Characteristics of Si (C,N) Silicon Carbonitride Layers on the Surface of Ni–Cr Alloys Used in Dental Prosthetics
Abstract
1. Introduction
2. Materials and Methods
2.1. Chemical Composition
2.2. Phase Composition
2.3. Cross-Section of Coatings and Their Thicknesses
2.4. Wettability and Surface Free Energy (SFE)
2.5. Surface Roughness
3. Results and Discussion
3.1. Chemical Composition
3.2. Phase Composition
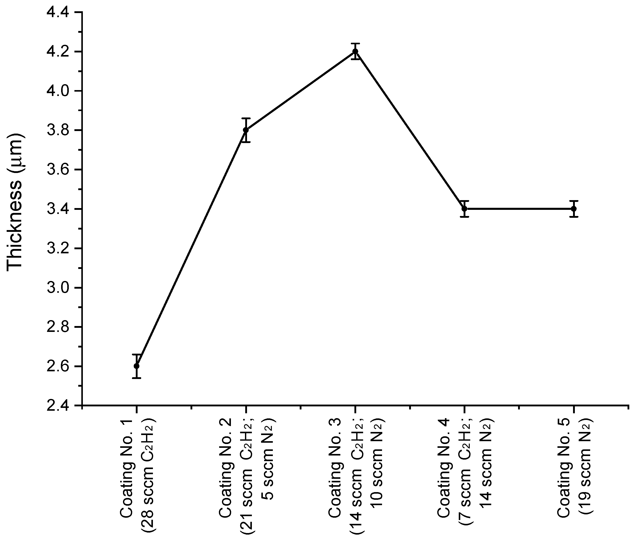
3.3. Coatings Thickness
3.4. Wettability and Surface Free Energy (SFE)
3.5. Surface Roughness
4. Conclusions
Author Contributions
Funding
Institutional Review Board Statement
Informed Consent Statement
Data Availability Statement
Conflicts of Interest
References
- Padiyar, N.; Tandon, P.; Agarwal, S. Nickel allergy—Is it a cause of concern in everyday dental practice? Int. J. Contemp. Dent. 2011, 2, 80–90. [Google Scholar]
- Muris, J.; Goossens, A.; Goncalo, M.; Bircher, A.J.; Gimenez-Arnau, A.; Foti, C.; Rustemeyer, T.; Feilzer, A.J.; Kleverlaan, C.J. Sensitization to palladium and nickel in Europe and the relationship with oral disease and dental alloys. Contact Derm. 2015, 72, 286–296. [Google Scholar] [CrossRef]
- Olms, C.; Schor, J.; Yahiaoui-Doktor, M. Potential Co-Factors of an Intraoral Contact Allergy—A Cross-Sectional Study. Dent. J. 2020, 8, 83. [Google Scholar] [CrossRef] [PubMed]
- Ahluwalia, R.; Kaur, P.; Gupta, N.; Mittal, N.; Gupta, R.; Saumya, D. Orthodontics and allergy treatment. J. Surv. Fish. Sci. 2023, 10, 1101–1107. [Google Scholar]
- Fletcher, R.; Harrison, W.; Crighton, A. Dental material allergies and oral soft tissue reactions. Br. Dent. J. 2022, 232, 620–625. [Google Scholar] [CrossRef] [PubMed]
- Jafari, K.; Rahimzadeh, S.; Hekmatfar, S. Nickel ion release from dental alloys in two different mouthwashes. J. Dent. Res. Dent. Clin. Dent. Prospects 2019, 13, 19–23. [Google Scholar] [CrossRef] [PubMed]
- Ristic, L.; Vucevic, D.; Radovic, L.; Djordjevic, S.; Nikacevic, M.; Colic, M. Corrosive and Cytotoxic Properties of Compact Specimens and Microparticles of Ni-Cr Dental Alloy. J. Prosthodont. 2013, 23, 221–226. [Google Scholar] [CrossRef]
- Mercieca, S.; Caligari, M. Assessment of corrosion resistance of cast cobalt- and nickel-chromium dental alloys in acidic environments. J. Appl. Biomater. Funct. Mater. 2018, 16, 47–54. [Google Scholar] [CrossRef] [PubMed]
- Banaszek, K.; Maślanka, M.; Semenov, M.; Klimek, L. Corrosive Studies of a Prosthetic Ni-Cr Alloy Coated with Ti(C,N) Type Layers. Materials 2022, 15, 2471. [Google Scholar] [CrossRef]
- Vaicelyte, A.; Janssen, C.; Le Borgne, M.; Grosgogeat, B. Cobalt–Chromium Dental Alloys: Metal Exposures, Toxicological Risks, CMR Classification, and EU Regulatory Framework. Crystals 2020, 10, 1151. [Google Scholar] [CrossRef]
- Cogliano, V.J.; Baan, R.; Straif, K.; Grosse, Y.; Lauby-Secretan, B.; El Ghissassi, F.; Bouvard, V.; Benbrahim-Tallaa, L.; Guha, N.; Freeman, C.; et al. Preventable exposures associated with human cancers. J. Natl. Cancer Inst. 2011, 103, 1827–1839. [Google Scholar] [CrossRef] [PubMed]
- RAC Opinion on Cobalt. ECHA Document Published on 22 September 2017. Available online: https://echa.europa.eu/documents/10162/b7316b11-ae65-1dd0-2e64-bb6ad3efbd82 (accessed on 28 August 2020).
- Bordbar-Khiabani, A.; Kovrlija, I.; Locs, J.; Loca, D.; Gasik, M. Octacalcium Phosphate-Laden Hydrogels on 3D-Printed Titanium Biomaterials Improve Corrosion Resistance in Simulated Biological Media. Int. J. Mol. Sci. 2023, 24, 13135. [Google Scholar] [CrossRef] [PubMed]
- Chouirfa, H.; Bouloussa, H.; Migonney, V.; Falentin-Daudré, C. Review of titanium surface modification techniques and coatings for antibacterial applications. Acta Biomater. 2019, 83, 37–54. [Google Scholar] [CrossRef] [PubMed]
- Dong, H.; Liu, H.; Zhou, N.; Li, Q.; Yang, G.; Chen, L.; Mou, Y. Surface modified techniques and emerging functional coating of dental implants. Coatings 2020, 10, 1012. [Google Scholar] [CrossRef]
- Pettersson, M.; Berlind, T.; Schmidt, S.; Jacobson, S.; Hultman, L.; Persson, C.; Engqvist, H. Structure and composition of silicon nitride and silicon carbon nitride coatings for joint replacements. Surf. Coat. Technol. 2013, 235, 827–834. [Google Scholar] [CrossRef]
- Pawlak, R.; Tomczyk, M.; Walczak, M. The favorable and unfavorable effects of oxide and intermetallic phases in conductive materials using laser micro technologies. Mater. Sci. Eng. B 2012, 177, 1273–1280. [Google Scholar] [CrossRef]
- Kang, S.; Mauchauffe, R.; You, Y.S.; Moon, S.Y. Insights into the Role of Plasma in Atmospheric Pressure Chemical Vapor Deposition of Titanium Dioxide Thin Films. Sci. Rep. 2018, 8, 16684. [Google Scholar] [CrossRef] [PubMed]
- Rajib, P. Diamond-Like-Carbon Coatings for Advanced Biomedical Applications. Glob. J. Nanomed. 2017, 5, 1–5. [Google Scholar]
- Kula, Z.; Semenov, M.; Klimek, L. Carbon Coatings Deposited on Prosthodontic Ni-Cr Alloy. Appl. Sci. 2021, 11, 4551. [Google Scholar] [CrossRef]
- Nematia, A.; Saghafia, M.; Khamseh, S.; Alibakhshic, E.; Zarrintajd, P.; Saebe, M. Magnetron-Sputtered TixNy Thin Films Applied on Titanium-Based Alloys for Biomedical Applications: Composition-Microstructure-Property Relationships. Surf. Coat. Technol. 2018, 349, 251–259. [Google Scholar] [CrossRef]
- Sáenz de Viteri, V.; Barandika, M.G.; de Gopegui, U.R.; Bayón, R.; Zubizarreta, C.; Fernández, X.; Igartua, A.; Agullo-Rueda, F. Characterization of Ti–C–N coatings deposited on Ti6Al4V for biomedical applications. J. Inorg. Biochem. 2012, 117, 359–366. [Google Scholar] [CrossRef]
- Banaszek, K.; Klimek, L.; Zgorzyńska, E.; Swarzyńska, A.; Walczewska, A. Cytotoxicity of Titanium Carbonitride Coatings for Prostodontic Alloys with Different Amounts of Carbon and Nitro. Gen. Biomed. Mater. 2018, 13, 045003. [Google Scholar]
- Banaszek, K.; Wiktorowska-Owczarek, A.; Kowalczyk, E.; Klimek, L. Possibilities of applying Ti (C,N) coatings on prosthetic elements—Research with the use of human endothelial cells. Acta Bioeng. Biomater. 2016, 18, 119–126. [Google Scholar]
- Banaszek, K.; Klimek, L.; Dąbrowski, J.R.; Jastrzębski, W. Fretting Wear in Orthodontic and Prosthetic Alloys with Ti (C,N). Coat. Process. 2019, 7, 874. [Google Scholar] [CrossRef]
- Banaszek, K.; Szymanski, W.; Pietrzyk, B.; Klimek, L. Adhesion of E. coli Bacteria Cells to Prosthodontic Alloys Surfaces Modified by TiO2 Sol-Gel Coatings. Adv. Mater. Sci. Eng. 2013, 2013, 179241. [Google Scholar] [CrossRef]
- Liu, C.; Zhao, Q.; Liu, Y.; Wang, S.; Abel, E. Reduction of Bacterial Adhesion on Modified DLC Coatings. Colloids Surf. B Biointerfaces 2018, 61, 182–187. [Google Scholar] [CrossRef] [PubMed]
- Chifor, E.; Bordeianu, I.; Anastasescu, C.; Calderon-Moreno, J.M.; Bratan, V.; Eftemie, D.-I.; Anastasescu, M.; Preda, S.; Plavan, G.; Pelinescu, D.; et al. Bioactive Coatings Based on Nanostructured TiO2 Modified with Noble Metal Nanoparticles and Lysozyme for Ti Dental Implants. Nanomaterials 2022, 12, 3186. [Google Scholar] [CrossRef] [PubMed]
- Wu, X.; Han, H.; Jiang, Y.; Zhu, D.; Zuo, B.; Bian, S.; Chen, C.; Zhao, L.; Xu, J.; Yu, L. Opportunities and challenges of the nitride coatings for artificial implants: A review. Surf. Coat. Technol. 2024, 480, 130587. [Google Scholar] [CrossRef]
- Xia, X.; Chiang, C.-C.; Gopalakrishnan, S.K.; Kulkarni, A.V.; Ren, F.; Ziegler, K.J.; Esquivel-Upshaw, J.F. Properties of SiCN Films Relevant to Dental Implant Applications. Materials 2023, 16, 5318. [Google Scholar] [CrossRef]
- Pandian, C.J.; Palanivel, R.; Balasundaram, U. Green synthesized nickel nanoparticles for targeted detection and killing of S. typhimurium. J. Photochem. Photobiol. B Biol. 2017, 174, 58–69. [Google Scholar] [CrossRef]
- Travlou, N.A.; Giannakoudakis, D.A.; Algarra, M.; Labella, A.M.; Rodríguez-Castellón, E.; Bandosz, T.J. S-and N-doped carbon quantum dots: Surface chemistry dependent antibacterial activity. Carbon 2018, 135, 104–111. [Google Scholar] [CrossRef]
- Liang, Y.; Liu, D.; Bai, W.; Tu, J. Investigation of silicon carbon nitride nanocomposite films as a wear resistant layer in vitro and in vivo for joint replacement applications. Colloids Surf. B Biointerfaces 2017, 153, 41–51. [Google Scholar] [CrossRef] [PubMed]
- Banaszek, K.; Januszewicz, B.; Wołowiec, E.; Klimek, L. Complex XRD and XRF Characterization of TiN-TiCN-TiC Surface Coatings for Medical Applications. Solid State Phenom. 2015, 225, 159–168. [Google Scholar] [CrossRef]
- Cullity, B.D.; Stock, S.R. Elements of X-ray Diffraction Third Edition; Pearson Education Limited: London, UK, 2014. [Google Scholar]
- Ul-Hamid, A. A Beginners’ Guide to Scanning Electron Microscopy; Springer: Berlin/Heidelberg, Germany, 2018. [Google Scholar] [CrossRef]
- Goldstein, J.I.; Newbury, D.E.; Echlin, P.; Joy, D.C.; Lyman, C.E.; Lifshin, E.; Sawyer, L.; Michael, J.R. Scanning Electron Microscopy and X-ray Microanalysis; Springer Science: Berlin/Heidelberg, Germany, 2003. [Google Scholar]
- Żenkiewicz, M. Adhezja i Modyfikowanie Warstwy Wierzchniej Tworzyw Wielkocząsteczkowych; Wydawnictwo Naukowo-Techniczne: Warszawa, Poland, 2000. [Google Scholar]
- Rudawska, A.; Jacniacka, E. Analysis for determining surface free energy uncertainty by the Owen–Wendt method. Int. J. Adhes. Adhes. 2009, 29, 451–457. [Google Scholar] [CrossRef]
- Wisniewski, W.; Genevois, C.E.; Véron, M. Allix: Experimental Evidence concerning the Significant Information Depth of X-Ray Diffraction (XRD) in the Bragg-Brentano Configuration. Powder Diffr. 2023, 38, 2. [Google Scholar] [CrossRef]
- PN-EN ISO 4288:2011; Geometrical Product Specifications (GPS)—Surface Texture: Profile Method—Rules and Procedures for the Assessment of Surface Texture. Polish Committee for Standardization: Warsaw, Poland, 2011. Available online: https://sklep.pkn.pl/pn-en-iso-4288-2011e.html (accessed on 10 May 2024).
- Ahadian, S.; Mohseni, M.; Morawian, S. Ranking proposed models for attaining surface free energy of powders using contact angle measurements. Int. J. Adhes. Adhes. 2009, 29, 458–469. [Google Scholar] [CrossRef]
- Krawczuk, A.; Domińczuk, J. Analiza możliwości wykorzystania krzywych zwilżania do optymalizacji procesów adhezyjnych. Technol. I Autom. Montażu 2015, 4, 45–49. [Google Scholar]
- Baier, R.E. The role of surface energy in thrombogenesis. Bull. N. Y. Acad. Med. 1972, 48, 1972. [Google Scholar]
- Merta, U.; Wiśniewska, G. Adhezja bakterii do materiałów dentystycznych—Przegląd piśmiennictwa. Dental Forum 2013, 1, 65–67. [Google Scholar]
- Krzak-Roś, J.; Filipiak, J.; Pezowicz, C.; Baszczuk, A.; Miller, M.; Kowalski, M.; Będziński, R. The effect of substrate roughness on the surface structure of TiO2, SiO2, and doped thin films prepared by the sol–gel method. Acta Bioeng. Biomech. 2009, 11, 2. [Google Scholar]
- Truong, V.K.; Lapovok, R.; Estrin, Y.S.; Rundell, S.; Wang, J.Y.; Fluke, C.J.; Russell, J.; Crawford, E.; Ivanova, P. The influence of nano-scale surface roughness on bacterial adhesion to ultrafine-grained titanium. Biomaterials 2010, 31, 3674–3683. [Google Scholar] [CrossRef] [PubMed]
- Matos, G.R.M. Surface Roughness of Dental Implant and Osseointegration. J. Maxillofac. Oral Surg. 2021, 20, 1–4. [Google Scholar] [CrossRef] [PubMed]
- Leitans, A.; Jansons, E.; Lungevics, J.; Kundzins, K.; Boiko, I.; Kanders, U.; Kovalenko, V.; Linins, O. Tribological and Micromechanical Properties of the Nanostructured Carbonitride/Nitride Coatings of Transition Metals Alloyed by Hf and Nb. Coatings 2023, 13, 552. [Google Scholar] [CrossRef]
- Balderrama, Í.d.F.; Stuani, V.d.T.; Cardoso, M.V.; Oliveira, R.C.; Lopes, M.M.R.; Greghi, S.L.A.; Passanezi, S.A.C. The influence of implant surface roughness on decontamination by antimicrobial photodynamic therapy and chemical agents: A preliminary study in vitro. Photodiagnosis Photodyn. Ther. 2021, 33, 102105. [Google Scholar] [CrossRef] [PubMed]
- Badihi Hauslich, L.; Sela, M.N.; Steinberg, D.; Rosen, G.; Kohavi, D. The adhesion of oral bacteria to modified titanium surfaces: Role of plasma proteins and electrostatic forces. Clin. Oral Implants Res. 2013, 24 (Suppl. A100), 49–56. [Google Scholar] [CrossRef]
- Carvalho, I.; Rodrigues, L.; Lima, M.J.; Carvalho, S.; Cruz, S.M.A. Overview on the Antimicrobial Activity and Biocompatibility of Sputtered Carbon-Based Coatings. Processes 2021, 9, 1428. [Google Scholar] [CrossRef]
- Radaic, A.; Kapila, Y.L. The oralome and its dysbiosis: New insights into oral microbiome-host interactions. Comput. Struct. Biotechnol. J. 2021, 19, 1335–1360. [Google Scholar] [CrossRef]
- Velsko, I.M.; Fellows Yates, J.A.; Aron, F.; Hagan, R.W.; Frantz, L.A.F.; Loe, L. Microbial differences between dental plaque and historic dental calculus are related to oral biofilm maturation stage. Microbiome 2019, 7, 102. [Google Scholar] [CrossRef] [PubMed]
- Sánchez, M.C.; Llama-Palacios, A.; Fernández, E.; Figuero, E.; Marín, M.J.; León, R.; Blanc, V.; Herrera, D.; Sanz, M. An in vitro biofilm model associated to dental implants: Structural and quantitative analysis of in vitro biofilm formation on different dental implant surfaces. Dent. Mater. 2014, 30, 1161–1171. [Google Scholar] [CrossRef]
- Freire, M.O.; Sedghizadeh, P.P.; Schaudinn, C. Development of an animal model for Aggregatibacter actinomycetemcomitans biofilm-mediated oral osteolytic infection: A preliminary study. J. Periodontol. 2011, 82, 778–789. [Google Scholar] [CrossRef]
- Chiang, C.-C.; Xia, X.; Craciun, V.; Rocha, M.G.; Camargo, S.E.A.; Rocha, F.R.G.; Gopalakrishnan, S.K.; Ziegler, K.J.; Ren, F.; Esquivel-Upshaw, J.F. Enhancing the Hydrophobicity and Antibacterial Properties of SiCN-Coated Surfaces with Quaternization to Address Peri-Implantitis. Materials 2023, 16, 5751. [Google Scholar] [CrossRef] [PubMed]







| Element Percentage % wt. | ||||||||
|---|---|---|---|---|---|---|---|---|
| Cr | Mo | Si | Fe | Co | Mn | Ta | Nb | Ni |
| 24.79 | 8.89 | 1.57 | 1.33 | 0.17 | 0.12 | 1.05 | 0.79 | rest |
| Process Parameters | Coating | |||||
|---|---|---|---|---|---|---|
| No. 1—SiC | No. 2—SiCN | No. 3—SiCN | No. 4—SiCN | No. 5—SiN | ||
| Residual pressure [Pa] | 3 × 10−3 | 2.7 × 10−3 | 3 × 10−3 | 2.2 × 10−3 | 3 × 10−3 | |
| Etching by glow discharge plasma | Ar pressure [Pa] | 1.52 | 1.48 | 1.62 | 1.6 | 1.61 |
| Ar flow [sccm] | 25 | 25 | 17.5 | 17.5 | 17.5 | |
| current [mA] | 100 | 100 | 100 | 100 | 120 | |
| time [min] | 15 | 15 | 15 | 15 | 15 | |
| Deposition of coatings | Ar pressure [Pa] | 4.5 × 10−1 | 4.7 × 10−1 | 4.7 × 10−1 | 4.5 × 10−1 | 4.5 × 10−1 |
| Ar flow [sccm] | 17.5 | 17.5 | 17.5 | 17.5 | 17.5 | |
| Bias [V] | −50 | −50 | −50 | −50 | −50 | |
| Bias current [mA] | 100 | 70 | 70 | 60 | 70 | |
| Time [min] | 240 | 240 | 240 | 240 | 240 | |
| Power on magnetrons with Si targets [kW] | 4 × 0.4 | 4 × 0.4 | 4 × 0.4 | 4 × 0.4 | 4 × 0.4 | |
| C2H2 flow [sccm] | 28 | 21 | 14 | 7 | - | |
| N2 flow [sccm] | - | 5 | 10 | 14 | 19 | |
| Ar + additional gas pressure [Pa] | 5.1 × 10−1 | 5.2 × 10−1 | 5.0 × 10−1 | 4.8 × 10−1 | 4.9 × 10−1 | |
| Norma | Profil | λs | λc | n | Filtr |
|---|---|---|---|---|---|
| FREE | R | 2.5 µm | 0.8 mm | 5 | GAUSS |
| Coating | Element | ||||||
|---|---|---|---|---|---|---|---|
| Si | N | C | at. C/N | ||||
| at. [%] | wt. [%] | at. [%] | wt. [%] | at. [%] | wt. [%] | ||
| No. 1—SiC | 24.8 | 38.5 | - | - | 75.2 | 61.5 | - |
| No. 2—SiCN | 29.6 | 46.7 | 15.9 | 12.5 | 54.5 | 40.8 | 3.4 |
| No. 3—SiCN | 35.2 | 53.3 | 25.2 | 19.0 | 39.6 | 27.7 | 1.6 |
| No. 4—SiCN | 42.9 | 61.0 | 35.3 | 25.0 | 21.8 | 14.0 | 0.6 |
| No. 5—SiN | 47.7 | 64.7 | 52.3 | 35.3 | - | - | - |
| Substrate | No. 1—SiC | No. 2—SiCN | No. 3—SiCN | No. 4—SiCN | No. 5—SiN | |
|---|---|---|---|---|---|---|
| Water contact angle [deg] | 81.5 ± 0.6 | 74.7 ± 4.5 | 86.8 ± 2.0 | 76.4 ± 1.9 | 75.2 ± 3.2 | 65.4 ± 0.8 |
| Diiodomethane contact angle [deg] | 68.3 ± 0.49 | 54.7 ± 1.1 | 49.4 ± 2.6 | 52.2 ± 0.6 | 59.4 ± 0.5 | 54.1 ± 0.5 |
| Substrate | No. 1—SiC | No. 2—SiCN | No. 3—SiCN | No. 4—SiCN | No.5—SiN | |
|---|---|---|---|---|---|---|
| Polar component [mJ/m2] | 9.1 ± 0.5 | 9.9 ± 2.7 | 2.9 ± 0.4 | 8.1 ± 1.3 | 10.8 ± 2.3 | 16.1 ± 0.4 |
| Dispersive component [mJ/m2] | 18.9 ± 0.4 | 25.6 ± 1.2 | 32.0 ± 1.2 | 27.7 ± 0.8 | 22.9 ± 1.0 | 24.1 ± 0.2 |
| Surface free energy [mJ/m2] | 28.0 ± 1.0 | 35.6 ± 1.7 | 34.8 ± 1.6 | 35.9 ± 0.5 | 33.7 ± 1.3 | 40.2 ± 0.8 |
| Sample | Roughness Parameters | ||||
|---|---|---|---|---|---|
| Ra [µm] | Rq [µm] | Rz [µm] | Rp [µm] | Rv [µm] | |
| No. 0 | 0.29 ± 0.3 | 0.36 ± 0.3 | 1.93 ± 1.01 | 0.9 ± 0.2 | 1.01 ± 0.1 |
| No. 1—SiC | 0.070 ± 0.035 | 0.095 ± 0.03 | 0.73 ± 0.3 | 0.54 ± 0.2 | 0.33 ± 0.1 |
| No. 2—SiCN | 0.055 ± 0.009 | 0.057 ± 0.028 | 0.6 ± 0.21 | 0.42 ± 0.1 | 0.21 ± 0.1 |
| No. 3—SiCN | 0.066 ± 0.027 | 0.094 ± 0.05 | 0.82 ± 0.5 | 0.50 ± 0.2 | 0.31 ± 0.2 |
| No. 4—SiCN | 0.058 ± 0.06 | 0.077 ± 0.01 | 0.65 ± 0.21 | 0.45 ± 0.1 | 0.21 ± 0.07 |
| No.5—SiN | 0.044 ± 0.021 | 0.058 ± 0.021 | 0.51 ± 0.1 | 0.35 ± 0.1 | 0.16 ± 0.06 |
Disclaimer/Publisher’s Note: The statements, opinions and data contained in all publications are solely those of the individual author(s) and contributor(s) and not of MDPI and/or the editor(s). MDPI and/or the editor(s) disclaim responsibility for any injury to people or property resulting from any ideas, methods, instructions or products referred to in the content. |
© 2024 by the authors. Licensee MDPI, Basel, Switzerland. This article is an open access article distributed under the terms and conditions of the Creative Commons Attribution (CC BY) license (https://creativecommons.org/licenses/by/4.0/).
Share and Cite
Klimek, L.; Makówka, M.; Sobczyk-Guzenda, A.; Kula, Z. Characteristics of Si (C,N) Silicon Carbonitride Layers on the Surface of Ni–Cr Alloys Used in Dental Prosthetics. Materials 2024, 17, 2450. https://doi.org/10.3390/ma17102450
Klimek L, Makówka M, Sobczyk-Guzenda A, Kula Z. Characteristics of Si (C,N) Silicon Carbonitride Layers on the Surface of Ni–Cr Alloys Used in Dental Prosthetics. Materials. 2024; 17(10):2450. https://doi.org/10.3390/ma17102450
Chicago/Turabian StyleKlimek, Leszek, Marcin Makówka, Anna Sobczyk-Guzenda, and Zofia Kula. 2024. "Characteristics of Si (C,N) Silicon Carbonitride Layers on the Surface of Ni–Cr Alloys Used in Dental Prosthetics" Materials 17, no. 10: 2450. https://doi.org/10.3390/ma17102450
APA StyleKlimek, L., Makówka, M., Sobczyk-Guzenda, A., & Kula, Z. (2024). Characteristics of Si (C,N) Silicon Carbonitride Layers on the Surface of Ni–Cr Alloys Used in Dental Prosthetics. Materials, 17(10), 2450. https://doi.org/10.3390/ma17102450

