Insights into the Synthesis Parameters Effects on the Structural, Morphological, and Magnetic Properties of Copper Oxide Nanoparticles
Abstract
1. Introduction
- the combination of the so-called “oxalic conversion” or “oxalate precipitation” route with green chemistry by using glycerol as a green solvent to prepare CuO-NPs.
- the impact of different proportions of glycerol and oxalate ion precursors (oxalic acid and ammonium oxalate) on the structural, morphological, and magnetic properties of the green synthesized CuO-NPs.
2. Materials and Methods
2.1. Materials
2.2. Synthesis Process of CuO-NPs
2.3. Characterization Techniques
2.4. Theoretical Background
2.4.1. Estimation of the Average Crystallite Size
2.4.2. Hysteresis Loops Susceptibility Analysis
3. Results and Discussion
3.1. X-ray Structural Analysis and TEM Observations
3.2. Scanning Electron Microscopy
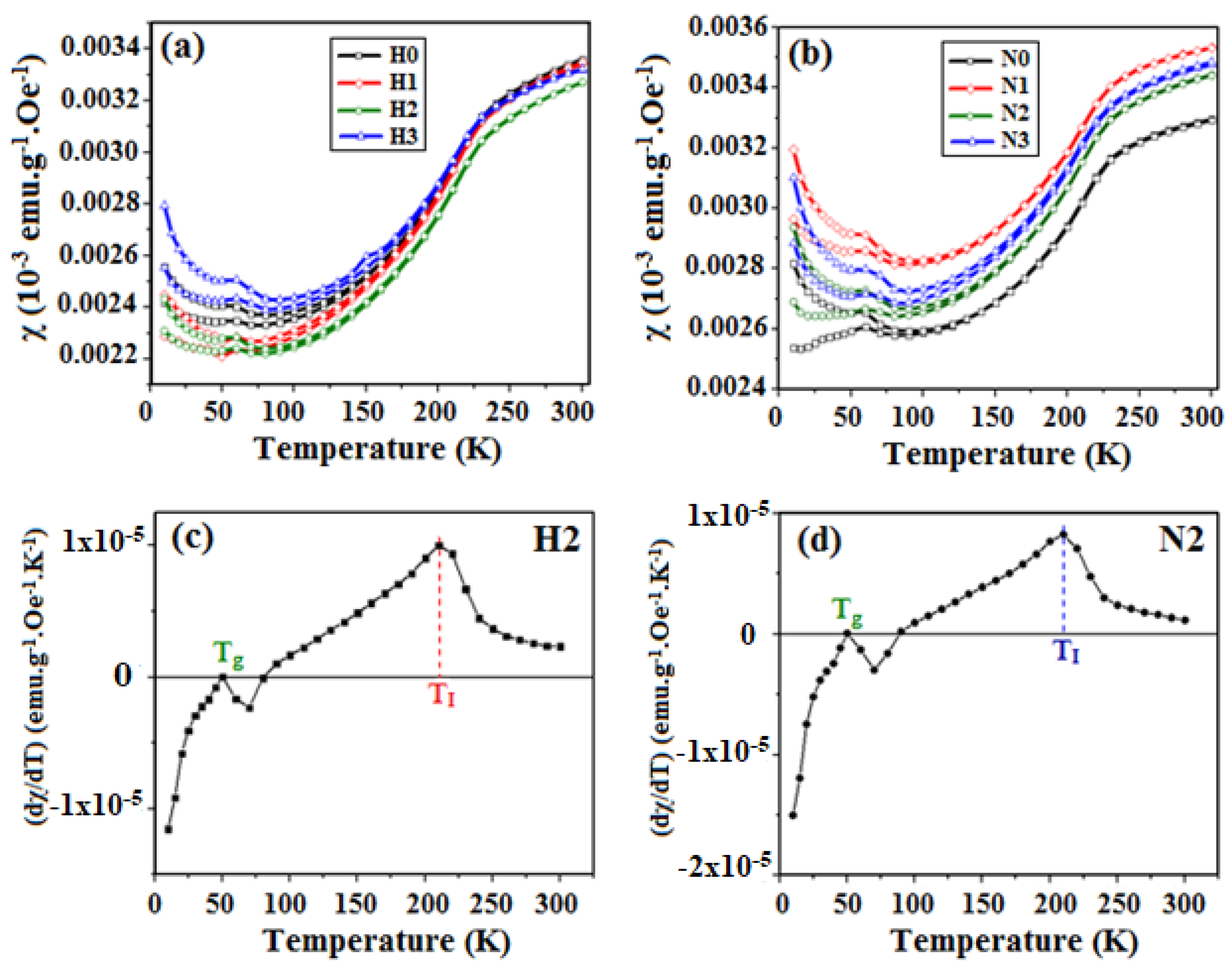
3.3. Magnetic Properties of CuO
4. Conclusions
Supplementary Materials
Author Contributions
Funding
Conflicts of Interest
References
- Zhang, Q.; Zhang, K.; Xu, D.; Yang, G.; Huang, H.; Nie, F.; Liu, C.; Yang, S. CuO nanostructures: Synthesis, characterization, growth mechanisms, fundamental properties, and applications. Prog. Mater. Sci. 2014, 60, 208–337. [Google Scholar] [CrossRef]
- Mohamed, M.A.; Galwey, A.K.; Halawy, S.A. A comparative study of the thermal reactivities of some transition metal oxalates in selected atmospheres. Thermochim. Acta 2005, 429, 57–72. [Google Scholar] [CrossRef]
- Donkova, B.; Mehandjiev, D. Review Thermal—Magnetic investigation of the decomposition of copper oxalate—A precursor for catalysts. J. Mater. Sci. 2005, 40, 3881–3886. [Google Scholar] [CrossRef]
- Fichtner-Schmittler, H. Comments on the structure of copper (II) oxalate: Discussion of X-ray powder diffraction and EXAFS results as a basis for the interpretation of magnetic properties. Cryst. Res. Technol. 1984, 19, 1225–1230. [Google Scholar] [CrossRef]
- Zhang, X.; Zhang, D.; Ni, X.; Zheng, H. Optical and electrochemical properties of nanosized CuO via thermal decomposition of copper oxalate. Solid-State Electron. 2008, 52, 245–248. [Google Scholar] [CrossRef]
- Nickolov, R.N.; Donkova, B.V.; Milenova, K.I.; Mehandjiev, D.R. Porous texture of CuO prepared from copper oxalate precursor. Adsorpt. Sci. Technol. 2006, 24, 497–506. [Google Scholar] [CrossRef]
- Kang, W.; Shen, Q. The shape-controlled synthesis and novel lithium storage mechanism of as-prepared CuC2O4·xH2O nanostructures. J. Power Sources 2013, 238, 203–209. [Google Scholar] [CrossRef]
- Oruç, Ç.; Altındal, A. Structural and dielectric properties of CuO nanoparticles. Ceram. Int. 2017, 43, 10708–10714. [Google Scholar] [CrossRef]
- Ananth, A.; Dharaneedharan, S.; Heo, M.S.; Mok, Y.S. Copper oxide nanomaterials: Synthesis, characterization and structure-specific antibacterial performance. Chem. Eng. J. 2015, 262, 179–188. [Google Scholar] [CrossRef]
- Tunell, G.; Posnjak, E.; Ksanda, C.J. Geometrical and optical properties, and crystal structure of tenorite. Z. Für Krist.-Cryst. Mater. 1935, 90, 120–142. [Google Scholar] [CrossRef]
- Wang, Z.; Qureshi, N.; Yasin, S.; Mukhin, A.; Ressouche, E.; Zherlitsyn, S.; Skourski, Y.; Geshev, J.; Ivanov, V.; Gospodinov, M.; et al. Magnetoelectric effect and phase transitions in CuO in external magnetic fields. Nat. Commun. 2016, 7, 10295. [Google Scholar] [CrossRef] [PubMed]
- Bisht, V.; Rajeev, K.P.; Banerjee, S. Anomalous magnetic behavior of CuO nanoparticles. Solid State Commun. 2010, 150, 884–887. [Google Scholar] [CrossRef]
- Hu, J.H.; Johnston, H.L. Low Temperature Heat Capacities of Inorganic Solids. XVI. Heat Capacity of Cupric Oxide from 15 to 300 °K. J. Am. Chem. Soc. 1953, 75, 2471–2473. [Google Scholar] [CrossRef]
- Ota, S.B.; Gmelin, E. Incommensurate antiferromagnetism in copper (II) oxide: Specific-heat study in a magnetic field. Phys. Rev. B 1992, 46, 11632. [Google Scholar] [CrossRef] [PubMed]
- Punnoose, A.; Magnone, H.; Seehra, M.S.; Bonevich, J. Bulk to nanoscale magnetism and exchange bias in CuO nanoparticles. Phys. Rev. B 2001, 64, 174420. [Google Scholar] [CrossRef]
- Burrows, N.D.; Kesselman, E.; Sabyrov, K.; Stemig, A.; Talmon, Y.; Penn, R.L. Crystalline nanoparticle aggregation in non-aqueous solvents. CrystEngComm 2014, 16, 1472–1481. [Google Scholar] [CrossRef]
- Wu, R.; Ma, Z.; Gu, Z.; Yang, Y. Preparation and characterization of CuO nanoparticles with different morphology through a simple quick-precipitation method in DMAC–water mixed solvent. J. Alloys Compd. 2010, 504, 45–49. [Google Scholar] [CrossRef]
- ZMahmoud, H.; Kareem, N.F.A.; Kareem, A.A.A. Effect of solvents on size of copper oxide nanoparticles fabricated using photolysis method. Asian J. Chem. 2018, 30, 223–225. [Google Scholar] [CrossRef]
- Siddiqui, H.; Parra, M.R.; Haque, F.Z. Optimization of process parameters and its effect on structure and morphology of CuO nanoparticle synthesized via the sol−gel technique. J. Sol-Gel Sci. Technol. 2018, 87, 125–135. [Google Scholar] [CrossRef]
- Díaz-Álvarez, A.E.; Francos, J.; Croche, P.; Cadierno, V. Recent advances in the use of glycerol as green solvent for synthetic organic chemistry. Curr. Green Chem. 2014, 1, 51–65. [Google Scholar] [CrossRef]
- Amaniampong, P.N.; Trinh, Q.T.; Varghese, J.J.; Behling, R.; Valange, S.; Mushrif, S.H.; Jérôme, F. Unraveling the mechanism of the oxidation of glycerol to dicarboxylic acids over a sonochemically synthesized copper oxide catalyst. Green Chem. 2018, 20, 2730–2741. [Google Scholar] [CrossRef]
- Gu, Y.; Jérôme, F. Glycerol as a sustainable solvent for green chemistry. Green Chem. 2010, 12, 1127–1138. [Google Scholar] [CrossRef]
- Chol, C.G.; Dhabhai, R.; Dalai, A.K.; Reaney, M. Purification of crude glycerol derived from biodiesel production process: Experimental studies and techno-economic analyses. Fuel Process. Technol. 2018, 178, 78–87. [Google Scholar] [CrossRef]
- Christensen, A.N.; Lebech, B.; Andersen, N.H.; Grivel, J.C. The crystal structure of paramagnetic copper (II) oxalate (CuC2O4): Formation and thermal decomposition of randomly stacked anisotropic nano-sized crystallites. Dalton Trans. 2014, 43, 16754–16768. [Google Scholar] [CrossRef]
- Singh, S.J.; Lim, Y.Y.; Hmar, J.J.L.; Chinnamuthu, P. Temperature dependency on Ce-doped CuO nanoparticles: A comparative study via XRD line broadening analysis. Appl. Phys. A 2022, 128, 188. [Google Scholar] [CrossRef]
- Lopez-Maldonado, K.L.; De la Presa, P.; Betancourt, I.; Mancilla, J.F.; Aquino, J.M.; Galindo, A.H.J.E. Superparamagnetic response of zinc ferrite incrusted nanoparticles. J. Alloys Compd. 2015, 637, 443–448. [Google Scholar] [CrossRef]
- Sakthivel, B.; Nammalvar, G. Selective ammonia sensor based on copper oxide/reduced graphene oxide nanocomposite. J. Alloys Compd. 2019, 788, 422–428. [Google Scholar] [CrossRef]
- Rele, M.; Kapoor, S.; Sharma, G.; Mukherjee, T. Reduction and aggregation of silver and thallium ions in viscous media. Phys. Chem. Chem. Phys. 2004, 6, 590–595. [Google Scholar] [CrossRef]
- Zelent, B.; Nucci, N.V.; Vanderkooi, J.M. Liquid and ice water and glycerol/water glasses compared by infrared spectroscopy from 295 to 12 K. J. Phys. Chem. A 2004, 108, 11141–11150. [Google Scholar] [CrossRef]
- Wang, Z.; Li, H.; Tang, F.; Ma, J.; Zhou, X. A facile approach for the preparation of nano-size zinc oxide in water/glycerol with extremely concentrated zinc sources. Nanoscale Res. Lett. 2018, 13, 202. [Google Scholar] [CrossRef]
- Baco-Carles, V.; Arnal, A.; Poquillon, D.; Tailhades, P. Correlation between the morphology of cobalt oxalate precursors and the microstructure of metal cobalt powders and compacts. Powder Technol. 2008, 185, 231–238. [Google Scholar] [CrossRef]
- Nagirnyak, S.V.; Lutz, V.A.; Dontsova, T.A.; Astrelin, I.M. Synthesis and characterization of tin (IV) oxide obtained by chemical vapor deposition method. Nanoscale Res. Lett. 2016, 11, 343. [Google Scholar] [CrossRef] [PubMed]
- Köbler, U.; Chattopadhyay, T. On the magnetic anisotropy of CuO. Z. Phys. B Condens.-Matter. 1991, 82, 383–386. [Google Scholar] [CrossRef]
- Das, R.; Alonso, J.; Jefremovas, E.M.; Barquín, L.F.; Ngoc, P.K.; Nguyen, H.T.; Viet, D.T.; Vinh, P.V.; Duong, A.T. Suppression of ferromagnetic order in CuO/Cu2O nanocomposites. Mater. Today Commun. 2022, 32, 104038. [Google Scholar] [CrossRef]
- Cobos, M.Á.; de la Presa, P.; Puente-Orench, I.; Llorente, I.; Morales, I.; García-Escorial, A.; Hernando, A.; Jiménez, J.A. Coexistence of antiferro-and ferrimagnetism in the spinel ZnFe2O4 with an inversion degree δ lower than 0.3. Ceram. Int. 2022, 48, 12048–12055. [Google Scholar] [CrossRef]
- Aliyu, H.D.; Alonso, J.M.; de la Presa, P.; Pottker, W.E.; Ita, B.; Garcia-Hernández, M.A. Hernando, A, Surface ferromagnetism in Pr0.5Ca0.5MnO3 nanoparticles as a consequence of local imbalance in Mn3+: Mn4+ ratio. Chem. Mater. 2018, 30, 7138–7145. [Google Scholar] [CrossRef]
- Gao, D.; Zhang, J.; Zhu, J.; Qi, J.; Zhang, Z.; Sui, W.; Shi, H.; Xue, D. Vacancy-mediated magnetism in pure copper oxide nanoparticles. Nanoscale Res. Lett. 2010, 5, 769–772. [Google Scholar] [CrossRef]
- Rao, G.N.; Yao, Y.D.; Chen, J.W. Evolution of size, morphology, and magnetic properties of CuO nanoparticles by thermal annealing. J. Appl. Phys. 2009, 105, 093901. [Google Scholar] [CrossRef]
- Bhalerao-Panajkar, R.S.; Shirolkar, M.M.; Das, R.; Maity, T.; Poddar, P.; Kulkarni, S.K. Investigations of magnetic and dielectric properties of cupric oxide nanoparticles. Solid State Commun. 2011, 151, 55–60. [Google Scholar] [CrossRef]
- Batsaikhan, E.; Lee, C.H.; Hsu, H.; Wu, C.M.; Peng, J.C.; Ma, M.H.; Deleg, S.; Li, W.H. Largely enhanced ferromagnetism in Bare CuO nanoparticles by a small size effect. ACS Omega 2020, 5, 3849–3856. [Google Scholar] [CrossRef]










| Oxalate Ion Source | Water:Glycerol Volume (mL) | Copper Oxalate Code | Copper Oxide Code |
|---|---|---|---|
| H2C2O4.2H2O | 60:0 | H0oxa | H0 |
| 45:15 | H1oxa | H1 | |
| 30:30 | H2oxa | H2 | |
| 15:45 | H3oxa | H3 | |
| (NH4)2C2O4.H2O | 60:0 | N0oxa | N0 |
| 45:15 | N1oxa | N1 | |
| 30:30 | N2oxa | N2 | |
| 15:45 | N3oxa | N3 |
| Samples | H0 | H1 | H2 | H3 | N0 | N1 * | N2 * | N3 * |
|---|---|---|---|---|---|---|---|---|
| Average crystallite sizes | ||||||||
| D(−111) (nm) | 25.08 | 25.62 | 24.49 | 24.49 | 26.35 | 24.86 | 24.21 | 21.47 |
| D(111) (nm) | 20.41 | 19.38 | 19.03 | 18.82 | 20.56 | 18.73 | 18.05 | 16.50 |
| Daverge (nm) | 22.75 | 22.50 | 21.76 | 21.65 | 23.45 | 21.79 | 21.13 | 18.98 |
| Lattice parameters (C 2/c space group) | ||||||||
| a (Å) | 4.6841 | 4.6849 | 4.6838 | 4.6840 | 4.6835 | 4.6849 | 4.6843 | 4.6853 |
| b (Å) | 3.4274 | 3.4286 | 3.4282 | 3.4280 | 3.4267 | 3.4277 | 3.4277 | 3.4280 |
| c (Å) | 5.1293 | 5.1318 | 5.1296 | 5.1304 | 5.1292 | 5.1299 | 5.1292 | 5.1321 |
| β (°) | 99.420 | 99.397 | 99.408 | 99.394 | 99.413 | 99.397 | 99.399 | 99.389 |
| Sample | Saturation Magnetization: Ms (emu.g−1) | Coercivity: Hc (Oe) | Particle Size (nm) |
|---|---|---|---|
| H2 | 0.0005 | 500 | 33.3 |
| H3 | 0.0023 | 1200 | 27.4 |
| N0 | 0.0014 | 680 | 36.4 |
| N1 | 0.0024 | 460 | 28.6 |
| N2 | 0.0014 | 540 | 25.2 |
| N3 | 0.0025 | 390 | 24.2 |
Disclaimer/Publisher’s Note: The statements, opinions and data contained in all publications are solely those of the individual author(s) and contributor(s) and not of MDPI and/or the editor(s). MDPI and/or the editor(s) disclaim responsibility for any injury to people or property resulting from any ideas, methods, instructions or products referred to in the content. |
© 2023 by the authors. Licensee MDPI, Basel, Switzerland. This article is an open access article distributed under the terms and conditions of the Creative Commons Attribution (CC BY) license (https://creativecommons.org/licenses/by/4.0/).
Share and Cite
Mbarek, F.; Chérif, I.; Chérif, A.; Alonso, J.M.; Morales, I.; de la Presa, P.; Ammar, S. Insights into the Synthesis Parameters Effects on the Structural, Morphological, and Magnetic Properties of Copper Oxide Nanoparticles. Materials 2023, 16, 3426. https://doi.org/10.3390/ma16093426
Mbarek F, Chérif I, Chérif A, Alonso JM, Morales I, de la Presa P, Ammar S. Insights into the Synthesis Parameters Effects on the Structural, Morphological, and Magnetic Properties of Copper Oxide Nanoparticles. Materials. 2023; 16(9):3426. https://doi.org/10.3390/ma16093426
Chicago/Turabian StyleMbarek, Fatma, Ichraf Chérif, Amira Chérif, José María Alonso, Irene Morales, Patricia de la Presa, and Salah Ammar. 2023. "Insights into the Synthesis Parameters Effects on the Structural, Morphological, and Magnetic Properties of Copper Oxide Nanoparticles" Materials 16, no. 9: 3426. https://doi.org/10.3390/ma16093426
APA StyleMbarek, F., Chérif, I., Chérif, A., Alonso, J. M., Morales, I., de la Presa, P., & Ammar, S. (2023). Insights into the Synthesis Parameters Effects on the Structural, Morphological, and Magnetic Properties of Copper Oxide Nanoparticles. Materials, 16(9), 3426. https://doi.org/10.3390/ma16093426

