Microwave-Assisted Synthesis of Few-Layer Ti3C2Tx Loaded with Ni0.5Co0.5Se2 Nanospheres for High-Performance Supercapacitors
Abstract
1. Introduction
2. Experimental Section
2.1. Materials
2.2. Preparation of Ti3C2Tx
2.3. Synthesis of Ni0.5Co0.5Se2/Ti3C2Tx
2.4. Characterization Technique
2.5. Electrochemical Measurements
3. Results and Discussion
3.1. Synthesis and Characterization
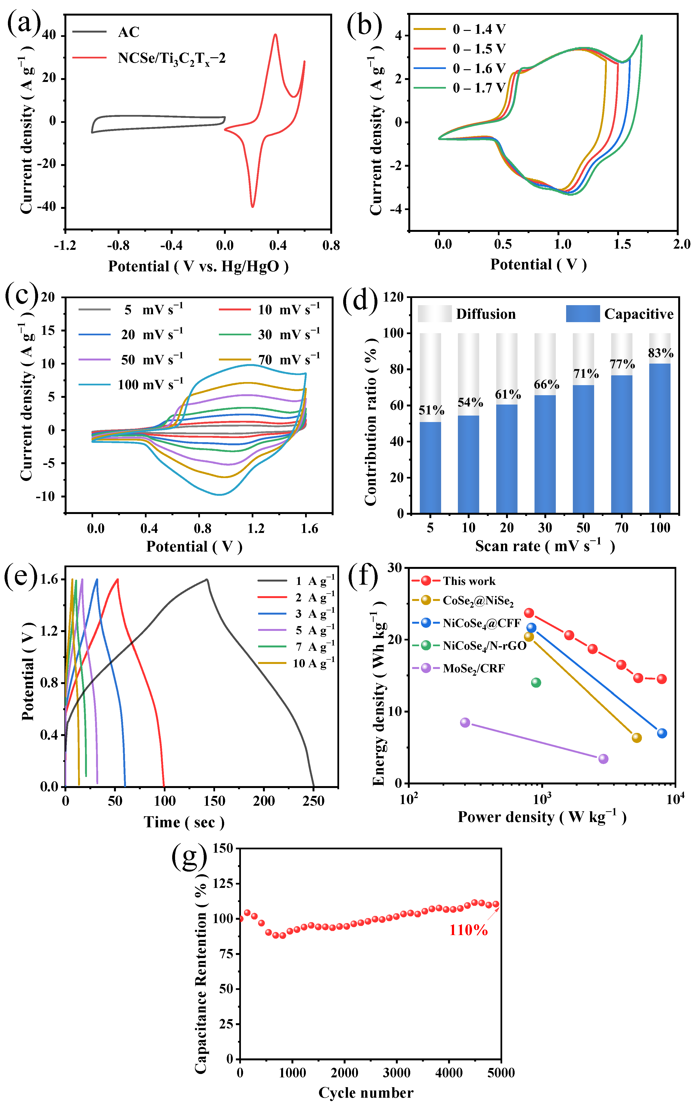
3.2. Electrochemical Measurements
4. Conclusions
Author Contributions
Funding
Institutional Review Board Statement
Informed Consent Statement
Data Availability Statement
Conflicts of Interest
References
- Braff, W.A.; Mueller, J.M.; Trancik, J.E. Value of storage technologies for wind and solar energy. Nat. Clim. Chang. 2016, 6, 964–969. [Google Scholar] [CrossRef]
- Zhao, F.; Zheng, D.; Liu, Y.; Pan, F.; Deng, Q.; Qin, C.; Li, Y.; Wang, Z. Flexible Co(OH)2/NiOxHy@Ni hybrid electrodes for high energy density supercapacitors. Chem. Eng. J. 2021, 415, 128871. [Google Scholar] [CrossRef]
- Shang, Z.; An, X.; Zhang, H.; Shen, M.; Baker, F.; Liu, Y.; Liu, L.; Yang, J.; Cao, H.; Xu, Q.; et al. Houttuynia-derived nitrogen-doped hierarchically porous carbon for high-performance supercapacitor. Carbon 2020, 161, 62–70. [Google Scholar] [CrossRef]
- Khalafallah, D.; Quan, X.; Ouyang, C.; Zhi, M.; Hong, Z. Heteroatoms doped porous carbon derived from waste potato peel for supercapacitors. Renew. Energy 2021, 170, 60–71. [Google Scholar] [CrossRef]
- Yue, L.; Chen, L.; Liu, X.; Lu, D.; Zhou, W.; Li, Y. Honeycomb-like biomass carbon with planted CoNi3 alloys to form hierarchical composites for high-performance supercapacitors. J. Colloid Interface Sci. 2022, 608, 2602–2612. [Google Scholar] [CrossRef] [PubMed]
- Feng, Y.; Zhang, M.; Yan, H.; Zhang, Y.; Guo, R.; Wang, H. Microwave-assisted efficient exfoliation of MXene and its composite for high-performance supercapacitors. Ceram. Int. 2022, 48, 9518–9526. [Google Scholar] [CrossRef]
- Luo, L.; Zhou, Y.; Yan, W.; Du, G.; Fan, M.; Zhao, W. Construction of advanced zeolitic imidazolate framework derived cobalt sulfide/MXene composites as high-performance electrodes for supercapacitors. J. Colloid Interface Sci. 2022, 615, 282–292. [Google Scholar] [CrossRef] [PubMed]
- Yun, X.; Lu, T.; Zhou, R.; Lu, Z.; Li, J.; Zhu, Y. Heterostructured NiSe2/CoSe2 Hollow Microspheres as Battery-Type Cathode for Hybrid Supercapacitors: Electrochemical Kinetics and Energy Storage Mechanism. Chem. Eng. J. 2021, 426, 131328. [Google Scholar] [CrossRef]
- Yu, J.; Su, H.; Shi, C.; Qiu, G.; Bai, L.; Li, Z. Ni0.85Se anchored on N-doped MoSe2 hybrids for long-life asymmetric supercapacitors. Electrochim. Acta 2023, 471, 143392. [Google Scholar] [CrossRef]
- Arulkumar, C.; Gandhi, R.; Vadivel, S. Ultra-thin nanosheets of Ti3C2Tx MXene/MoSe2 nanocomposite electrode for asymmetric supercapacitor and electrocatalytic water splitting. Electrochim. Acta 2023, 462, 142742. [Google Scholar] [CrossRef]
- Liang, T.; Lenus, S.; Liu, Y.; Chen, Y.; Sakthivel, T.; Chen, F.; Ma, F.; Dai, Z. Interface and M3+/M2+ Valence Dual-Engineering on Nickel Cobalt Sulfoselenide/Black Phosphorus Heterostructure for Efficient Water Splitting Electrocatalysis. Energy Environ. Mater. 2023, 6, e12332. [Google Scholar] [CrossRef]
- Lin, J.; Wang, H.; Yan, Y.; Zheng, X.; Jia, H.; Qi, J.; Cao, J.; Tu, J.; Fei, W.; Feng, J. Core-branched CoSe2/Ni0.85Se nanotube arrays on Ni foam with remarkable electrochemical performance for hybrid supercapacitors. J. Mater. Chem. A. 2018, 6, 19151–19158. [Google Scholar] [CrossRef]
- Zhang, Z.; Shi, Y.; Zhao, X.; Zhou, A.; Liu, R.; Che, H.; Wang, G.; Mu, J.; Zhang, X.; Zhang, X. Construction of hierarchical NiCoSe@CoS core–shell nanotube arrays for high-performance hybrid supercapacitor. J. Alloys Compd. 2022, 919, 165824. [Google Scholar] [CrossRef]
- Jiang, H.; Wang, Z.; Yang, Q.; Tan, L.; Dong, L.; Dong, M. Ultrathin Ti3C2Tx (MXene) Nanosheet-Wrapped NiSe2 Octahedral Crystal for Enhanced Supercapacitor Performance and Synergetic Electrocatalytic Water Splitting. Nano-Micro Lett. 2019, 11, 31. [Google Scholar] [CrossRef] [PubMed]
- Wu, C.-W.; Unnikrishnan, B.; Chen, I.-W.P.; Harroun, S.G.; Chang, H.-T.; Huang, C.-C. Excellent oxidation resistive MXene aqueous ink for micro-supercapacitor application. Energy Storage Mater. 2020, 25, 563–571. [Google Scholar] [CrossRef]
- Wang, L.; Ma, Z.; Qiu, H.; Zhang, Y.; Yu, Z.; Gu, J. Significantly Enhanced Electromagnetic Interference Shielding Performances of Epoxy Nanocomposites with Long-Range Aligned Lamellar Structures. Nano-Micro Lett. 2022, 14, 224. [Google Scholar] [CrossRef] [PubMed]
- Wu, N.; Zhao, B.; Chen, X.; Hou, C.; Huang, M.; Alhadhrami, A.; Mersal, G.A.M.; Ibrahim, M.M.; Tian, J. Dielectric properties and electromagnetic simulation of molybdenum disulfide and ferric oxide-modified Ti3C2TX MXene hetero-structure for potential microwave absorption. Adv. Compos. Hybrid Mater. 2022, 5, 1548–1556. [Google Scholar] [CrossRef]
- Lu, Z.; Jia, F.; Zhuo, L.; Ning, D.; Gao, K.; Xie, F. Micro-porous MXene/Aramid nanofibers hybrid aerogel with reversible compression and efficient EMI shielding performance. Compos. Part B Eng. 2021, 217, 108853. [Google Scholar] [CrossRef]
- Zhao, K.; Sun, X.; Fu, H.; Guo, H.; Wang, L.; Li, D.; Liu, J. In situ construction of metal-organic frameworks on chitosan-derived nitrogen self-doped porous carbon for high-performance supercapacitors. J. Colloid Interface Sci. 2023, 632, 249–259. [Google Scholar] [CrossRef]
- Yuan, Z.; Guo, H.; Huang, Y.; Li, W.; Liu, Y.; Chen, K.; Yue, M.; Wang, Y. Composites of NiSe2@C hollow nanospheres wrapped with Ti3C2Tx MXene for synergistic enhanced sodium storage. Chem. Eng. J. 2022, 429, 132394. [Google Scholar] [CrossRef]
- Li, Y.; Huang, B.; Zhao, X.; Luo, Z.; Liang, S.; Qin, H.; Chen, L. Zeolitic imidazolate framework-L-assisted synthesis of inorganic and organic anion-intercalated hetero-trimetallic layered double hydroxide sheets as advanced electrode materials for aqueous asymmetric super-capacitor battery. J. Power Sources 2022, 527, 231149. [Google Scholar] [CrossRef]
- Sarwar, S.; Nautiyal, A.; Cook, J.; Yuan, Y.; Li, J.; Uprety, S.; Shahbazian-Yassar, R.; Wang, R.; Park, M.; Bozack, M.J.; et al. Facile microwave approach towards high performance MoS2/graphene nanocomposite for hydrogen evolution reaction. Sci. China Mater. 2020, 63, 62–74. [Google Scholar] [CrossRef]
- Dakka, Y.A.; Balamurugan, J.; Balaji, R.; Kim, N.H.; Lee, J.H. Advanced Cu0.5Co0.5Se2 nanosheets and MXene electrodes for high-performance asymmetric supercapacitors. Chem. Eng. J. 2020, 385, 123455. [Google Scholar] [CrossRef]
- Dong, X.; Zhao, R.; Sun, B.; Zhang, T.; Wang, B.; He, Y.; Gao, T.; Chao, D.; Zhou, G. Confining homogeneous Ni0.5Co0.5Se2 nanoparticles in Ti3C2Tx MXene architectures for enhanced sodium storage performance. Appl. Surf. Sci. 2022, 605, 154847. [Google Scholar] [CrossRef]
- Sun, X.; Zhao, K.; Fu, H.; Guo, H.; Shen, J.; Jin, F.; Wang, L.; Wang, Z.; Cui, L.; Quan, F.; et al. Heterostructure of MnSe2@NiCo2Se4 as novel electrode material for high-performance asymmetric supercapacitors. J. Energy Storage 2023, 63, 107041. [Google Scholar] [CrossRef]
- Wang, X.; Wang, S.; Chen, S.; He, P.; Xu, Y.; Jia, L.; Yang, D.; He, X.; Deng, H.; Jia, B.; et al. Facile one-pot synthesis of binder-free nano/micro structured dendritic cobalt activated nickel sulfide: A highly efficient electrocatalyst for oxygen evolution reaction. Int. J. Hydrogen Energy 2020, 45, 19304–19312. [Google Scholar] [CrossRef]
- Adepu, V.; Kamath, K.; Mattela, V.; Sahatiya, P. Development of Ti3C2Tx/NiSe2 Nanohybrid-Based Large-Area Pressure Sensors as a Smart Bed for Unobtrusive Sleep Monitoring. Adv. Mater. Interfaces 2021, 8, 2100706. [Google Scholar] [CrossRef]
- Wang, J.; Sarwar, S.; Song, J.; Du, L.; Li, T.; Zhang, Y.; Li, B.; Guo, Q.; Luo, J.; Zhang, X. One-step microwave synthesis of self-supported CoSe2@NiSe2 nanoflowers on 3D nickel foam for high performance supercapacitors. J. Alloy. Compd. 2022, 892, 162079. [Google Scholar] [CrossRef]
- Zheng, Y.; Tian, Y.; Sarwar, S.; Luo, J.; Zhang, X. Carbon nanotubes decorated NiSe2 nanosheets for high-performance supercapacitors. J. Power Sources 2020, 452, 227793. [Google Scholar] [CrossRef]
- Lu, Z.; Zhao, H.; Luo, J.; Wang, J. Reduced-graphene-oxide-modified self-supported NiSe2 nanospheres on nickel foam as a battery-type electrode material for high-efficiency supercapacitors. J. Phys. Chem. Solids 2022, 163, 110593. [Google Scholar] [CrossRef]
- Zheng, J.; Pan, X.; Huang, X.; Xiong, D.; Shang, Y.; Li, X.; Wang, N.; Lau, W.-M.; Yang, H.Y. Integrated NiCo2-LDHs@MXene/rGO aerogel: Componential and structural engineering towards enhanced performance stability of hybrid supercapacitor. Chem. Eng. J. 2020, 396, 125197. [Google Scholar] [CrossRef]
- Tian, Y.; Yang, F.; Qiu, Z.; Jing, J.; He, J.; Xu, H. Hierarchical N-Ti3C2TX@NiCo2S4 Core-Shell Nanosheets Assembled into 3D Porous Hydrogel as Free-Standing Electrodes for High-Performance Supercapacitors. J. Energy Storage 2023, 63, 107086. [Google Scholar] [CrossRef]
- Wu, W.; Liu, T.; Diwu, J.; Li, C.; Zhu, J. Metal-Organic Framework–Derived NiCo2S4@Co3S4 Yolk-Shell Nanocages/Ti3C2Tx MXene for High-Performance Asymmetric Supercapacitors. J. Alloys Compd. 2023, 954, 170213. [Google Scholar] [CrossRef]
- Ye, B.; Huang, M.; Jiang, S.; Fan, L.; Lin, J.; Wu, J. In-situ growth of Se-doped NiTe on nickel foam as positive electrode material for high-performance asymmetric supercapacitor. Mater. Chem. Phys. 2018, 211, 389–398. [Google Scholar] [CrossRef]
- Wu, S.; Cui, T.; Hu, Q.; Yin, F.; Feng, Q.; Zhou, S.; Su, Q.; Wu, L.; Yang, Q. Mixing solvothermal synthesis nickel selenide on the surface of graphene for high-efficiency asymmetric supercapacitors. Synth. Met. 2020, 268, 116490. [Google Scholar] [CrossRef]
- Augustyn, V.; Simon, P.; Dunn, B. Pseudocapacitive oxide materials for high-rate electrochemical energy storage. Energy Environ. Sci. 2014, 7, 1597–1614. [Google Scholar] [CrossRef]
- Pathak, M.; Tamang, D.; Kandasamy, M.; Chakraborty, B.; Rout, C.S. A comparative experimental and theoretical investigation on energy storage performance of CoSe2, NiSe2 and MnSe2 nanostructures. Appl. Mater. Today 2020, 19, 100568. [Google Scholar] [CrossRef]
- Liu, J.; Ren, L.; Luo, J.; Song, J. Microwave synthesis of NiSe/NiTe2 nanocomposite grown in situ on Ni foam for all-solid-state asymmetric supercapacitors. Colloids Surfaces A Physicochem. Eng. Asp. 2022, 647, 129093. [Google Scholar] [CrossRef]
- Han, W.; Yuan, L.; Liu, X.; Wang, C.; Li, J. Ultrathin MoSe2 nanosheets decorated on carbon aerogel microspheres for high-capacity supercapacitor electrodes. J. Electroanal. Chem. 2021, 899, 115643. [Google Scholar] [CrossRef]
- Bo, X.; Xiang, K.; Zhang, Y.; Shen, Y.; Chen, S.; Wang, Y.; Xie, M.; Guo, X. Microwave-assisted conversion of biomass wastes to pseudocapacitive mesoporous carbon for high-performance supercapacitor. J. Energy Chem. 2019, 39, 1–7. [Google Scholar] [CrossRef]
- Du, L.; Lv, N.; Li, J.; Zhang, J.; Chen, Y.; Zhang, Y.; Li, Z.; Huang, X.; Luo, J. NiCoSe4@CFF with excellent properties prepared by microwave method for flexible supercapacitors and oxygen evolution reaction. J. Ind. Eng. Chem. 2023, 120, 467–476. [Google Scholar] [CrossRef]
- Yang, Q.; Feng, Q.; Xu, X.; Liu, Y.; Yang, X.; Yang, F.; Li, J.; Zhan, H.; Wang, Q.; Wu, S. NiCoSe4 nanoparticles derived from nickel–cobalt Prussian blue analogues on N-doped reduced graphene oxide for high-performance asymmetric supercapacitors. Nanotechnology 2022, 33, 345401. [Google Scholar] [CrossRef] [PubMed]







| Sample | Ti3C2Tx (mg) | Ni(CH3COO)2·4H2O (mg) | Co(CH3COO)2·4H2O (mg) | Se Power (mg) | Microwave Power (W) | Times (s) |
|---|---|---|---|---|---|---|
| NCSe/Ti3C2Tx−1 | 10 | 40 | 40 | 40 | 900 | 120 |
| NCSe/Ti3C2Tx−2 | 20 | 40 | 40 | 40 | 900 | 120 |
| NCSe/Ti3C2Tx−3 | 30 | 40 | 40 | 40 | 900 | 120 |
| NCSe/Ti3C2Tx−4 | 20 | 40 | 40 | 40 | 900 | 90 |
| NCSe/Ti3C2Tx−5 | 20 | 40 | 40 | 40 | 900 | 150 |
Disclaimer/Publisher’s Note: The statements, opinions and data contained in all publications are solely those of the individual author(s) and contributor(s) and not of MDPI and/or the editor(s). MDPI and/or the editor(s) disclaim responsibility for any injury to people or property resulting from any ideas, methods, instructions or products referred to in the content. |
© 2024 by the authors. Licensee MDPI, Basel, Switzerland. This article is an open access article distributed under the terms and conditions of the Creative Commons Attribution (CC BY) license (https://creativecommons.org/licenses/by/4.0/).
Share and Cite
Wu, L.; Shen, J.; Jin, B. Microwave-Assisted Synthesis of Few-Layer Ti3C2Tx Loaded with Ni0.5Co0.5Se2 Nanospheres for High-Performance Supercapacitors. Materials 2024, 17, 2292. https://doi.org/10.3390/ma17102292
Wu L, Shen J, Jin B. Microwave-Assisted Synthesis of Few-Layer Ti3C2Tx Loaded with Ni0.5Co0.5Se2 Nanospheres for High-Performance Supercapacitors. Materials. 2024; 17(10):2292. https://doi.org/10.3390/ma17102292
Chicago/Turabian StyleWu, Linghong, Juan Shen, and Bo Jin. 2024. "Microwave-Assisted Synthesis of Few-Layer Ti3C2Tx Loaded with Ni0.5Co0.5Se2 Nanospheres for High-Performance Supercapacitors" Materials 17, no. 10: 2292. https://doi.org/10.3390/ma17102292
APA StyleWu, L., Shen, J., & Jin, B. (2024). Microwave-Assisted Synthesis of Few-Layer Ti3C2Tx Loaded with Ni0.5Co0.5Se2 Nanospheres for High-Performance Supercapacitors. Materials, 17(10), 2292. https://doi.org/10.3390/ma17102292
