Highly Efficient Oxygen Electrode Obtained by Sequential Deposition of Transition Metal-Platinum Alloys on Graphene Nanoplatelets
Abstract
1. Introduction
2. Materials and Methods
2.1. Preparation of the GNPs-Supported PtM Catalysts
2.2. Physical Characterization of the Catalysts
2.3. Electrode Preparation and Electrochemical Measurements
3. Results & Discussion
3.1. Catalysts Characterization
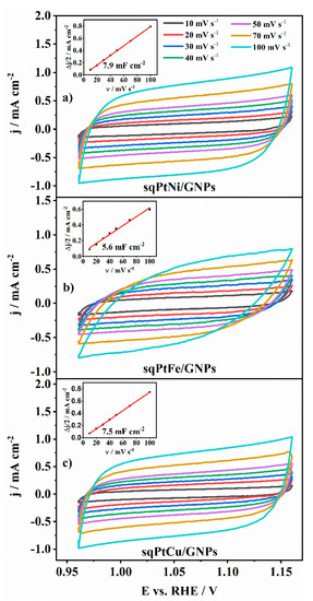
3.2. Electrochemical Characterization
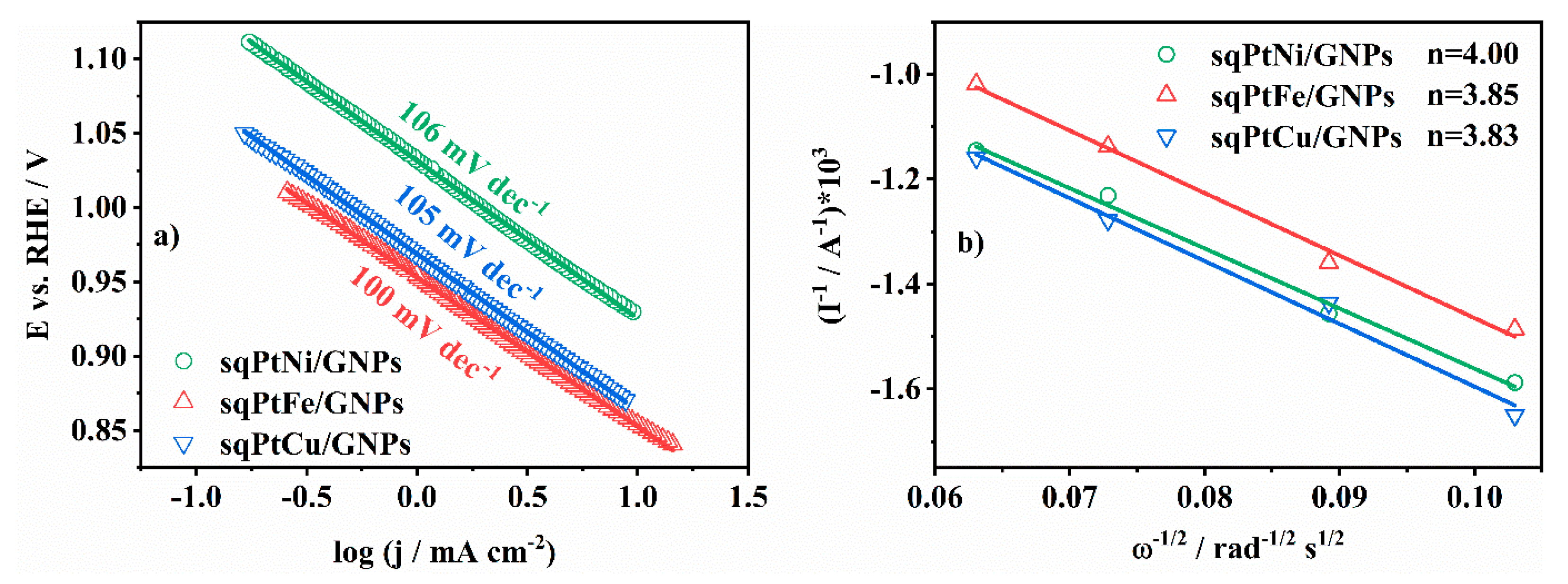
3.3. ORR Study
3.4. OER Study
4. Conclusions
Author Contributions
Funding
Institutional Review Board Statement
Informed Consent Statement
Data Availability Statement
Conflicts of Interest
References
- Mahajan, M.; Roy, K.; Parmar, S.; Singla, G.; Pandey, O.P.; Singh, K.; Vaidhyanathan, R.; Ogale, S. Room temperature processed In-situ carbon-coated vanadium carbide (VC@C) as a high capacity robust Li/Na battery anode material. Carbon 2020, 161, 108–116. [Google Scholar] [CrossRef]
- Bayrakceken, A.; Smirnova, A.; Kitkamthorn, U.; Aindow, M.; Turker, L.; Eroǧlu, I.; Erkey, C. Vulcan-supported Pt electrocatalysts for PEMFCs prepared using supercritical carbon dioxide deposition. Chem. Eng. Commun. 2009, 196, 194–203. [Google Scholar] [CrossRef]
- Daş, E.; Gürsel, S.A.; Yurtcan, A.B. Simultaneously deposited Pt-alloy nanoparticles over graphene nanoplatelets via supercritical carbon dioxide deposition for PEM fuel cells. J. Alloys Compd. 2021, 874, 159919. [Google Scholar] [CrossRef]
- Daş, E.; Alkan Gürsel, S.; Bayrakçeken Yurtcan, A. Pt-alloy decorated graphene as an efficient electrocatalyst for PEM fuel cell reactions. J. Supercrit. Fluids 2020, 165, 104962. [Google Scholar] [CrossRef]
- Mladenović, D.; Daş, E.; Santos, D.M.F.; Yurtcan, A.B.; Miljanić, Š.; Šljukić, B. Boosting oxygen electrode kinetics by addition of cost-effective transition metals (Ni, Fe, Cu) to platinum on graphene nanoplatelets. J. Alloys Compd. 2022, 905, 164156. [Google Scholar] [CrossRef]
- Barim, S.B.; Bozbag, S.E.; Deljoo, B.; Aindow, M.; Erkey, C. Highly active carbon supported PtCu electrocatalysts for PEMFCs by in situ supercritical deposition coupled with electrochemical dealloying. Fuel Cells 2020, 20, 285–299. [Google Scholar] [CrossRef]
- Daş, E.; Alkan Gürsel, S.; Işıkel Şanlı, L.; Bayrakçeken Yurtcan, A. Thermodynamically controlled Pt deposition over graphene nanoplatelets: Effect of Pt loading on PEM fuel cell performance. Int. J. Hydrogen Energy 2017, 42, 19246–19256. [Google Scholar] [CrossRef]
- Mladenović, D.; Santos, D.M.F.; Bozkurt, G.; Soylu, G.S.P.; Yurtcan, A.B.; Miljanić, Š.; Šljukić, B. Tailoring metal-oxide-supported PtNi as bifunctional catalysts of superior activity and stability for unitised regenerative fuel cell applications. Electrochem. Commun. 2021, 124, 106963. [Google Scholar] [CrossRef]
- Samuel, E.; Aldalbahi, A.; El-Newehy, M.; El-Hamshary, H.; Yoon, S.S. Nickel ferrite beehive-like nanosheets for binder-free and high-energy-storage supercapacitor electrodes. J. Alloys Compd. 2021, 852, 156929. [Google Scholar] [CrossRef]
- Cai, Y.Z.; Cao, W.Q.; Zhang, Y.L.; He, P.; Shu, J.C.; Cao, M.S. Tailoring rGO-NiFe2O4 hybrids to tune transport of electrons and ions for supercapacitor electrodes. J. Alloys Compd. 2019, 811, 152011. [Google Scholar] [CrossRef]
- Khan, I.A.; Qian, Y.; Badshah, A.; Zhao, D.; Nadeem, M.A. Fabrication of highly stable and efficient PtCu alloy nanoparticles on highly porous carbon for direct methanol fuel cells. ACS Appl. Mater. Interfaces 2016, 8, 20793–20801. [Google Scholar] [CrossRef]
- Neergat, M.; Rahul, R. Unsupported Cu-Pt core-shell nanoparticles: Oxygen reduction reaction (ORR) catalyst with better activity and reduced precious metal content. J. Electrochem. Soc. 2012, 159, F234–F241. [Google Scholar] [CrossRef]
- He, W.; Wu, W.; Tang, Z. Ultrasmall PtNi bimetallic nanoclusters for ultrasmall for oxygen reduction reaction in alkaline media. Int. J. Electrochem. Sci. 2018, 13, 4438–4454. [Google Scholar] [CrossRef]
- Zhu, L.; Zheng, T.; Yu, C.; Zheng, J.; Tang, Z.; Zhang, N.; Shu, Q.; Chen, B.H. Platinum-nickel alloy nanoparticles supported on carbon for 3-pentanone hydrogenation. Appl. Surf. Sci. 2017, 409, 29–34. [Google Scholar] [CrossRef]
- Yung, T.Y.; Liu, T.Y.; Huang, L.Y.; Wang, K.S.; Tzou, H.M.; Chen, P.T.; Chao, C.Y.; Liu, L.K. Characterization of Au and bimetallic PtAu nanoparticles on PDDA-graphene sheets as electrocatalysts for formic acid oxidation. Nanoscale Res. Lett. 2015, 10, 365. [Google Scholar] [CrossRef]
- McCrory, C.C.L.; Jung, S.; Peters, J.C.; Jaramillo, T.F. Benchmarking heterogeneous electrocatalysts for the oxygen evolution reaction. J. Am. Chem. Soc. 2013, 135, 16977–16987. [Google Scholar] [CrossRef] [PubMed]
- Connor, P.; Schuch, J.; Kaiser, B.; Jaegermann, W. The determination of electrochemical active surface area and specific capacity revisited for the system MnOx as an oxygen evolution catalyst. Z. Phys. Chem. 2020, 234, 979–994. [Google Scholar] [CrossRef]
- Lukaszewski, M.; Soszko, M.; Czerwiński, A. Electrochemical methods of real surface area determination of noble metal electrodes—An overview. Int. J. Electrochem. Sci. 2016, 11, 4442–4469. [Google Scholar] [CrossRef]
- Han, J.; Meng, X.; Lu, L.; Bian, J.; Li, Z.; Sun, C. Single-atom Fe-Nx-C as an efficient electrocatalyst for Zinc–air batteries. Adv. Funct. Mater. 2019, 29, 1808872. [Google Scholar] [CrossRef]
- Yang, Z.K.; Lin, L.; Xu, A.W. 2D Nanoporous Fe−N/C nanosheets as highly efficient non-platinum electrocatalysts for oxygen reduction reaction in Zn-air battery. Small 2016, 12, 5710–5719. [Google Scholar] [CrossRef] [PubMed]
- Wang, B.; Xu, L.; Liu, G.; Ye, Y.; Quan, Y.; Wang, C.; Wei, W.; Zhu, W.; Xu, C.; Li, H.; et al. In situ confinement growth of peasecod-like N-doped carbon nanotubes encapsulate bimetallic FeCu alloy as a bifunctional oxygen reaction cathode electrocatalyst for sustainable energy batteries. J. Alloys Compd. 2020, 826, 154152. [Google Scholar] [CrossRef]
- Bampos, G.; Sygellou, L.; Bebelis, S. Oxygen reduction reaction activity of Pd-based bimetallic electrocatalysts in alkaline medium. Catal. Today 2020, 355, 685–697. [Google Scholar] [CrossRef]
- Zhao, J.; Pu, Z.; Jin, H.; Zhang, Z.; Liu, J.; Mu, S. Phosphorous-doped carbon coordinated iridium diphosphide bifunctional catalyst with ultralow iridium amount for efficient all-pH-value hydrogen evolution and oxygen reduction reactions. J. Catal. 2020, 383, 244–253. [Google Scholar] [CrossRef]
- Jiang, A.; Wang, Z.; Li, Q.; Dong, M. An efficient ruthenium-based dual-electrocatalyst towards hydrogen evolution and oxygen reduction reactions. Mater. Today Phys. 2021, 16, 100300. [Google Scholar] [CrossRef]
- Liang, X.X.; Weng, W.; Gu, D.; Xiao, W. Nickel based oxide film formed in molten salts for efficient electrocatalytic oxygen evolution. J. Mater. Chem. A 2019, 7, 10514–10522. [Google Scholar] [CrossRef]
- Wen, X.; Bai, L.; Li, M.; Guan, J. Ultrafine iridium oxide supported on carbon nanotubes for efficient catalysis of oxygen evolution and oxygen reduction reactions. Mater. Today Energy 2018, 10, 153–160. [Google Scholar] [CrossRef]
- Dong, C.; Zhang, X.; Xu, J.; Si, R.; Sheng, J.; Luo, J.; Zhang, S.; Dong, W.; Li, G.; Wang, W.; et al. Ruthenium-doped cobalt–chromium layered double hydroxides for enhancing oxygen evolution through regulating charge transfer. Small 2020, 16, 1905328. [Google Scholar] [CrossRef]
- Gao, C.; Wang, H.; Li, S.; Liu, B.; Yang, J.; Gao, J.; Peng, Z.; Zhang, Z.; Liu, Z. Enhanced cobalt-based catalysts through alloying ruthenium to cobalt lattice matrix as an efficient catalyst for overall water splitting. Electrochim. Acta 2019, 327, 134958. [Google Scholar] [CrossRef]
- Swierk, J.R.; Klaus, S.; Trotochaud, L.; Bell, A.T.; Tilley, T.D. Electrochemical study of the energetics of the oxygen evolution reaction at Nickel Iron (oxy)hydroxide catalysts. J. Phys. Chem. C 2015, 119, 19022–19029. [Google Scholar] [CrossRef]
- Brug, G.J.; van den Eeden, A.L.G.; Sluyters-Rehbach, M.; Sluyters, J.H. The analysis of electrode impedances complicated by the presence of a constant phase element. J. Electroanal. Chem. Interfacial Electrochem. 1984, 176, 275–295. [Google Scholar] [CrossRef]
- Milikić, J.; Vasić, M.; Amaral, L.; Cvjetićanin, N.; Jugović, D.; Hercigonja, R.; Šljukić, B. NiA and NiX zeolites as bifunctional electrocatalysts for water splitting in alkaline media. Int. J. Hydrogen Energy 2018, 43, 18977–18991. [Google Scholar] [CrossRef]
- Wu, G.; More, K.L.; Johnston, C.M.; Zelenay, P. High-performance electrocatalysts for oxygen reduction derived from polyaniline, iron, and cobalt. Science 2011, 332, 443–447. [Google Scholar] [CrossRef] [PubMed]
- Yang, L.; Cheng, D.; Xu, H.; Zeng, X.; Wan, X.; Shui, J.; Xiang, Z.; Cao, D. Unveiling the high-activity origin of single-atom iron catalysts for oxygen reduction reaction. Proc. Natl. Acad. Sci. USA 2018, 115, 6626–6631. [Google Scholar] [CrossRef] [PubMed]
- Zhang, H.; Hwang, S.; Wang, M.; Feng, Z.; Karakalos, S.; Luo, L.; Qiao, Z.; Xie, X.; Wang, C.; Su, D.; et al. Single atomic Iron catalysts for oxygen reduction in acidic media: Particle size control and thermal activation. J. Am. Chem. Soc. 2017, 139, 14143–14149. [Google Scholar] [CrossRef] [PubMed]
- Deng, Q.; Zhao, J.; Wu, T.; Chen, G.; Hansen, H.A.; Vegge, T. 2D transition metal–TCNQ sheets as bifunctional single-atom catalysts for oxygen reduction and evolution reaction (ORR/OER). J. Catal. 2019, 370, 378–384. [Google Scholar] [CrossRef]
- Chen, P.; Zhou, T.; Xing, L.; Xu, K.; Tong, Y.; Xie, H.; Zhang, L.; Yan, W.; Chu, W.; Wu, C.; et al. Atomically dispersed Iron–Nitrogen species as electrocatalysts for bifunctional oxygen evolution and reduction reactions. Angew. Chem.-Int. Ed. 2017, 56, 610–614. [Google Scholar] [CrossRef] [PubMed]
- Bai, L.; Duan, Z.; Wen, X.; Guan, J. Bifunctional atomic iron-based catalyst for oxygen electrode reactions. J. Catal. 2019, 378, 353–362. [Google Scholar] [CrossRef]
- Wu, H.B.; Lou, X.W. Metal-organic frameworks and their derived materials for electrochemical energy storage and conversion: Promises and challenges. Sci. Adv. 2017, 3, 1837–1866. [Google Scholar] [CrossRef]
- Zhang, H.; Nai, J.; Yu, L.; Lou, X.W. Metal-organic-framework-based materials as platforms for renewable energy and environmental applications. Joule 2017, 1, 77–107. [Google Scholar] [CrossRef]
- Kuroki, H.; Yamaguchi, T.; Imura, Y.; Fujita, R.; Tamaki, T. Carbon-free platinum−iron nanonetworks with chemically ordered structures as durable oxygen reduction electrocatalysts for polymer electrolyte fuel cells. ACS Appl. Nano Mater. 2020, 3, 9912–9923. [Google Scholar] [CrossRef]
- Mao, Z.; Tang, X.; An, X.; Jiang, J. Defective nanomaterials for electrocatalysis oxygen reduction reaction. Front. Chem. 2022, 10, 1023617. [Google Scholar] [CrossRef] [PubMed]
- Parmar, S.; Das, T.; Ray, B.; Debnath, B.; Gosavi, S.; Shanker, G.S.; Datar, S.; Chakraborty, S.; Ogale, S. N, H dual-doped black anatase TiO2 thin films toward significant self-activation in electrocatalytic hydrogen evolution reaction in alkaline media. Adv. Energy Sustain. Res. 2022, 3, 2100137. [Google Scholar] [CrossRef]
- Huo, L.; Liu, B.; Zhang, G.; Si, R.; Liu, J.; Zhang, J. 2D layered non-precious metal mesoporous electrocatalysts for enhanced oxygen reduction reaction. J. Mater. Chem. A 2017, 5, 4868–4878. [Google Scholar] [CrossRef]
- Wang, Z.; Ang, J.; Liu, J.; Ma, X.Y.D.; Kong, J.; Zhang, Y.; Yan, T.; Lu, X. FeNi alloys encapsulated in N-doped CNTs-tangled porous carbon fibers as highly efficient and durable bifunctional oxygen electrocatalyst for rechargeable zinc-air battery. Appl. Catal. B 2020, 263, 118344. [Google Scholar] [CrossRef]











| Material | b1/ mV dec−1 | b2/ mV dec−1 | jd/mA cm−2 | n | jk/mA cm−2 | Cdl/mF cm−2 | ECSA/cm2 | E1/2 vs. RHE/V | Source |
|---|---|---|---|---|---|---|---|---|---|
| sqPtNi/GNPs (sequentially) | 106 | - | −4.14 | 4.00 | −2.41 | 7.9 | 197.5 | 0.98 | This work |
| sqPtFe/GNPs (sequentially) | 100 | - | −4.48 | 3.85 | −3.65 | 5.6 | 140 | 0.90 | This work |
| sqPtCo/GNPs (sequentially) | 105 | - | −3.99 | 3.83 | −2.51 | 7.5 | 187.5 | 0.92 | This work |
| Pt/GNPs | 65 | 102 | −3.71 | 3.77 | −2.05 | 8.2 | 205 | 0.98 | [5] |
| PtNi/GNPs (simultaneously) | 102 | - | −3.65 | 3.93 | −1.73 | 4.5 | 112.5 | 0.94 | [5] |
| PtFe/GNPs (simultaneously) | 81 | 66 | −4.65 | 3.66 | −5.94 | 7.2 | 180 | 0.91 | [5] |
| PtCu/GNPs (simultaneously) | 67 | - | −4.37 | 3.61 | −3.69 | 5.1 | 127.5 | 0.90 | [5] |
| Pt/C (40 wt.% Pt) | 79 | 60 | −6.43 | 3.97 | 14.9 | 3.10 | 77.5 | - | [8] |
| Fe-Nx-C | 69 | - | −5.44 | 3.9 | 14.7 | - | - | 0.91 | [19] |
| Fe-N/C-700 | - | - | ≈−5.9 | 4.02 | 4.1 | - | - | 0.84 | [20] |
| Fe-N/C | 92.5 | - | ≈−5.9 | - | - | 20.06 | - | 0.818 | [21] |
| FeCu0.3-N/C | 92.1 | - | ≈−6.1 | - | - | 27.74 | - | 0.865 | [21] |
| 7.5Pd-2.5Cu | - | - | ≈−8 | 4.1 | - | - | - | ≈0.90 | [22] |
| 7.5Pd-2.5Fe | - | - | ≈−8.4 | 3.9 | - | - | - | ≈0.83 | [22] |
| 7.5Pd-2.5Ni | - | - | ≈−9 | 4.1 | - | - | - | ≈0.86 | [22] |
| IrP2@PC | - | - | ≈−6 | 3.98 | - | - | - | 0.81 | [23] |
| Ru1.0/HNCS | 107 | - | ≈−4.2 | 3.97 | - | - | - | - | [24] |
| Material | b/mV dec−1 | j0/mA cm−2 | η10/V | j400/mA cm−2 | ΔE/V | Source |
|---|---|---|---|---|---|---|
| sqPtNi/GNPs (sequentially) | 355 | 0.186 | 0.654 | 2.47 | 0.904 | This work |
| sqPtFe/GNPs (sequentially) | 307 | 0.143 | 0.582 | 2.98 | 0.912 | This work |
| sqPtCo/GNPs (sequentially) | 454 | 0.268 | 0.690 | 2.59 | 1.00 | This work |
| Pt/GNPs | 478 | 0.286 | 0.765 | 1.95 | 1.02 | [5] |
| PtNi/GNPs (simultaneously) | 356 | 0.187 | 0.652 | 2.64 | 0.94 | [5] |
| PtFe/GNPs (simultaneously) | 280 | 0.118 | 0.572 | 2.89 | 0.89 | [5] |
| PtCu/GNPs (simultaneously) | 490 | 0.295 | 0.660 | 3.27 | 0.99 | [5] |
| Pt/C (40 wt.% Pt) | 198 | 0.030 | 0.576 | 1.59 | - | [8] |
| Fe-Nx-C | 243 | - | 0.600 | - | 0.92 | [19] |
| NiFe2O4 | 35.9 | - | 0.326 | - | - | [25] |
| Fe-N/C | 334.4 | - | 0.545 | - | 0.957 | [21] |
| FeCu0.3-N/C | 263.4 | - | 0.412 | - | 0.777 | [21] |
| IrO2@CNT | 44 | - | 0.217 | - | - | [26] |
| CoCrRu LDHs | 56 | - | 0.290 | - | - | [27] |
| RuCo@NC-750 | 140 | - | 0.308 | - | - | [28] |
| Parameter | Material | ||
|---|---|---|---|
| sqPtNi/GNPs | sqPtFe/GNPs | sqPtCu/GNPs | |
| Rs/Ω | 52 ± 1% | 64 ± 1% | 46 ± 1% |
| Rct/Ω | 158 ± 2% | 40 ± 5% | 120 ± 4% |
| Q1/sN Ω−1 | 0.00053 ± 7% | 0.00115 ± 22% | 0.00137 ± 8% |
| N1 | 0.70 ± 2% | 0.78 ± 7% | 0.75 ± 3% |
Disclaimer/Publisher’s Note: The statements, opinions and data contained in all publications are solely those of the individual author(s) and contributor(s) and not of MDPI and/or the editor(s). MDPI and/or the editor(s) disclaim responsibility for any injury to people or property resulting from any ideas, methods, instructions or products referred to in the content. |
© 2023 by the authors. Licensee MDPI, Basel, Switzerland. This article is an open access article distributed under the terms and conditions of the Creative Commons Attribution (CC BY) license (https://creativecommons.org/licenses/by/4.0/).
Share and Cite
Mladenović, D.; Daş, E.; Santos, D.M.F.; Bayrakçeken Yurtcan, A.; Šljukić, B. Highly Efficient Oxygen Electrode Obtained by Sequential Deposition of Transition Metal-Platinum Alloys on Graphene Nanoplatelets. Materials 2023, 16, 3388. https://doi.org/10.3390/ma16093388
Mladenović D, Daş E, Santos DMF, Bayrakçeken Yurtcan A, Šljukić B. Highly Efficient Oxygen Electrode Obtained by Sequential Deposition of Transition Metal-Platinum Alloys on Graphene Nanoplatelets. Materials. 2023; 16(9):3388. https://doi.org/10.3390/ma16093388
Chicago/Turabian StyleMladenović, Dušan, Elif Daş, Diogo M. F. Santos, Ayşe Bayrakçeken Yurtcan, and Biljana Šljukić. 2023. "Highly Efficient Oxygen Electrode Obtained by Sequential Deposition of Transition Metal-Platinum Alloys on Graphene Nanoplatelets" Materials 16, no. 9: 3388. https://doi.org/10.3390/ma16093388
APA StyleMladenović, D., Daş, E., Santos, D. M. F., Bayrakçeken Yurtcan, A., & Šljukić, B. (2023). Highly Efficient Oxygen Electrode Obtained by Sequential Deposition of Transition Metal-Platinum Alloys on Graphene Nanoplatelets. Materials, 16(9), 3388. https://doi.org/10.3390/ma16093388

