelasticity and continuum damage theory. J. Assoc. Asph. Paving Technol. 1997, 66, 520–569. [Google Scholar]
- Hicks, R.G.; Finn, F.N.; Monismith, C.L.; Leahy, R.B. Validation of SHRP binder specification through mix testing. J. Assoc. Asph. Paving Technol. 1993, 62, 565–614. [Google Scholar]
- Yan, J.; Leng, Z.; Ling, C.; Zhu, J.; Zhou, L. Characterization and comparison of high-modulus asphalt mixtures produced with different methods. Constr. Build. Mater. 2020, 237, 117594. [Google Scholar] [CrossRef]
- Lei, Z.; Bahia, H.; Yi-qiu, T.; Ling, C. Effects of refined waste and bio-based oil modifiers on rheological properties of asphalt binders. Constr. Build. Mater. 2017, 148, 504–511. [Google Scholar] [CrossRef]
- Ling, C.; Arshadi, A.; Bahia, H. Importance of binder modification type and aggregate structure on rutting resistance of asphalt mixtures using image-based multi-scale modelling. Road Mater. Pavement Des. 2017, 18, 785–799. [Google Scholar] [CrossRef]
- Ogbo, C.; Kaseer, F.; Oshone, M.; Sias, J.E.; Martin, A.E. Mixture-based rheological evaluation tool for cracking in asphalt pavements. Road Mater. Pavement Des. 2019, 20 (Suppl. S1), S299–S314. [Google Scholar] [CrossRef]
- Zhou, L.; Huang, W.; Zhang, Y.; Lv, Q.; Yan, C.; Jiao, Y. Evaluation of the adhesion and healing properties of modified asphalt binders. Constr. Build. Mater. 2020, 251, 119026. [Google Scholar] [CrossRef]
- Hintz, C.; Velasquez, R.; Johnson, C.; Bahia, H. Modification and Validation of Linear Amplitude Sweep Test for Binder Fatigue Specification. Transp. Res. Rec. J. Transp. Res. Board 2011, 2207, 99–106. [Google Scholar] [CrossRef]
- Estimating Damage Tolerance of Asphalt Binders Using the Linear Amplitude Sweep. AASHTO: Washington, DC, USA, 2014. Available online: https://uwmarc.wisc.edu/files/linearamplitudesweep/AASHTO-TP101-LAS-May-2013-v2.pdf (accessed on 28 May 2024).
- Mansourian, A.; Goahri, A.R.; Khosrowshahi, F.K. Performance evaluation of asphalt binder modified with EVA/HDPE/nanoclay based on linear and non-linear viscoelastic behaviors. Constr. Build. Mater. 2019, 208, 554–563. [Google Scholar] [CrossRef]
- Saboo, N. New Damage Parameter for Fatigue Analysis of Asphalt Binders in Linear Amplitude Sweep Test. J. Mater. Civ. Eng. 2020, 32, 04020126. [Google Scholar] [CrossRef]
- Zou, G.; Zhuo, R.; Sun, X.; Luo, J. Effects of crude oil on the performances of hard asphalt and its mixtures. Int. J. Pavement Eng. 2020, 23, 1584–1593. [Google Scholar] [CrossRef]
- Quan, X.; Chen, C.; Ma, T.; Zhang, Y. Performance evaluation of rapeseed oil-based derivatives modified hard asphalt binders: Towards greener and more sustainable asphalt additives. Constr. Build. Mater. 2024, 411, 134657. [Google Scholar] [CrossRef]
- Qin, R.J.; Li, Y.Z. Study the test methods and pavement performance indexes about hard asphalt binder material. In Proceedings of the 2009 International Conference on Measuring Technology and Mechatronics Automation, Zhangjiajie, China, 11–12 April 2009; IEEE: Piscataway, NJ, USA, 2009; Volume 3, pp. 607–610. [Google Scholar]
- Chen, Y.; Wang, H.N.; Xu, S.B.; You, Z.P. High modulus asphalt concrete: A state-of-the-art review. Constr. Build. Mater. 2020, 237, 117653. [Google Scholar] [CrossRef]
- Khiavi, A.K.; Naseri, S. The effect of bitumen types on the performance of high-modulus asphalt mixtures. Pet. Sci. Technol. 2019, 37, 1223–1230. [Google Scholar] [CrossRef]
- Zhang, Y.N.; Cheng, H.L.; Sun, L.J.; Liu, L.P.; Hu, Y. Determination of volumetric criteria for designing hard asphalt mixture. Constr. Build. Mater. 2021, 278, 122243. [Google Scholar] [CrossRef]
- Yadykova, A.Y.; Strelets, L.A.; Ilyin, S.O. Infrared Spectral Classification of Natural Bitumens for Their Rheological and Thermophysical Characterization. Molecules 2023, 28, 2065. [Google Scholar] [CrossRef]
- Yadykova, A.Y.; Ilyin, S.O. Compatibility and rheology of bio-oil blends with light and heavy crude oils. Fuel 2022, 314, 122761. [Google Scholar] [CrossRef]
- Mirwald, J.; Werkovits, S.; Camargo, I.; Maschauer, D.; Hofko, B.; Grothe, H. Investigating bitumen long-term-ageing in the laboratory by spectroscopic analysis of the SARA fractions. Constr. Build. Mater. 2020, 258, 119577. [Google Scholar] [CrossRef]
- Mikhailenko, P.; Baaj, H. Comparison of Chemical and Microstructural Properties of Virgin and Reclaimed Asphalt Pavement Binders and Their Saturate, Aromatic, Resin, and Asphaltene Fractions. Energy Fuels 2019, 33, 2633–2640. [Google Scholar] [CrossRef]
- Koots, J.; Speight, J.G. Relation of petroleum resins to asphaltenes. Fuel 1975, 54, 179–184. [Google Scholar] [CrossRef]
- JTG E20-2011; Standard Test Methods of Bitumen and Bituminous Mixtures for Highway Engineering. Ministry of Transport of China: Beijing, China, 2011.
- ASTM D6373; Standard Specification for Performance-Graded Asphalt Binder. ASTM Standard: West Conshohocken, PA, USA, 2023.
- Hamid, A.; Baaj, H.; El-Hakim, M. Rutting Behaviour of Geopolymer and Styrene Butadiene Styrene-Modified Asphalt Binder. Polymers 2022, 14, 2780. [Google Scholar] [CrossRef]
- Li, H.; Luo, X.; Zhang, Y.Q.; Xu, R.Q. Stochastic fatigue damage in viscoelastic materials using probabilistic pseudo J-integral Paris’ law. Eng. Fract. Mech. 2021, 245, 107566. [Google Scholar] [CrossRef]
- Elkashef, M.; Williams, R.C. Improving fatigue and low temperature performance of 100% RAP mixtures using a soybean-derived rejuvenator. Constr. Build. Mater. 2017, 151, 345–352. [Google Scholar] [CrossRef]
- Gu, H.; Zhu, Y.; Zhu, Y.; Chu, L.; Peng, Q.; Chen, Q. Rheological Properties and Microscopic Characterization of Delayed Decay-Modified Asphalt Based on UV Ageing. Adv. Mater. Sci. Eng. 2023, 2023, 9655742. [Google Scholar] [CrossRef]
- Baditha, A.K.; Muppireddy, A.R.; Kusam, S.R. A Study on Chemical Composition, Colloidal Stability, and Rheological Properties of Ethylene Vinyl Acetate–Modified Binders. J. Mater. Civ. Eng. 2022, 34, 04022353. [Google Scholar] [CrossRef]
- Sulaimon, A.A.; A/L Rajan, H.; Qasim, A.; Christiana, N.P.; Murungi, P.I. Developing new correlations for asphaltene deposition involving SARA fractions and colloidal instability index. J. Pet. Sci. Eng. 2023, 220, 111143. [Google Scholar] [CrossRef]
- Stankiewicz, A.B.; Flannery, M.D.; Fuex, N.A. Prediction of asphaltene deposition risk in E&P operations. In Proceedings of the 3rd International Symposium on Mechanisms and Mitigation of Fouling in Petroleum and Natural Gas Production, New Orleans, LA, USA, 10–14 March 2002; pp. 10–14. [Google Scholar]
- Wang, T.; Wang, J.; Hou, X.; Xiao, F. Effects of SARA fractions on low temperature properties of asphalt binders. Road Mater. Pavement Des. 2019, 22, 539–556. [Google Scholar] [CrossRef]
- Xu, Y.; Zhang, E.; Shan, L. Effect of SARA on Rheological Properties of Asphalt Binders. J. Mater. Civ. Eng. 2019, 31, 04019086. [Google Scholar] [CrossRef]
- Anderson, D.A.; Kennedy, T.W. Development of Shrp Binder Specification (with Discussion). J. Assoc. Asph. Paving Technol. 1993, 62, 481–507. [Google Scholar]
- Wang, C.; Castorena, C.; Zhang, J.; Richard Kim, Y. Unified failure criterion for asphalt binder under cyclic fatigue loading. Road Mater. Pavement Des. 2015, 16 (Suppl. S2), 125–148. [Google Scholar] [CrossRef]
- Cao, W.; Wang, C. A new comprehensive analysis framework for fatigue characterization of asphalt binder using the Linear Amplitude Sweep test. Constr. Build. Mater. 2018, 171, 1–12. [Google Scholar] [CrossRef]






















| Test Items | Value | Testing Method | Contents (wt%) | Virgin Asphalts | Testing Method |
|---|---|---|---|---|---|
| Penetration 25 °C (0.1 mm) | 29 | T 0604 | Saturates | 17.11 | T0618 |
| Penetration index (PI) | 0.92 | T 0604 | |||
| Ductility (50 mm/min) 10 °C (cm) | 1 | T 0605 | Aromatics | 50.79 | |
| Ductility (50 mm/min) 15 °C (cm) | 8 | T 0605 | |||
| Softening point (°C) | 56 | T 0606 | Resins | 16.88 | |
| 60 °C dynamic viscosity (Pa·S) | 666.1 | T 0620 | |||
| Solubility (%) | 99.7 | T 0607 | Asphaltenes | 15.22 |
Disclaimer/Publisher’s Note: The statements, opinions and data contained in all publications are solely those of the individual author(s) and contributor(s) and not of MDPI and/or the editor(s). MDPI and/or the editor(s) disclaim responsibility for any injury to people or property resulting from any ideas, methods, instructions or products referred to in the content. |
© 2024 by the authors. Licensee MDPI, Basel, Switzerland. This article is an open access article distributed under the terms and conditions of the Creative Commons Attribution (CC BY) license (https://creativecommons.org/licenses/by/4.0/).
Share and Cite
Jiang, J.; Lu, F.; Guo, X.; Hao, P.; Wang, W.; Yu, J. Effect of SARA Fractions on Fatigue Properties of Hard Asphalt. Materials 2024, 17, 2713. https://doi.org/10.3390/ma17112713
Jiang J, Lu F, Guo X, Hao P, Wang W, Yu J. Effect of SARA Fractions on Fatigue Properties of Hard Asphalt. Materials. 2024; 17(11):2713. https://doi.org/10.3390/ma17112713
Chicago/Turabian StyleJiang, Jinyi, Fei Lu, Xiaogang Guo, Peiwen Hao, Wei Wang, and Jincheng Yu. 2024. "Effect of SARA Fractions on Fatigue Properties of Hard Asphalt" Materials 17, no. 11: 2713. https://doi.org/10.3390/ma17112713
APA StyleJiang, J., Lu, F., Guo, X., Hao, P., Wang, W., & Yu, J. (2024). Effect of SARA Fractions on Fatigue Properties of Hard Asphalt. Materials, 17(11), 2713. https://doi.org/10.3390/ma17112713

