An Experimental Parametric Optimisation for Laser Engraving and Texturing to Integrate Zirconia Ceramic Blocks into Stainless Steel Cutlery: A State-of-the-Art Aesthetically Improved Perspective
Abstract
1. Introduction
2. Materials and Methods
3. Results and Discussions
3.1. Findings for Zirconia
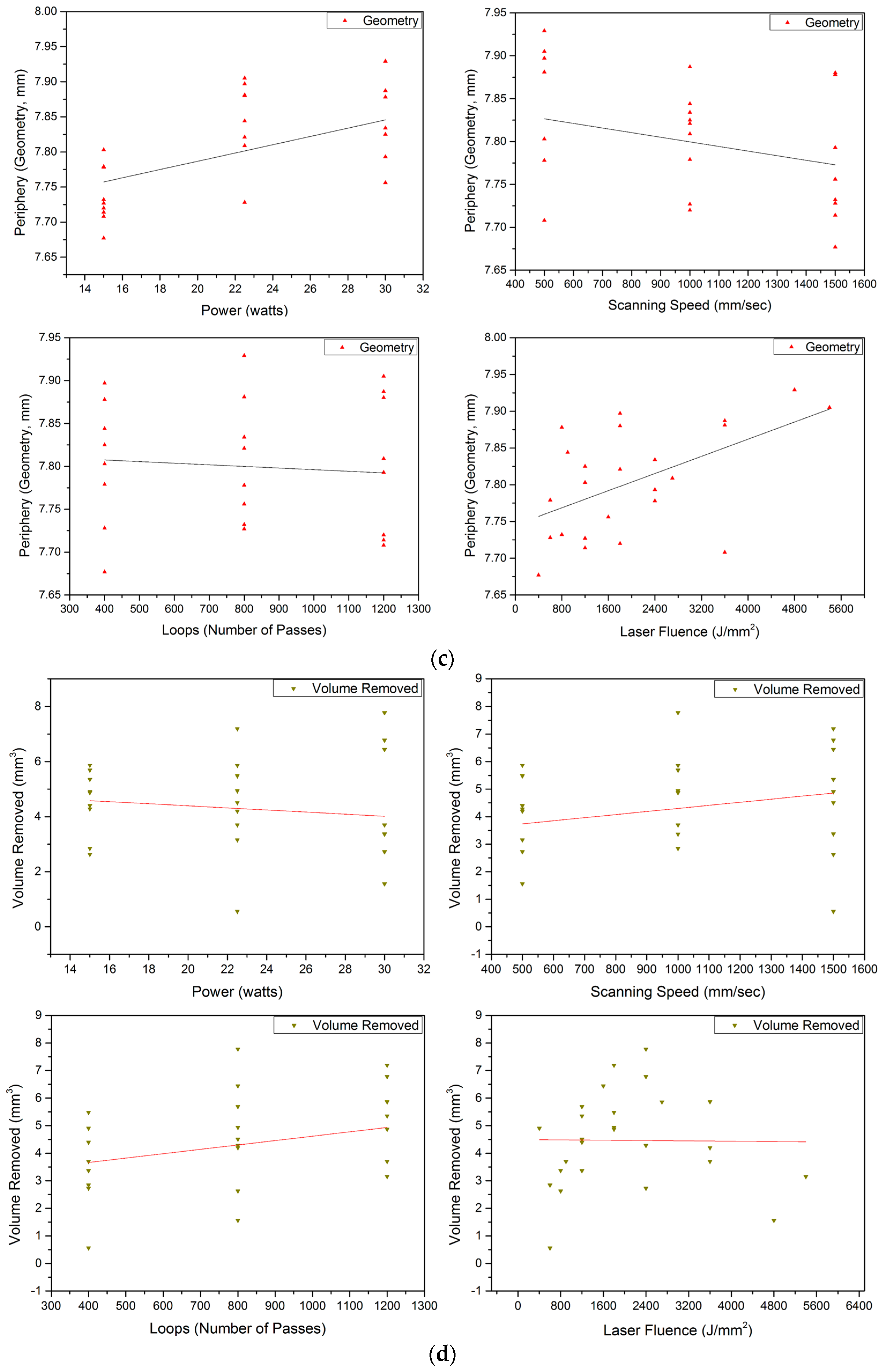
3.1.1. Quantitative Comparison of the Influence of the Input Variables on Output Variables
3.1.2. Visual Inspection
3.2. Finding for Stainless Steel
3.2.1. Qualitative Inspection
3.2.2. Visual Inspection
4. Conclusions
- (i)
- The total energy of the laser or fluence offered the full scenario of the surface quality (roughness), material removal (volume removed and depth of cut), and cut dimensions (geometry or periphery).
- (ii)
- Material removal with a high surface quality and clean-cut cavity defined the productivity. A combination of high-quality engraving with the least possible time of production was favourable.
- (iii)
- It was found that fluence had positive correlation with all the output variables, regardless of the individual trends of the input power, scanning speed, or number of passes.
- (iv)
- The constant positive trend of fluence with respect to the outputs was mostly due to the drop or constancy of the scanning speeds against the roughness (better finish), depth of cut, geometry, or volume removed, rather than the dominance of power or number of passes.
- (v)
- The study proved that ceramics like zirconia and metals like stainless steel do not behave extremely different from each other when it comes to laser interactions. However, the parametric optimisation is entirely distinct for both.
- (vi)
- More power values attracted more roughness with constant geometry by maintaining depth, volume removed, and constant geometry, except geometry for steel, where the dimension increased with the power settings.
- (vii)
- Higher scanning speeds provided a better surface finish, without any exceptions for both substances.
- (viii)
- A higher number of passages/passes meant more material removed for both materials.
- (ix)
- Medium power settings and higher scanning speeds with the maximum number of passes produced the best outcomes.
Author Contributions
Funding
Institutional Review Board Statement
Informed Consent Statement
Data Availability Statement
Acknowledgments
Conflicts of Interest
References
- Ferreira, J.; Lopes, F.; Doumeingts, G.; Sousa, J.; Mendonça, J.P.; Agostinho, C.; Jardim-Goncalves, R. Empowering SMEs with Cyber-Physical Production Systems: From Modelling a Polishing Process of Cutlery Production to CPPS Experimentation. Stud. Comput. Intell. 2020, 864, 139–177. [Google Scholar] [CrossRef] [PubMed]
- Michel, C.; Velasco, C.; Spence, C. Cutlery Matters: Heavy Cutlery Enhances Diners’ Enjoyment of the Food Served in a Realistic Dining Environment. Flavour 2015, 4, 26. [Google Scholar] [CrossRef]
- Li, S.; Liu, Y.; Tian, Z.; Liu, X.; Han, Z.; Ren, L. Biomimetic Superhydrophobic and Antibacterial Stainless-Steel Mesh via Double-Potentiostatic Electrodeposition and Modification. Surf. Coatings Technol. 2020, 403, 126355. [Google Scholar] [CrossRef]
- Motoki, K.; Spence, C.; Velasco, C. When Visual Cues Influence Taste/Flavour Perception: A Systematic Review. Food Qual. Prefer. 2023, 111, 104996. [Google Scholar] [CrossRef] [PubMed]
- Kumar, C.M.P.; Chandrashekarappa, M.P.G.; Kulkarni, R.M.; Pimenov, D.Y.; Giasin, K. The Effect of Zn and Zn–Wo3 Composites Nano-Coatings Deposition on Hardness and Corrosion Resistance in Steel Substrate. Materials 2021, 14, 2253. [Google Scholar] [CrossRef] [PubMed]
- El-Shamy, O.A.A.; Deyab, M.A. Novel Anticorrosive Coatings Based on Nanocomposites of Epoxy, Chitosan, and Silver. Mater. Lett. 2023, 330, 133298. [Google Scholar] [CrossRef]
- Cetin, M. Effect of Boron Added Corrosion Behavior of Cast 304 Stainless Steel. Prot. Met. Phys. Chem. Surfaces 2019, 55, 1217–1225. [Google Scholar] [CrossRef]
- Xia, P.; Canillas Rodríguez, F.J.; Sabirov, I. Microstructure Evolution and Adiabatic Heating during Dynamic Biaxial Deformation of a 304 Stainless Steel. Mater. Sci. Eng. A 2020, 793, 139829. [Google Scholar] [CrossRef]
- Farias, F.; Alvarez-Armas, I.; Armas, A.F. On the Strain-Induced Martensitic Transformation Process of the Commercial AISI 304 Stainless Steel during Cyclic Loading. Int. J. Fatigue 2020, 140, 105809. [Google Scholar] [CrossRef]
- Annette, M.; Stafford, L.D. How Colour Influences Taste Perception in Adult Picky Eaters. Food Qual. Prefer. 2023, 105, 104763. [Google Scholar] [CrossRef]
- Valoppi, F.; Agustin, M.; Abik, F.; Morais de Carvalho, D.; Sithole, J.; Bhattarai, M.; Varis, J.J.; Arzami, A.N.A.B.; Pulkkinen, E.; Mikkonen, K.S. Insight on Current Advances in Food Science and Technology for Feeding the World Population. Front. Sustain. Food Syst. 2021, 5, 626227. [Google Scholar] [CrossRef]
- Huang, Q.; Shi, X.; Xue, Y.; Zhang, K.; Wu, C. Recent Progress on Surface Texturing and Solid Lubricants in Tribology: Designs, Properties, and Mechanisms. Mater. Today Commun. 2023, 35, 105854. [Google Scholar] [CrossRef]
- Costa, H.L.; Schille, J.; Rosenkranz, A. Tailored Surface Textures to Increase Friction—A Review. Friction 2022, 10, 1285–1304. [Google Scholar] [CrossRef]
- Arumugaprabu, V.; Ko, T.J.; Kumaran, S.T.; Kurniawan, R.; Kwak, Y.; Yu, Z.; Uthayakumar, M. Performance of Surface-Textured End-Mill Insert on AISI 1045 Steel. Mater. Manuf. Process. 2019, 34, 18–29. [Google Scholar] [CrossRef]
- Teo, A.Q.A.; Yan, L.; Chaudhari, A.; O’neill, G.K. Post-Processing and Surface Characterization of Additively Manufactured Stainless Steel 316l Lattice: Implications for Biomedical Use. Materials 2021, 14, 1376. [Google Scholar] [CrossRef] [PubMed]
- Sanaullah, I.; Bukhari, B.S.; Batool, T.; Riaz, S.; Khan, H.N.; Sabri, A.N.; Naseem, S. Antibacterial Performance of Glucose-Fructose Added MW Based Zirconia Coatings—Possible Treatment for Bone Infection. J. Mech. Behav. Biomed. Mater. 2020, 104, 103621. [Google Scholar] [CrossRef] [PubMed]
- Hammami, I.; Gavinho, S.R.; Pádua, A.S.; Sá-Nogueira, I.; Silva, J.C.; Borges, J.P.; Valente, M.A.; Graça, M.P.F. Bioactive Glass Modified with Zirconium Incorporation for Dental Implant Applications: Fabrication, Structural, Electrical, and Biological Analysis. Int. J. Mol. Sci. 2023, 24, 10571. [Google Scholar] [CrossRef] [PubMed]
- Van Tran, T.; Nguyen, D.T.C.; Kumar, P.S.; Din, A.T.M.; Jalil, A.A.; Vo, D.V.N. Green Synthesis of ZrO2 Nanoparticles and Nanocomposites for Biomedical and Environmental Applications: A Review. Environ. Chem. Lett. 2022, 20, 1309–1331. [Google Scholar] [CrossRef]
- Liu, K.; Wang, G.; Guo, S.; Liu, J.; Qu, W.; Liu, N.; Wang, H.; Ji, J.; Chu, P.K.; Gu, B.; et al. High-Potential Surface on Zirconia Ceramics for Bacteriostasis and Biocompatibility. Colloids Surf. B Biointerfaces 2020, 193, 111074. [Google Scholar] [CrossRef]
- Rittidach, T.; Sillapaprayoon, S.; Chantho, V.; Pimtong, W.; Charoenphandhu, N.; Thongbunchoo, J.; Krishnamra, N.; Bootchanont, A.; Porjai, P.; Pon-On, W. Investigation on the Physical Properties and Biocompatibility of Zirconia-Alumina-Silicate@diopside Composite Materials and Its in Vivo Toxicity Study in Embryonic Zebrafish. RSC Adv. 2023, 13, 30575–30585. [Google Scholar] [CrossRef]
- Zou, S.J.; Ding, B.H.; Chen, Y.F.; Fan, H.T. Nanocomposites of Graphene and Zirconia for Adsorption of Organic-Arsenic Drugs: Performances Comparison and Analysis of Adsorption Behavior. Environ. Res. 2021, 195, 110752. [Google Scholar] [CrossRef] [PubMed]
- Sanaullah, I.; Bashir, M.; Batool, T.; Riaz, S.; Ali, D.; Sabri, A.N.; Naseem, S. Tangerine Mediated Synthesis of Zirconia as Potential Protective Dental Coatings. Mater. Sci. Eng. C 2021, 120, 111653. [Google Scholar] [CrossRef] [PubMed]
- Shekhawat, D.; Singh, A.; Banerjee, M.K.; Singh, T.; Patnaik, A. Bioceramic Composites for Orthopaedic Applications: A Comprehensive Review of Mechanical, Biological, and Microstructural Properties. Ceram. Int. 2021, 47, 3013–3030. [Google Scholar] [CrossRef]
- Catauro, M.; Barrino, F.; Dal Poggetto, G.; Milazzo, M.; Blanco, I.; Vecchio Ciprioti, S. Structure, Drug Absorption, Bioactive and Antibacterial Properties of Sol-Gel SiO2/ZrO2 Materials. Ceram. Int. 2020, 46, 29459–29465. [Google Scholar] [CrossRef]
- Hossain, N.; Mobarak, M.H.; Hossain, A.; Khan, F.; Mim, J.J.; Chowdhury, M.A. Advances of Plant and Biomass Extracted Zirconium Nanoparticles in Dental Implant Application. Heliyon 2023, 9, e15973. [Google Scholar] [CrossRef]
- He, J.; Cheng, X.; Zheng, G.; Luo, C.; Li, Y.; Tang, M. Study on Helical Milling of Small Holes in Zirconia Ceramics with PCD Tools. Int. J. Adv. Manuf. Technol. 2024, 131, 4773–4796. [Google Scholar] [CrossRef]
- Kwon, Y.S.; Kim, J.H.; Lee, H.; Scherrer, S.S.; Lee, H.H. Strength-Limiting Damage and Defects of Dental CAD/CAM Full-Contour Zirconia Ceramics. Dent. Mater. 2024, 40, 653–663. [Google Scholar] [CrossRef]
- Du, J.; Su, J.; Geng, J.; Duan, L.; He, W. Research Advances on Primary Machining Technologies of Zirconia Ceramics; Springer: London, UK, 2024; Volume 130. [Google Scholar] [CrossRef]
- Zhang, X.; Wu, X.; Shi, J. Additive Manufacturing of Zirconia Ceramics: A State-of-the-Art Review. J. Mater. Res. Technol. 2020, 9, 9029–9048. [Google Scholar] [CrossRef]
- Lakhdar, Y.; Tuck, C.; Binner, J.; Terry, A.; Goodridge, R. Additive Manufacturing of Advanced Ceramic Materials. Prog. Mater. Sci. 2021, 116, 100736. [Google Scholar] [CrossRef]
- Su, G.; Zhang, Y.; Jin, C.; Zhang, Q.; Lu, J.; Liu, Z.; Wang, Q.; Zhang, X.; Ma, J. 3D Printed Zirconia Used as Dental Materials: A Critical Review. J. Biol. Eng. 2023, 17, 78. [Google Scholar] [CrossRef]
- Faria, D.; Henriques, B.; Souza, A.C.; Silva, F.S.; Carvalho, O. Laser-Assisted Production of HAp-Coated Zirconia Structured Surfaces for Biomedical Applications. J. Mech. Behav. Biomed. Mater. 2020, 112, 104049. [Google Scholar] [CrossRef] [PubMed]
- Ackerl, N.; Wegener, K. Ablation Characteristics of Alumina and Zirconia Ceramics on Ultra-Short Pulsed Laser Machining. J. Laser Micro Nanoeng. 2019, 14, 168–172. [Google Scholar] [CrossRef]
- Bin Haron, M.N.F.; Romlay, F.R.B.M. Parametric Study of Laser Engraving Process of AISI 304 Stainless Steel by Utilizing Fiber Laser System. IOP Conf. Ser. Mater. Sci. Eng. 2019, 469, 012124. [Google Scholar] [CrossRef]
- Lazov, L.; Teirumnieks, E.; Karadzhov, T.; Angelov, N. Influence of Power Density and Frequency of the Process of Laser Marking of Steel Products. Infrared Phys. Technol. 2021, 116, 103783. [Google Scholar] [CrossRef]
- Genna, S.; Giannini, O.; Guarino, S.; Ponticelli, G.S.; Tagliaferri, F. Laser Texturing of AISI 304 Stainless Steel: Experimental Analysis and Genetic Algorithm Optimisation to Control the Surface Wettability. Int. J. Adv. Manuf. Technol. 2020, 110, 3005–3022. [Google Scholar] [CrossRef]
- Vyas, A.; Menghani, J.; Natu, H. Influence of WC Particle on the Metallurgical, Mechanical, and Corrosion Behavior of AlFeCuCrCoNi-WCx High-Entropy Alloy Coatings. J. Mater. Eng. Perform. 2021, 30, 2449–2461. [Google Scholar] [CrossRef]
- Wang, W.J.; Qian, C.; Hu, M.; Xu, T.; Wang, Y.G.; Sun, J. Optimisation of Scanning Parameters in Stereolithography for Dental Zirconia Ceramic Fabrication. Adv. Appl. Ceram. 2020, 119, 244–251. [Google Scholar] [CrossRef]
- Yin, Y.; Xu, J.; Ji, M.; Li, L.; Chen, M. A Critical Review on Sintering and Mechanical Processing of 3Y-TZP Ceramics. Ceram. Int. 2023, 49, 1549–1571. [Google Scholar] [CrossRef]
- Ackerl, N.; Warhanek, M.; Gysel, J.; Wegener, K. Ultrashort-Pulsed Laser Machining of Dental Ceramic Implants. J. Eur. Ceram. Soc. 2019, 39, 1635–1641. [Google Scholar] [CrossRef]
- Demarbaix, A.; Ducobu, F.; Juste, E.; Petit, F.; Duterte, C.; Rivière-Lorphèvre, E. Experimental Investigation on Green Ceramic Machining with Nanosecond Laser Source. J. Manuf. Process. 2021, 61, 245–253. [Google Scholar] [CrossRef]
- Dondieu, S.D.; Wlodarczyk, K.L.; Harrison, P.; Rosowski, A.; Gabzdyl, J.; Reuben, R.L.; Hand, D.P. Process Optimization for 100 w Nanosecond Pulsed Fiber Laser Engraving of 316l Grade Stainless Steel. J. Manuf. Mater. Process. 2020, 4, 110. [Google Scholar] [CrossRef]
- Liu, Y.; Liu, L.; Deng, J.; Meng, R.; Zou, X.; Wu, F. Fabrication of Micro-Scale Textured Grooves on Green ZrO2 Ceramics by Pulsed Laser Ablation. Ceram. Int. 2017, 43, 6519–6531. [Google Scholar] [CrossRef]
- Stanciuc, A.M.; Flamant, Q.; Sprecher, C.M.; Alini, M.; Anglada, M.; Peroglio, M. Femtosecond Laser Multi-Patterning of Zirconia for Screening of Cell-Surface Interactions. J. Eur. Ceram. Soc. 2018, 38, 939–948. [Google Scholar] [CrossRef]
- Ackerl, N.; Bork, A.H.; Hauert, R.; Müller, E.; Rottmar, M.; Ackerl, N.; Hansen, A.; Hauert, R.; Eike, M. Rationally Designed Ultra-Short Pulsed Laser Patterning of Zirconia-Based Ceramics Tailored for the Bone-Implant Interface. Appl. Surf. Sci. 2021, 545, 149020. [Google Scholar] [CrossRef]
- Peña-Parás, L.; Maldonado-Cortés, D.; Rodríguez-Villalobos, M.; Romero-Cantú, A.G.; Montemayor, O.E. Enhancing Tool Life, and Reducing Power Consumption and Surface Roughness in Milling Processes by Nanolubricants and Laser Surface Texturing. J. Clean. Prod. 2020, 253, 119836. [Google Scholar] [CrossRef]
- Pattanayak, S.; Kumar Sahoo, S. Micro Engraving on 316L Stainless Steel Orthopedic Implant Using Fiber Laser. Opt. Fiber Technol. 2021, 63, 102479. [Google Scholar] [CrossRef]
- Tran, N.G.; Chun, D.M. Simple and Fast Surface Modification of Nanosecond-Pulse Laser-Textured Stainless Steel for Robust Superhydrophobic Surfaces. CIRP Ann. 2020, 69, 525–528. [Google Scholar] [CrossRef]
- Korakana, A.; Korakana, S.; Ulmek, N.; Pagare, A.K. Analyzing the Effect of the Parameters of Laser Etching Process Influencing the Corrosion Resistance and Surface Roughness of Marine Grade 316 Stainless Steel. Mater. Today Proc. 2020, 32, 452–462. [Google Scholar] [CrossRef]
- Xie, F.; Yang, J.; Ngo, C.V. The Effect of Femtosecond Laser Fluence and Pitches between V-Shaped Microgrooves on the Dynamics of Capillary Flow. Results Phys. 2020, 19, 103606. [Google Scholar] [CrossRef]











| ZrO2 (%wt) | Al2O3 (%wt) | Y2O3 (%wt) | HfO2 (%wt) | MgO | NaO2 | SiO2, K2O, CaO, Fe2O3 |
|---|---|---|---|---|---|---|
| 73.1 | 20 | 4 | <2 | 200 | <40 | <30 |
| Average Crystallite Size | Minimum Purity (Zr + Y + Hf + Al) | Alumina Content | Specific Surface Area | Granulate Size | Intercept Zr/Al Grain Size | |
| Al:150/Zr:50 nm | 99.9% | 20% | 15 ± 2 m2/gm | 35 μm | 0.4/0.6 μm | |
| Element | C | Mn | Si | Cr | Ni | N |
|---|---|---|---|---|---|---|
| Weight (%) | ≤0.08 | ≤2.00 | 0.75 | 18.00–20.00 | 8.00–10.50 | 0.10 |
| Standard Order | Run Order | Power (watts) | Speed (mm/s) | Loops |
|---|---|---|---|---|
| 14 | 1 | 9 | 1000 | 100 |
| 15 | 2 | 9 | 1000 | 150 |
| 13 | 3 | 9 | 1000 | 50 |
| 1 | 4 | 6 | 500 | 50 |
| 18 | 5 | 9 | 1500 | 150 |
| 23 | 6 | 12 | 1000 | 100 |
| 3 | 7 | 6 | 500 | 150 |
| 6 | 8 | 5 | 1000 | 150 |
| 17 | 9 | 9 | 1500 | 100 |
| 7 | 10 | 6 | 1500 | 50 |
| 25 | 11 | 12 | 1500 | 50 |
| 2 | 12 | 6 | 500 | 100 |
| 4 | 13 | 6 | 1000 | 50 |
| 24 | 14 | 12 | 1000 | 150 |
| 27 | 15 | 12 | 1500 | 150 |
| 9 | 16 | 6 | 1500 | 150 |
| 9 | 16 | 6 | 1500 | 150 |
| 22 | 17 | 12 | 1000 | 50 |
| 19 | 18 | 12 | 500 | 50 |
| 8 | 19 | 6 | 1500 | 100 |
| 5 | 20 | 6 | 1000 | 100 |
| 10 | 22 | 9 | 500 | 50 |
| 20 | 23 | 12 | 500 | 100 |
| 21 | 24 | 12 | 500 | 150 |
| 16 | 25 | 9 | 1500 | 50 |
| 11 | 26 | 9 | 500 | 100 |
| 12 | 27 | 9 | 500 | 150 |
| Standard Order | Run Order | Power (watts) | Speed (mm/s) | Loops |
|---|---|---|---|---|
| 17 | 1 | 22.5 | 1500 | 800 |
| 6 | 2 | 15 | 1000 | 1200 |
| 8 | 3 | 15 | 1500 | 800 |
| 1 | 4 | 15 | 500 | 400 |
| 24 | 5 | 30 | 1000 | 1200 |
| 10 | 6 | 22.5 | 500 | 400 |
| 20 | 7 | 30 | 500 | 800 |
| 14 | 8 | 22.5 | 1000 | 800 |
| 16 | 9 | 22.5 | 1500 | 400 |
| 11 | 10 | 22.5 | 500 | 800 |
| 7 | 11 | 15 | 1500 | 400 |
| 26 | 12 | 30 | 1500 | 800 |
| 3 | 13 | 15 | 500 | 1200 |
| 15 | 14 | 22.5 | 1000 | 1200 |
| 19 | 15 | 30 | 500 | 400 |
| 4 | 16 | 15 | 1000 | 400 |
| 12 | 17 | 22.5 | 500 | 1200 |
| 18 | 18 | 22.5 | 1500 | 1200 |
| 22 | 19 | 30 | 1000 | 400 |
| 13 | 20 | 22.5 | 1000 | 400 |
| 5 | 21 | 15 | 1000 | 800 |
| 27 | 22 | 30 | 1500 | 1200 |
| 9 | 23 | 15 | 1500 | 1200 |
| 21 | 24 | 30 | 500 | 1200 |
| 2 | 25 | 15 | 500 | 800 |
| 23 | 26 | 30 | 1000 | 800 |
| 25 | 27 | 30 | 1500 | 400 |
| Experiment Number/Run Order | Fluence (J/mm2) | Average Ra Value (μm) | Average Depth (mm) | Volume Removed (mm3) | Periphery/Geometry (mm) | Designed Periphery (mm) | Error in Geometry (mm) |
|---|---|---|---|---|---|---|---|
| 1 | 90 | 112.38 | 0.8613 | 3.244735691 | 7.767 | 8 | −0.233 |
| 2 | 135 | 89.151 | 1.0893 | 4.673096753 | 8.289 | 8 | 0.289 |
| 3 | 45 | 112.95 | 0.6353 | 2.641554625 | 8.165 | 8 | 0.165 |
| 4 | 60 | 155.69 | 0.6753 | 2.641637919 | 7.909 | 8 | −0.091 |
| 5 | 90 | 89.41 | 1.5253 | 5.565035285 | 7.642 | 8 | −0.358 |
| 6 | 120 | 171.44 | 0.914 | 3.232497186 | 7.526 | 8 | −0.474 |
| 7 | 180 | 125.09 | 0.7153 | 2.716376041 | 7.796 | 8 | −0.204 |
| 8 | 90 | 105.59 | 0.977 | 3.892468631 | 7.985 | 8 | −0.015 |
| 9 | 60 | 74.337 | 1.1503 | 4.536273931 | 7.943 | 8 | −0.057 |
| 10 | 20 | 56.702 | 1.1757 | 4.62732642 | 7.936 | 8 | −0.064 |
| 11 | 40 | 97.351 | 0.743 | 2.859873127 | 7.852 | 8 | −0.148 |
| 12 | 120 | 131.1 | 0.6173 | 2.378056587 | 7.849 | 8 | −0.151 |
| 13 | 30 | 112.36 | 0.609 | 2.06845023 | 7.374 | 8 | −0.626 |
| 14 | 180 | 125.9 | 1.063 | 3.76887341 | 7.534 | 8 | −0.466 |
| 15 | 120 | 138.74 | 1.209 | 4.049890065 | 7.324 | 8 | −0.676 |
| 16 | 60 | 67.472 | 1.486 | 5.513271012 | 7.705 | 8 | −0.295 |
| 17 | 60 | 162.97 | 0.6487 | 2.810343468 | 8.334 | 8 | 0.334 |
| 18 | 120 | 224.63 | 1.2913 | 5.091225005 | 7.944 | 8 | −0.056 |
| 19 | 40 | 63.962 | 1.0373 | 3.99795528 | 7.853 | 8 | −0.147 |
| 20 | 60 | 83.292 | 0.888 | 3.463372716 | 7.899 | 8 | −0.101 |
| 21 | 80 | 124.7 | 1 | 3.713076 | 7.708 | 8 | −0.292 |
| 22 | 90 | 160.43 | 1.1907 | 4.473421585 | 7.754 | 8 | −0.246 |
| 23 | 240 | 38.214 | 0.1543 | 0.573599912 | 7.712 | 8 | −0.288 |
| 24 | 360 | 141.88 | 1.3673 | 5.905205017 | 8.313 | 8 | 0.313 |
| 25 | 30 | 925.88 | 0.5413 | 2.125011037 | 7.927 | 8 | −0.073 |
| 26 | 180 | 306 | 1.152 | 4.68908928 | 8.07 | 8 | 0.07 |
| 27 | 270 | 214.56 | 1.112 | 4.670163144 | 8.198 | 8 | 0.198 |
| Basis for Comparison | Experiment Number | Ra (μm) | D (mm) | V (mm3) | G-Error Values |
|---|---|---|---|---|---|
| Power (P) | 16 5 15 | 67.472 89.41 138.74 | 1.486 1.5253 1.209 | 5.513271012 5.565035285 4.049890065 | −0.295 −0.358 −0.676 |
| Scanning Speed (S) | 12 20 19 | 131.1 83.292 63.962 | 0.6173 0.888 1.0373 | 2.378056587 3.463372716 3.99795528 | −0.151 −0.101 −0.147 |
| Loops (L) | 25 9 5 | 925.8* 74.337 89.41 | 0.5413 1.1503 1.5253 | 2.125011037 4.536273931 5.565035285 | −0.073 −0.057 −0.358 |
| Experiment Number/Run Order | Fluence (J/mm2) | Ra Value (µm) | Average Depth (mm) | Volume Removed (mm3) | Periphery (mm) | Designed Periphery (mm) | Error in Geometry (mm) |
|---|---|---|---|---|---|---|---|
| 1 | 1200 | 5.42633 | 1.39745 | 4.25614 | 6.63 | 8 | −1.37 |
| 2 | 1800 | 6.5 | 1.40666 | 4.87007 | 7.72 | 8 | −0.28 |
| 3 | 800 | 6.02525 | 0.70233 | 2.62383 | 7.732 | 8 | −0.268 |
| 4 | 1200 | 7.14111 | 1.15566 | 4.39583 | 7.803 | 8 | −0.197 |
| 5 | 3600 | 14.07 | 0.952 | 3.69948 | 7.887 | 8 | −0.113 |
| 6 | 1800 | 10.518 | 1.40566 | 5.47762 | 7.897 | 8 | −0.103 |
| 7 | 4800 | 8.91777 | 0.39733 | 1.56083 | 7.929 | 8 | −0.071 |
| 8 | 1800 | 7.64388 | 1.291 | 4.93584 | 7.821 | 8 | −0.179 |
| 9 | 600 | 12.5577 | 0.149 | 0.55596 | 7.728 | 8 | −0.272 |
| 10 | 3600 | 14.9088 | 1.082 | 4.20002 | 7.881 | 8 | −0.119 |
| 11 | 400 | 5.565 | 1.5 | 5.52423 | 7.677 | 8 | −0.323 |
| 12 | 1600 | 9.49155 | 1.713 | 6.43871 | 7.756 | 8 | −0.244 |
| 13 | 3600 | 5.43266 | 1.57933 | 5.86372 | 7.708 | 8 | −0.292 |
| 14 | 2700 | 8.99677 | 1.459 | 5.56027 | 7.809 | 8 | −0.191 |
| 15 | 2400 | 14.2233 | 0.67333 | 2.72222 | 7.990 | 8 | −0.001 |
| 16 | 600 | 13.1355 | 0.75133 | 2.84050 | 7.779 | 8 | −0.221 |
| 17 | 5400 | 148.56 * | 0.80833 | 3.15538 | 7.905 | 8 | −0.095 |
| 18 | 1800 | 9.75 | 1.85266 | 7.18772 | 7.88 | 8 | −0.12 |
| 19 | 1200 | 10.1795 | 0.89666 | 3.43102 | 7.825 | 8 | −0.175 |
| 20 | 900 | 11.1255 | 0.963 | 3.70286 | 7.844 | 8 | −0.156 |
| 21 | 1200 | 9.41744 | 1.25966 | 5.68803 | 7.727 | 8 | −0.273 |
| 22 | 2400 | 3.1086 * | 1.787 | 6.78121 | 7.793 | 8 | −0.207 |
| 23 | 1200 | 6.62722 | 1.43866 | 5.35040 | 7.714 | 8 | −0.286 |
| 24 | 7200 | Through * | Through * | Through * | 7.687 | 8 | −0.313 |
| 25 | 2400 | 4.2696 * | 1.13133 | 4.27768 | 7.778 | 8 | −0.222 |
| 26 | 2400 | 9.07511 | 2.02733 | 7.77585 | 7.834 | 8 | −0.166 |
| 27 | 800 | 14.59 | 0.869 | 3.37069 | 7.878 | 8 | −0.122 |
Disclaimer/Publisher’s Note: The statements, opinions and data contained in all publications are solely those of the individual author(s) and contributor(s) and not of MDPI and/or the editor(s). MDPI and/or the editor(s) disclaim responsibility for any injury to people or property resulting from any ideas, methods, instructions or products referred to in the content. |
© 2024 by the authors. Licensee MDPI, Basel, Switzerland. This article is an open access article distributed under the terms and conditions of the Creative Commons Attribution (CC BY) license (https://creativecommons.org/licenses/by/4.0/).
Share and Cite
Richhariya, V.; Miranda, G.; Silva, F.S. An Experimental Parametric Optimisation for Laser Engraving and Texturing to Integrate Zirconia Ceramic Blocks into Stainless Steel Cutlery: A State-of-the-Art Aesthetically Improved Perspective. Materials 2024, 17, 2452. https://doi.org/10.3390/ma17102452
Richhariya V, Miranda G, Silva FS. An Experimental Parametric Optimisation for Laser Engraving and Texturing to Integrate Zirconia Ceramic Blocks into Stainless Steel Cutlery: A State-of-the-Art Aesthetically Improved Perspective. Materials. 2024; 17(10):2452. https://doi.org/10.3390/ma17102452
Chicago/Turabian StyleRichhariya, Vipin, Georgina Miranda, and Filipe Samuel Silva. 2024. "An Experimental Parametric Optimisation for Laser Engraving and Texturing to Integrate Zirconia Ceramic Blocks into Stainless Steel Cutlery: A State-of-the-Art Aesthetically Improved Perspective" Materials 17, no. 10: 2452. https://doi.org/10.3390/ma17102452
APA StyleRichhariya, V., Miranda, G., & Silva, F. S. (2024). An Experimental Parametric Optimisation for Laser Engraving and Texturing to Integrate Zirconia Ceramic Blocks into Stainless Steel Cutlery: A State-of-the-Art Aesthetically Improved Perspective. Materials, 17(10), 2452. https://doi.org/10.3390/ma17102452

