Antioxidant Protection of Paper Heritage Objects with 4-Amino-2,2,6,6-Tetramethylpiperidine
Abstract
1. Introduction
2. Materials and Methods
2.1. Samples
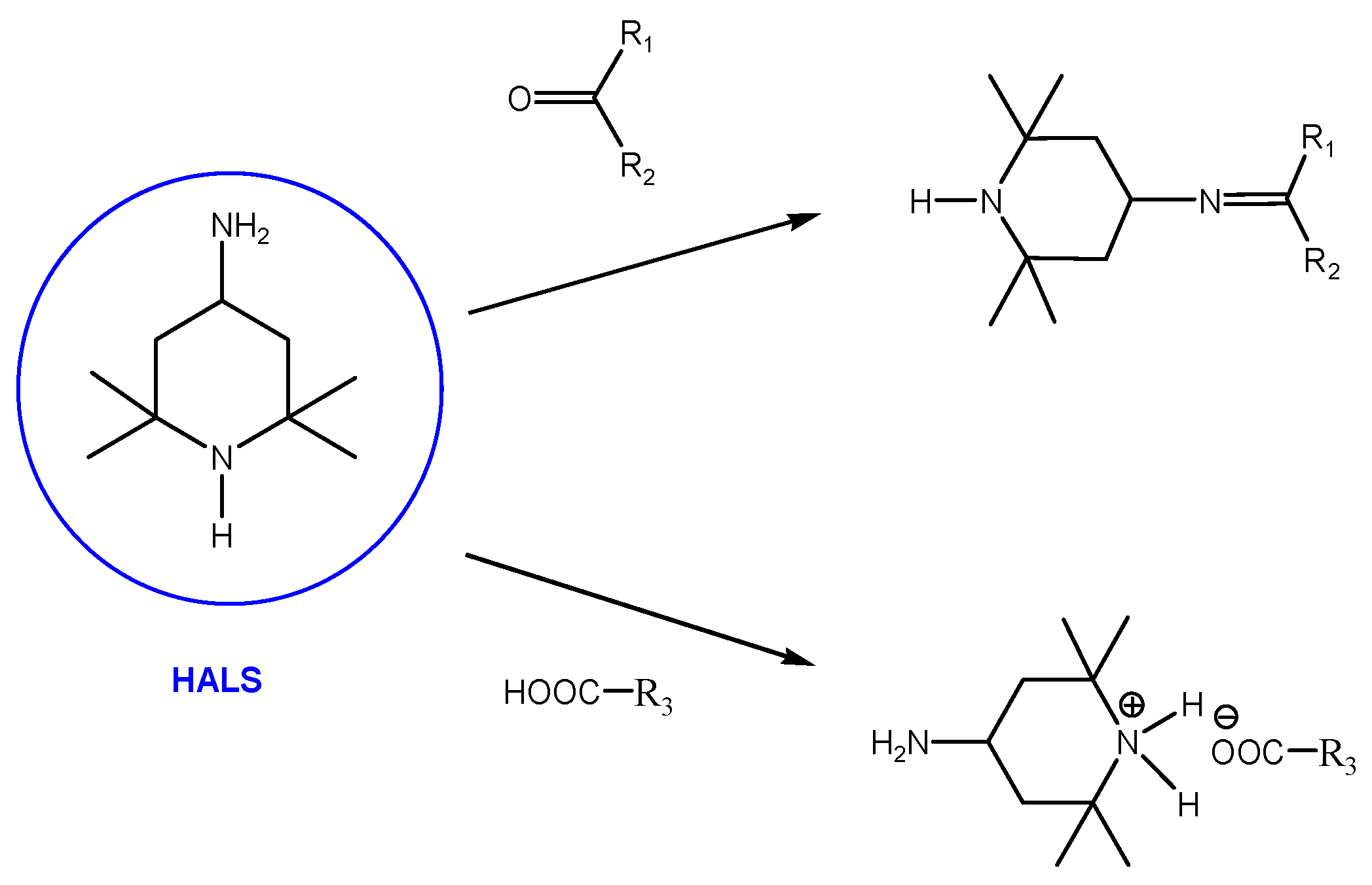
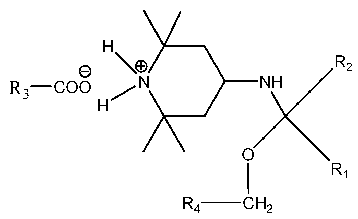
2.2. Modification Systems
2.3. Modification Technique
2.4. Accelerated Aging
2.5. Folding Endurance
2.6. pH Measurement
2.7. Gel Permeation Chromatography
2.8. Fourier Transform Infrared Spectroscopy (FTIR)
3. Results
3.1. Folding Endurance
| Time | Folding Endurance [Double Folds ± sd] | ||||
|---|---|---|---|---|---|
| [Days] | Control | DAO3 I. | DAO3 II. | METE | DAO3 II. + METE |
| 0 | 696 ± 221 | 568 ± 123 | 570 ± 160 | 382 ± 146 | 580 ± 100 |
| 3 | 148 ± 48 | 376 ± 105 | 220 ± 60 | 284 ± 82 | 300 ± 100 |
| 5 | 42 ± 17 | 180 ± 54 | 120 ± 58 | 327 ± 75 | 240 ± 70 |
| 10 | 5 ± 1 | 92 ± 36 | 140 ± 61 | 195 ± 52 | 210 ± 60 |
| 15 | 1 ± 0 | 67 ± 26 | 250 ± 80 | 144 ± 54 | 260 ± 130 |
| Time | Folding Endurance [Double Folds ± sd] | |||
|---|---|---|---|---|
| [Days] | Control | METE | DAO3 II. | DAO3 II. + METE |
| 0 | 227 ± 105 | 155 ± 83 | 141 ± 62 | 207 ± 118 |
| 3 | 24 ± 12 | 72 ± 36 | 36 ± 22 | 112 ± 39 |
| 5 | 9 ± 5 | 61 ± 35 | 13 ± 5 | 101 ± 49 |
| 10 | 1 ± 1 | 42 ± 23 | 3 ± 2 | 33 ± 15 |
| 15 | 1 ± 0 | 31 ± 20 | 2 ± 1 | 22 ± 7 |
3.2. Surface pH
3.3. Gel Permeation Chromatography
| Modification/Sample | NOVO [Day−1] | BOOK [Day−1] |
|---|---|---|
| Reference sample | 1.35 × 10−4 | 5.74 × 10−5 |
| METE | 4.42 × 10−5 | 4.69 × 10−6 |
| DAO3 I. (0.7% wt) | 8.02 × 10−5 | NM * |
| DAO3 II. (1% wt) | 8.97 × 10−6 | 4.03 × 10−5 |
| METE + DAO3 II. | 1.92 × 10−5 | 2.49 × 10−6 |
3.4. Fourier Transform Infrared Spectroscopy/Oxidation Index
4. Discussion
5. Conclusions
- It was confirmed that the application of the system containing deacidification and an antioxidant component may increase the effectiveness of the protection of acid groundwood paper heritage objects;
- The addition of the tested antioxidant to the proposed deacidification system has a favorable effect on the stabilization of the pH value for a long amount of accelerated aging;
- The MMS provides inhibition of the oxidative degradation products’ formation and the stabilization of the cellulose polymerization degree;
- The importance of adding an antioxidant increases with the length of time the objects are aged; when growing, they need to eliminate oxidative degradation products;
- Modification does not significantly change the appearance of individual samples during the accelerated aging in comparison to the unmodified reference sample;
- Based on the research findings in the conservation of paper heritage objects, given the need to eliminate the causes (oxidation), consequences (acid hydrolysis), and expressions (brittleness) of material degradation, it is recommended to apply multifunctional modification systems in the field of preserving paper-based heritage objects.
Author Contributions
Funding
Institutional Review Board Statement
Informed Consent Statement
Data Availability Statement
Acknowledgments
Conflicts of Interest
References
- Vizárová, K.; Kirschnerová, S.; Kačík, F.; Briškárová, A.; Šutý, Š.; Katuščák, S. Relationships between decrease of degree of polymerization of cellulose and loss of wood-pulp paper mechanical properties during accelerated aging. Chem. Pap. 2012, 66, 1124–1129. [Google Scholar] [CrossRef]
- Hubbe, M.; Smith, R.; Zou, X.; Katuščák, S.; Potthast, A.; Ahn, K. Deacidification of Acidic Books and Paper by Means of Non-aqueous Dispersions of Alkaline Particles: A Review Focusing on Completeness of the Reaction. BioResources 2017, 12, 4410–4470. [Google Scholar] [CrossRef]
- Hubbe, M.; Henniges, U.; Potthast, A.; Ahn, K.; Smith, R. Nonaqueous Solution Deacidification Treatments to Prolong the Storage Life of Acidic Books: A Review of Mechanistic and Process Aspects. BioResources 2018, 13, 7096–7136. [Google Scholar] [CrossRef]
- Ahn, K.; Henniges, U.; Bluher, A.; Banik, G.; Potthast, A. Sustainability of Mass Deacidification. Part I: Concept, Selection of Sample Books and pH-Determination. Restaurator 2011, 32, 193–222. [Google Scholar] [CrossRef]
- Potthast, A.; Ahn, K. Critical evaluation of approaches toward mass deacidification of paper by dispersed particles. Cellulose 2017, 24, 323–332. [Google Scholar] [CrossRef]
- Havlínová, B.; Mináriková, J.; Hanus, J.; Jančovičová, V.; Szabóová, Z. The Conservation on Historical Documents Carrying Iron Gall Ink by Antioxidants. Restaurator 2007, 28, 112. [Google Scholar] [CrossRef]
- Kolar, J.; Strlič, M.; Novak, G.; Philar, B. Aging and stabilization of alkaline paper. J. Pulp Pap. Sci. 1988, 24, 89–94. [Google Scholar]
- Williams, J.C.; Fowler, C.S.; Lyon, M.C.; Merril, T.L. Metallic catalysts in the oxidative degradation of paper. In Preservation of Paper and Textiles of Historic and Artistic Value; Williams, J.C., Ed.; Advances in Chemistry Series; American Chemical Society: Washington, DC, USA, 1977; Volume 164, pp. 37–61. [Google Scholar]
- Malešič, J.; Kolar, J.; Strlič, M.; Polanc, S. The use of halides for stabilization of iron gall ink containing paper—The pronounced effect of a cation. E-Preserv. Sci. 2005, 2, 13–18. [Google Scholar]
- Katuščák, S.; Bakoš, D.; Bukovský, V.; Katuščák, D. Preservation, Stabilization and Conservation of Traditional Information Carries of the Slovak Republic. State Program of Research and Development, Final Report, Bratislava, Slovakia. March 2009. Available online: https://www.researchgate.net/publication/307855080_Preservation_stabilization_and_conservation_of_traditional_carriers_of_information (accessed on 27 February 2023).
- Vizárová, K.; Tiňo, R. Multifunctional Conservation Technologies for Preservation of Cultural Heritage Objects and Materials; Restitutio (Conservation-Restoration Bulletin): Bucharest, Romania, 2016; Volume II, pp. 250–252. [Google Scholar]
- Vizárová, K.; Tiňo, R.; Jablonský, M.; Reháková, M.; Hanus, J.; Katuščák, S. Development of Multifunctional Conservation Technologies for the Preservation of Cultural Heritage Objects and Materials; Slovak University of Technology in Bratislava: Bratislava, Slovak, 2016; ISBN 978-80-89597-41-3. [Google Scholar]
- Jablonský, M.; Šima, J. Stability of Alum-Containing Paper under Alkaline Conditions. Molecules 2020, 25, 5815. [Google Scholar] [CrossRef]
- Havlínová, B.; Mináriková, J.; Katučšák, K.; Maková, A. Mixture Intended for Single-Step Modification of Acidic Papers, and Method of Using the Mixture. WO2011053262, 14 July 2011. [Google Scholar]
- Vizárová, K.; Kirschnerová, S.; Považanec, F.; Kazíková, J.; Katuščák, S. Preparation for Chemical Modification of Old Paper. SK288084 (B6), 9 May 2013. Available online: https://skpatents.com/7-288084-pripravok-na-chemicku-modifikaciu-stareho-papiera.html (accessed on 27 February 2023).
- Kirschnerová, S. Influence of Multifunctional Modification Systems on Stability and Quality of Documents. Ph.D. Thesis, Slovak University of Technology, Bratislava, Slovakia, 2009. [Google Scholar]
- Schwetlick, K.; Habicher, W.D. Antioxidant action mechanisms of hindered amine stabilizers. Polym. Degrad. Stab. 2002, 78, 35–40. [Google Scholar] [CrossRef]
- Yamashita, H.; Ohkatsu, Y. A new antagonism between hindered amine light stabilizers and acid compounds including phenolic antioxidant. Polym. Degrad. Stab. 2003, 80, 421–426. [Google Scholar] [CrossRef]
- Zeynalov, E.B.; Allen, S.N. Simultaneous determination of the content and activity of sterically hindered phenolic and amine stabilizers by means of an oxidative model reaction. Polym. Degrad. Stab. 2004, 85, 847–853. [Google Scholar] [CrossRef]
- Boersma, A. Predicting the efficiency of antioxidants in polymers. Polym. Degrad. Stab. 2006, 91, 472–478. [Google Scholar] [CrossRef]
- Jipa, S.; Zaharescu, T.; Setnescu, R.; Gorghiu, L.M.; Dumitrescu, C.; Oros, C. Chemiluminescence study on HALS antioxidant activity in LDPE. Polym. Bull. 2006, 57, 545–552. [Google Scholar] [CrossRef]
- Gijsman, P. The mechanism of action of hindered amine stabilizers (HAS) as long-term heat stabilizers. Polym. Degrad. Stab. 1994, 43, 171–176. [Google Scholar] [CrossRef]
- Katuščák, S.; Jablonský, M.; Holúbková, S. Comparative evaluation of deacidification processes. In Eine Zukunft fűr Saures Papier; Perspektiven von Archiven und Bibliotheken nach Abschluss des KUR-Projekts, “Nachhaltigkeit der Massenentsäuerung von Bibliotheksgut” Zeitschrift für Bibliothekswesen und Bibliographie Sonderbände; Vittorio Klostermann: Frankfurt, Germany, 2012; Volume 106, pp. 149–176. ISBN 978-3-465-03728-6. [Google Scholar]
- Andres, H.; Blüher, A.; Grossenbacher, G.; Reist, M.; Vogelsanger, B.; Wälchli, M. The Papersave Swiss—Process quality control and efficacy. Restaurator 2008, 28, 3–28. [Google Scholar] [CrossRef]
- Ramin, M.; Andres, H.; Bluher, A.; Reist, M.; Wälchli, M. Paper De-acidification A Comparative study. J. Paper Conserv. 2009, 10, 17–25. [Google Scholar]
- Katuščák, S.; Jablonský, M. Multifunction Device for Modification of Cellulose Materials and Method for Modification of Cellulose Materials. SK287845 (B6), 4 January 2012. [Google Scholar]
- Kačík, F.; Kačíková, D.; Jablonský, M.; Katuščák, S. Cellulose degradation in newsprint paper aging. Polym. Degrad. Stab. 2009, 94, 1509–1514. [Google Scholar] [CrossRef]
- Jablonský, M.; Holúbková, S.; Kazíková, J.; Botková, M.; Ház, A.; Bajzíková, M. The treatment of acid newsprint paper: Evaluation of treatment by MgO or by a mixture of MgO and methyl methoxy magnesium carbonate. Wood Res. 2013, 58, 151–164. [Google Scholar]
- Banik, G.; Brückle, I. Paper and Water; Anton Siegl Fachbuchhandlung GmbH: Munich, Germany, 2018; ISBN 978-3-935643-91-7. [Google Scholar]
- Calvini, P. The role of the Ekenstam equation on the kinetics of cellulose hydrolytic degradation. Cellulose 2012, 19, 313–318. [Google Scholar] [CrossRef]
- Lojewska, J.; Miskowiec, P.; Proniewicz, L.M. Cellulose oxidative and hydrolytic degradation: In situ FTIR approach. Polym. Degrad. Stab. 2005, 88, 512–520. [Google Scholar] [CrossRef]
- Al-Malaika, S.; Scott, G.; Wirjosentono, B. Mechanisms of antioxidant action: Polymer-bound hindered amines by reactive processing, Part III Effect of reactive antioxidant structure. Polym. Degrad. Stab. 1993, 40, 233–238. [Google Scholar] [CrossRef]
- Poleunis, C.; Médard, N.; Bertrand, P. Additive quantification on polymer thin films by ToF-SIMS: Aging sample effects. Appl. Surf. Sci. 2004, 231–232, 269–273. [Google Scholar] [CrossRef]










| NOVO | BOOK | |||
|---|---|---|---|---|
| tlogw=0 | Sτ,ω | tlogw=0 | Sτ,ω | |
| reference | 14.34 | 13.24 | ||
| DAO3 I. | 42.12 | 2.94 | NM * | NM * |
| DAO3 II. | 130.28 | 9.08 | 49.00 | 3,70 |
| METE | 91.77 | 6.40 | 15.38 | 1.20 |
| DAO3 II.+ METE | 133.61 | 9.32 | 34.57 | 2.60 |
Disclaimer/Publisher’s Note: The statements, opinions and data contained in all publications are solely those of the individual author(s) and contributor(s) and not of MDPI and/or the editor(s). MDPI and/or the editor(s) disclaim responsibility for any injury to people or property resulting from any ideas, methods, instructions or products referred to in the content. |
© 2023 by the authors. Licensee MDPI, Basel, Switzerland. This article is an open access article distributed under the terms and conditions of the Creative Commons Attribution (CC BY) license (https://creativecommons.org/licenses/by/4.0/).
Share and Cite
Vizárová, K.; Malečková, S.; Tiňo, R.; Reháková, M.; Kačík, F. Antioxidant Protection of Paper Heritage Objects with 4-Amino-2,2,6,6-Tetramethylpiperidine. Materials 2023, 16, 3351. https://doi.org/10.3390/ma16093351
Vizárová K, Malečková S, Tiňo R, Reháková M, Kačík F. Antioxidant Protection of Paper Heritage Objects with 4-Amino-2,2,6,6-Tetramethylpiperidine. Materials. 2023; 16(9):3351. https://doi.org/10.3390/ma16093351
Chicago/Turabian StyleVizárová, Katarína, Soňa Malečková, Radko Tiňo, Milena Reháková, and František Kačík. 2023. "Antioxidant Protection of Paper Heritage Objects with 4-Amino-2,2,6,6-Tetramethylpiperidine" Materials 16, no. 9: 3351. https://doi.org/10.3390/ma16093351
APA StyleVizárová, K., Malečková, S., Tiňo, R., Reháková, M., & Kačík, F. (2023). Antioxidant Protection of Paper Heritage Objects with 4-Amino-2,2,6,6-Tetramethylpiperidine. Materials, 16(9), 3351. https://doi.org/10.3390/ma16093351

