Facile Preparation of High-Performance Reduced Graphene Oxide (RGO)/Copper (Cu) Composites Based on Pyrolysis of Copper Formate
Abstract
1. Introduction
2. Experimental
2.1. The Preparation of the RGO/Cu Composite Powders
2.2. The SPS and Hot Rolling of the RGO/Cu Composites
2.3. The Characterization of the RGO/Cu Composite Powders and Composites
3. Results and Discussion
3.1. The Fabrication Process of RGO/Cu Composite
3.2. Microstructural Characterizations of GO and RGO
3.3. Microstructure Characterizations of the Composites
3.4. Mechanical Property and Strengthening Mechanisms of Composites
- (1)
- Dislocations strengthening mechanism
- (2)
- Grain refinement mechanism
- (3)
- Load transfer strengthening mechanism
- (4)
- Orowan strengthening mechanism

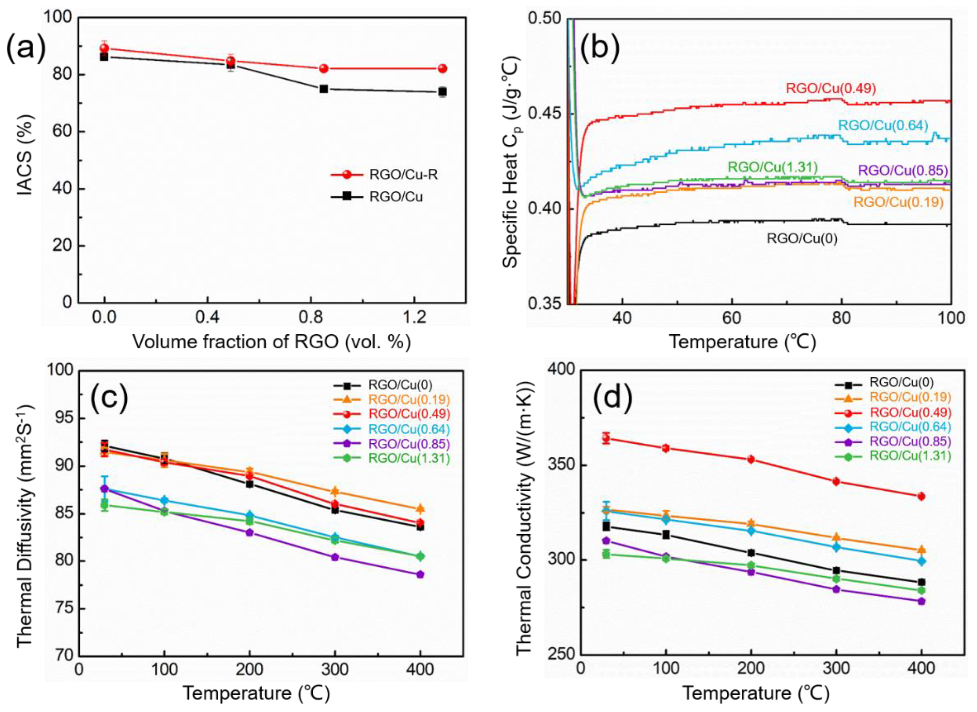
3.5. Electrical and Thermal Conductivity Properties of Composites
4. Conclusions
Supplementary Materials
Author Contributions
Funding
Institutional Review Board Statement
Informed Consent Statement
Data Availability Statement
Conflicts of Interest
References
- Lincoln, R.L.; Scarpa, F.; Ting, V.P.; Trask, R.S. Multifunctional composites: A metamaterial perspective. Multifunct. Mater. 2019, 2, 043001. [Google Scholar] [CrossRef]
- Dastgeer, G.; Nisar, S.; Rasheed, A.; Akbar, K.; Chavan, V.D.; Kim, D.K.; Wabaidur, S.M.; Zulfiqar, M.W.; Eom, J. Atomically engineered, high-speed non-volatile flash memory device exhibiting multibit data storage operations. Nano Energy 2024, 119, 109106. [Google Scholar] [CrossRef]
- Dastgeer, G.; Shahzad, Z.M.; Chae, H.; Kim, Y.H.; Ko, B.M.; Eom, J. Bipolar Junction Transistor Exhibiting Excellent Output Characteristics with a Prompt Response against the Selective Protein. Adv. Funct. Mater. 2022, 32, 2204781. [Google Scholar] [CrossRef]
- Akbari, M.; Shahbazzadeh, M.J.; La Spada, L.; Khajehzadeh, A. The Graphene Field Effect Transistor Modeling Based on an Optimized Ambipolar Virtual Source Model for DNA Detection. Appl. Sci. 2021, 11, 8114. [Google Scholar] [CrossRef]
- Stoller, M.D.; Park, S.J.; Zhu, Y.W.; An, J.H.; Ruoff, R.S. Graphene-Based Ultracapacitors. Nano Lett. 2008, 8, 3498–3502. [Google Scholar] [CrossRef] [PubMed]
- Lee, C.; Wei, X.D.; Kysar, J.W.; Hone, J. Measurement of the elastic properties and intrinsic strength of monolayer graphene. Science 2008, 321, 385–388. [Google Scholar] [CrossRef] [PubMed]
- Bolotin, K.I.; Sikes, K.J.; Jiang, Z.; Klima, M.; Fudenberg, G.; Hone, J.; Kim, P.; Stormer, H.L. Ultrahigh electron mobility in suspended graphene. Solid State Commun. 2008, 146, 351–355. [Google Scholar] [CrossRef]
- Balandin, A.A.; Ghosh, S.; Bao, W.Z.; Calizo, I.; Teweldebrhan, D.; Miao, F.; Lau, C.N. Superior thermal conductivity of single-layer graphene. Nano Lett. 2008, 8, 902–907. [Google Scholar] [CrossRef]
- Park, S.; Ruoff, R.S. Chemical methods for the production of graphenes. Nat. Nanotechnol. 2009, 4, 217–224. [Google Scholar] [CrossRef]
- Acik, M.; Lee, G.; Mattevi, C.; Chhowalla, M.; Cho, K.; Chabal, Y.J. Unusual infrared-absorption mechanism in thermally reduced graphene oxide. Nat. Mater. 2010, 9, 840–845. [Google Scholar] [CrossRef]
- Dimiev, A.M.; James, M.T. Mechanism of Graphene Oxide Formation. ACS Nano 2014, 8, 3060–3068. [Google Scholar] [CrossRef] [PubMed]
- Daniela, C.; Marcano, D.V.K.; Jacob, M.; Berlin, A.S.; Zhengzong, S.; Alexander, S.; Lawrence, B.; Al-emany, W.L.; James, M. Tour, Improved Synthesis of Graphene Oxide. ACS Nano 2018, 4, 4806–4813. [Google Scholar]
- Xiang, S.L.; Wang, X.J.; Gupta, M.; Wu, K.; Hu, X.S.; Zheng, M.Y. Graphene nanoplatelets induced heterogeneous bimodal structural magnesium matrix composites with enhanced mechanical properties. Sci. Rep. 2016, 6, 38824. [Google Scholar] [CrossRef] [PubMed]
- Wang, M.; Wang, L.-D.; Sheng, J.; Yang, Z.-Y.; Shi, Z.-D.; Zhu, Y.-P.; Li, J.; Fei, W.-D. Direct synthesis of high-quality graphene on Cu powders from adsorption of small aromatic hydrocarbons: A route to high strength and electrical conductivity for graphene/Cu composite. J. Alloys Compd. 2019, 798, 403–413. [Google Scholar] [CrossRef]
- Cao, M.; Xiong, D.-B.; Yang, L.; Li, S.S.; Xie, Y.Q.; Guo, Q.; Li, Z.Q.; Adams, H.; Gu, J.J.; Fan, T.X.; et al. Ultrahigh Electrical Conductivity of Graphene Embedded in Metals. Adv. Funct. Mater. 2019, 29, 1806792. [Google Scholar] [CrossRef]
- Zhang, X.; Xu, Y.; Wang, M.; Liu, E.; Zhao, N.; Shi, C.; Lin, D.; Zhu, F.; He, C. A powder-metallurgy-based strategy toward three-dimensional graphene-like network for reinforcing copper matrix composites. Nat. Commun. 2020, 11, 2775. [Google Scholar] [CrossRef] [PubMed]
- Hwang, J.; Yoon, T.; Jin, S.H.; Lee, J.; Kim, T.S.; Hong, S.H.; Jeon, S. Enhanced Mechanical Properties of Graphene/Copper Nanocomposites Using a Molecular-Level Mixing Process. Adv. Mater. 2013, 25, 6724–6729. [Google Scholar] [CrossRef] [PubMed]
- Yang, Z.Y.; Wang, L.D.; Shi, Z.D.; Wang, M.; Cui, Y.; Wei, B.; Xu, S.C.; Zhu, Y.P.; Fei, W.D. Preparation mechanism of hier-archical layered structure of graphene/copper composite with ultrahigh tensile strength. Carbon 2018, 127, 329–339. [Google Scholar] [CrossRef]
- Xiong, D.-B.; Cao, M.; Guo, Q.; Tan, Z.Q.; Fan, G.L.; Li, Z.Q.; Zhang, D. Graphene-and-Copper Artificial Nacre Fabricated by a Preform Impregnation Process: Bioinspired Strategy for Strengthening-Toughening of Metal Matrix Composite. ACS Nano 2015, 9, 6934–6943. [Google Scholar] [CrossRef]
- Yu, J.; Wang, L.; Liu, Z.; Xu, J.; Zong, Y. Electrodeposition-based fabrication of graphene/copper composites with excellent overall properties. J. Alloys Compd. 2022, 924, 166610. [Google Scholar] [CrossRef]
- Xing, C.S.; Sheng, J.; Li, J.; Wu, Y.Z.; Zhang, T.; Liu, B.; Shuang, J.X.; Cheng, Y.; Wang, L.D.; Fei, W.D. Achieving balanced properties in graphene/Cu composite with oriented bimodal grains: Strength, ductility, and conductivity. Mater. Charact. 2024, 208, 113680. [Google Scholar] [CrossRef]
- Yue, H.; Yao, L.; Gao, X.; Zhang, S.; Guo, E.; Zhang, H.; Lin, X.; Wang, B. Effect of ball-milling and graphene contents on the mechanical properties and fracture mechanisms of graphene nanosheets reinforced copper matrix composites. J. Alloys Compd. 2017, 691, 755–762. [Google Scholar] [CrossRef]
- Chen, F.; Ying, J.; Wang, Y.; Du, S.; Liu, Z.; Huang, Q. Effects of graphene content on the microstructure and properties of copper matrix composites. Carbon 2016, 96, 836–842. [Google Scholar] [CrossRef]
- Zhang, X.; Shi, C.; Liu, E.; Zhao, N.; He, C. Effect of Interface Structure on the Mechanical Properties of Graphene Nanosheets Reinforced Copper Matrix Composites. ACS Appl. Mater. Interfaces 2018, 10, 37586–37601. [Google Scholar] [CrossRef] [PubMed]
- Shi, Z.; Sheng, J.; Yang, Z.; Liu, Z.; Chen, S.; Wang, M.; Wang, L.; Fei, W. Facile synthesis of high-performance carbon nanosheet/Cu composites from copper formate. Carbon 2020, 165, 349–357. [Google Scholar] [CrossRef]
- Stankovich, S.; Dikin, D.A.; Dommett, G.H.B.; Kohlhaas, K.M.; Zimney, E.J.; Stach, E.A.; Piner, R.D.; Nguyen, S.T.; Ruoff, R.S. Graphene-based composite materials. Nature 2006, 442, 282–286. [Google Scholar] [CrossRef] [PubMed]
- Liu, Z.; Wang, L.; Ma, G.; Yuan, Y.; Jia, H.; Fei, W. A supercapacitor with ultrahigh volumetric capacitance produced by self-assembly of reduced graphene oxide through phosphoric acid treatment. J. Mater. Chem. A 2020, 8, 18933–18944. [Google Scholar] [CrossRef]
- Eigler, S.; Dotzer, C.; Hirsch, A. Visualization of defect densities in reduced graphene oxide. Carbon 2012, 50, 3666–3673. [Google Scholar] [CrossRef]
- Liu, Z.; Nørgaard, K.; Overgaard, M.H.; Ceccato, M.; Mackenzie, D.M.A.; Stenger, N.; Stipp, S.L.S.; Hassenkam, T. Direct observation of oxygen configuration on individual graphene oxide sheets. Carbon 2018, 127, 141–148. [Google Scholar] [CrossRef]
- Yuan, Q.-H.; Zeng, X.-S.; Liu, Y.; Luo, L.; Wu, J.-B.; Wang, Y.-C.; Zhou, G.-H. Microstructure and mechanical properties of AZ91 alloy reinforced by carbon nanotubes coated with MgO. Carbon 2016, 96, 843–855. [Google Scholar] [CrossRef]
- Xiang, Y.Y.; Wang, X.J.; Hu, X.S.; Meng, L.L.; Song, Z.X.; Li, X.J.; Sun, Z.M.; Zhang, Q.; Wu, K. Achieving ultra-high strengthening and toughening efficiency in carbon nanotubes/magnesium composites via constructing micro-nano layered structure. Compos. Part A Appl. Sci. Manuf. 2019, 119, 225–234. [Google Scholar] [CrossRef]
- Yang, M.; Weng, L.; Zhu, H.; Fan, T.; Zhang, D. Simultaneously enhancing the strength, ductility and conductivity of copper matrix composites with graphene nanoribbons. Carbon 2017, 118, 250–260. [Google Scholar] [CrossRef]
- Meng, L.; Wang, X.; Ning, J.; Hu, X.; Fan, G.; Wu, K. Beyond the dimensional limitation in bio-inspired composite: Insertion of carbon nanotubes induced laminated Cu composite and the simultaneously enhanced strength and toughness. Carbon 2018, 130, 222–232. [Google Scholar] [CrossRef]
- Shin, S.E.; Choi, H.J.; Shin, J.H.; Bae, D.H. Strengthening behavior of few-layered graphene/aluminum composites. Carbon 2015, 82, 143–151. [Google Scholar] [CrossRef]
- Zhang, Z.; Chen, D.L. Consideration of Orowan strengthening effect in particulate-reinforced metal matrix nanocomposites: A model for predicting their yield strength. Scr. Mater. 2006, 54, 1321–1326. [Google Scholar] [CrossRef]
- Casati, R.; Vedani, M. Metal Matrix Composites Reinforced by Nano-Particles—A Review. Metals 2014, 4, 65–83. [Google Scholar] [CrossRef]
- Tang, Y.; Yang, X.; Wang, R.; Li, M. Enhancement of the mechanical properties of graphene–copper composites with graphene–nickel hybrids. Mater. Sci. Eng. A 2014, 599, 247–254. [Google Scholar] [CrossRef]
- Zhang, D.; Zhan, Z. Strengthening effect of graphene derivatives in copper matrix composites. J. Alloys Compd. 2016, 654, 226–233. [Google Scholar] [CrossRef]
- Wang, L.D.; Yang, Z.Y.; Cui, Y.; Wei, B.; Xu, S.C.; Sheng, J.; Wang, M.; Zhu, Y.P.; Fei, W.D. Graphene-copper composite with micro-layered grains and ultrahigh strength. Sci. Rep. 2017, 7, 41896. [Google Scholar] [CrossRef]
- Yoo, S.C.; Lee, J.; Hong, S.H. Synergistic outstanding strengthening behavior of graphene/copper nanocomposites. Compos. Part B Eng. 2019, 176, 107235. [Google Scholar] [CrossRef]






| Composites | GO Aqueous Solution (g) | Copper Formate Tetrahydrate (g) | Weight Percentages of Carbon (wt. %) | Volume fractions of Carbon (vol.%) | Volume Fractions of RGO (vol.%) |
|---|---|---|---|---|---|
| RGO/Cu(0) | 0 | 142 | 0.026 | 0.10 | 0 |
| RGO/Cu(0.19) | 2.8 | 142 | 0.072 | 0.29 | 0.19 |
| RGO/Cu(0.49) | 5.6 | 142 | 0.148 | 0.59 | 0.49 |
| RGO/Cu(0.64) | 8.5 | 142 | 0.185 | 0.74 | 0.64 |
| RGO/Cu(0.85) | 11.4 | 142 | 0.237 | 0.95 | 0.85 |
| RGO/Cu(1.31) | 17.2 | 142 | 0.352 | 1.41 | 1.31 |
Disclaimer/Publisher’s Note: The statements, opinions and data contained in all publications are solely those of the individual author(s) and contributor(s) and not of MDPI and/or the editor(s). MDPI and/or the editor(s) disclaim responsibility for any injury to people or property resulting from any ideas, methods, instructions or products referred to in the content. |
© 2024 by the authors. Licensee MDPI, Basel, Switzerland. This article is an open access article distributed under the terms and conditions of the Creative Commons Attribution (CC BY) license (https://creativecommons.org/licenses/by/4.0/).
Share and Cite
Shi, Z.; Yun, Q.; Zhang, T.; Xing, C.; Li, J.; Wu, Y.; Wang, L. Facile Preparation of High-Performance Reduced Graphene Oxide (RGO)/Copper (Cu) Composites Based on Pyrolysis of Copper Formate. Materials 2024, 17, 2519. https://doi.org/10.3390/ma17112519
Shi Z, Yun Q, Zhang T, Xing C, Li J, Wu Y, Wang L. Facile Preparation of High-Performance Reduced Graphene Oxide (RGO)/Copper (Cu) Composites Based on Pyrolysis of Copper Formate. Materials. 2024; 17(11):2519. https://doi.org/10.3390/ma17112519
Chicago/Turabian StyleShi, Zhendong, Qingwen Yun, Tong Zhang, Changsheng Xing, Jie Li, Yunzhong Wu, and Lidong Wang. 2024. "Facile Preparation of High-Performance Reduced Graphene Oxide (RGO)/Copper (Cu) Composites Based on Pyrolysis of Copper Formate" Materials 17, no. 11: 2519. https://doi.org/10.3390/ma17112519
APA StyleShi, Z., Yun, Q., Zhang, T., Xing, C., Li, J., Wu, Y., & Wang, L. (2024). Facile Preparation of High-Performance Reduced Graphene Oxide (RGO)/Copper (Cu) Composites Based on Pyrolysis of Copper Formate. Materials, 17(11), 2519. https://doi.org/10.3390/ma17112519

