Prediction of Axial Compressive Load–Strain Curves of Circular Concrete-Filled Steel Tube Columns Using Long Short-Term Memory Network
Abstract
1. Introduction
2. Axial Load–Strain Curve of CCFST Columns
3. Construction and Processing of the Database
4. Methodology
4.1. Long Short-Term Memory Network
4.2. Curve Prediction Data Configurations
4.3. LSTM Network Structure
5. Prediction of Axial Load–Strain Curve of CCFT Columns Using LSTM Network
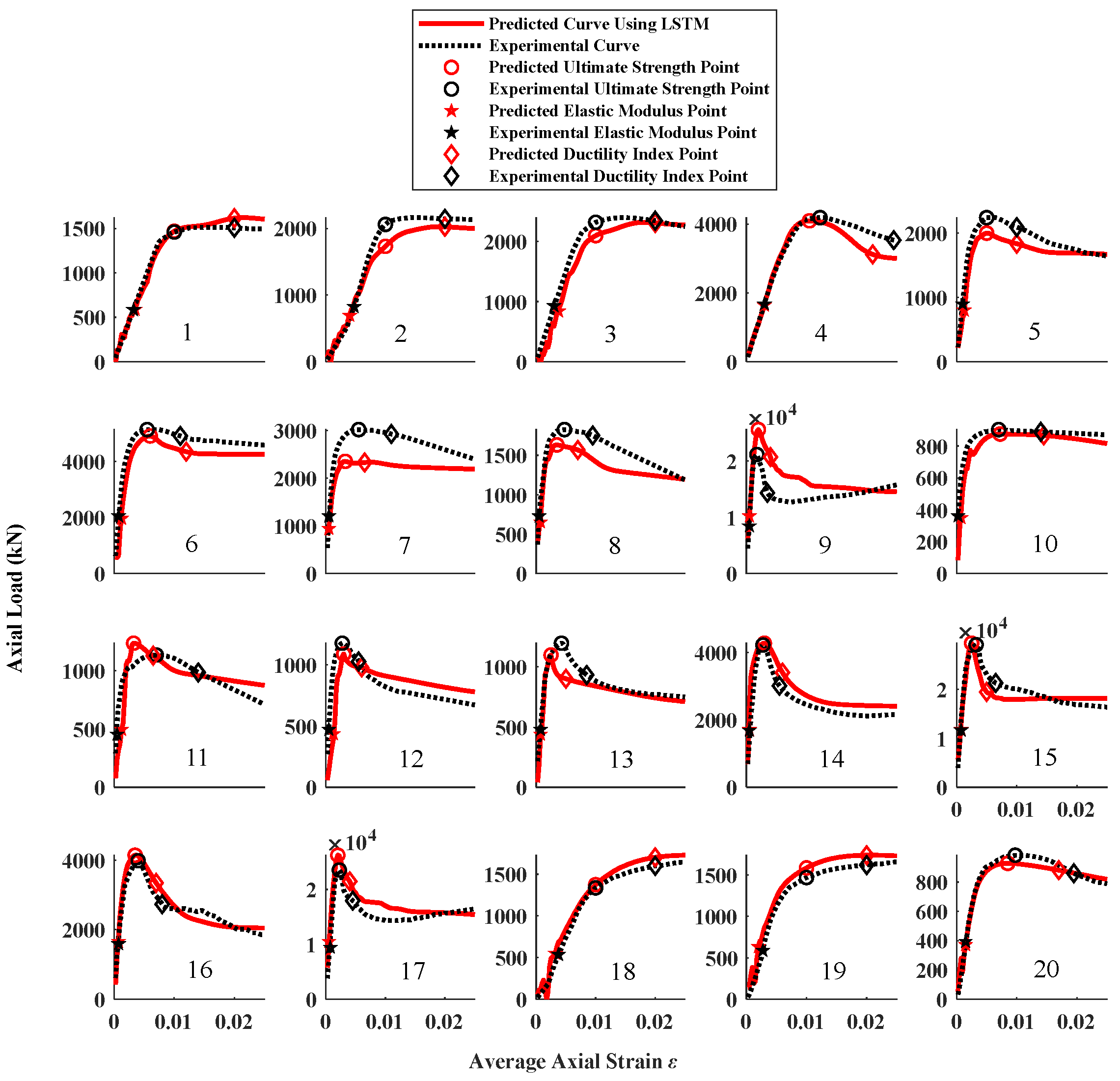
5.1. Comparison of the Accuracy of Different Algorithms and the Applicability of Data Configurations
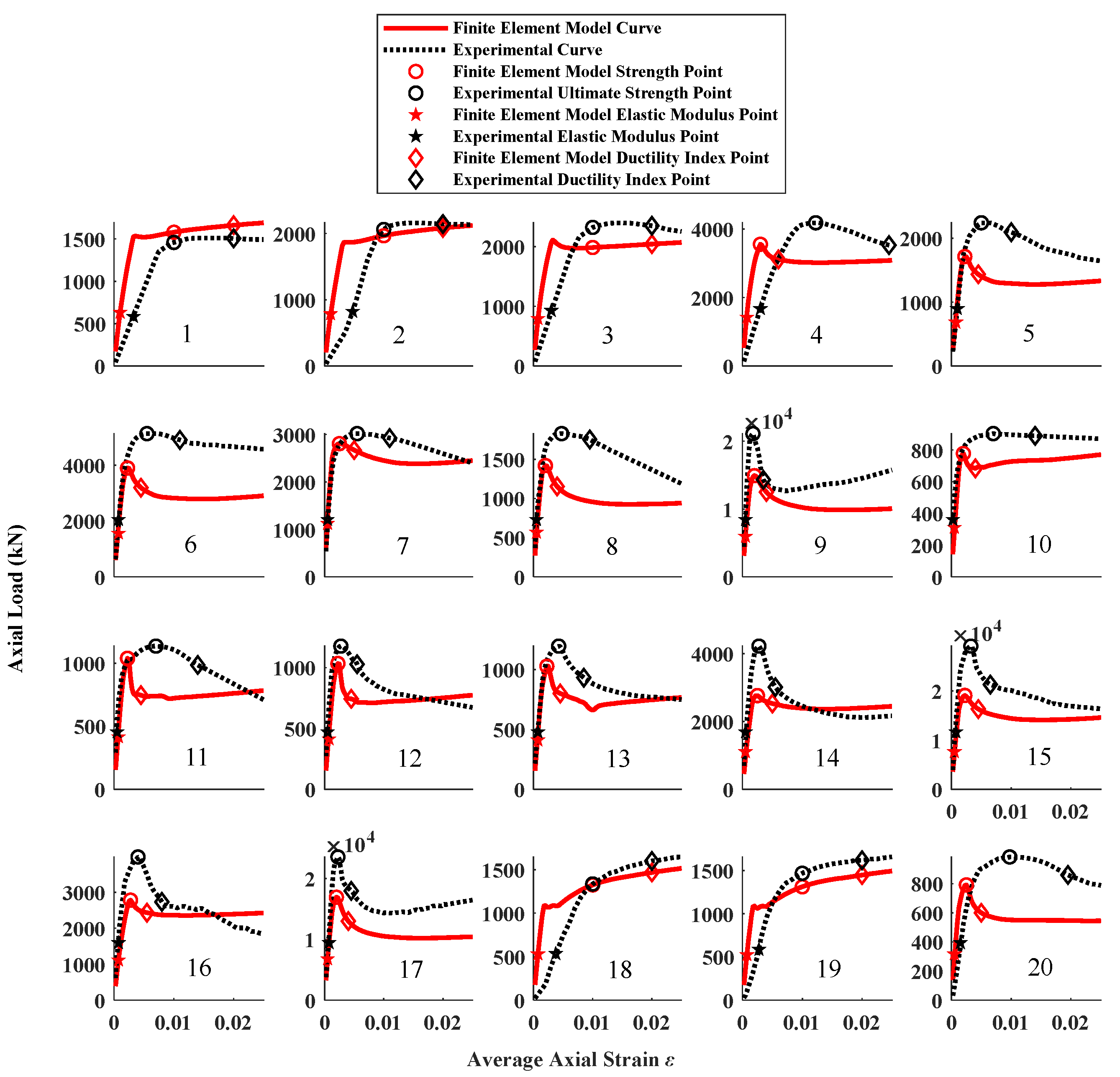
5.2. Comparison of the Accuracy of LSTM Algorithms and Finite Element Model Analysis
6. Conclusions
Author Contributions
Funding
Institutional Review Board Statement
Informed Consent Statement
Data Availability Statement
Conflicts of Interest
References
- Lyu, F.; Goto, Y.; Kawanishi, N.; Xu, Y. Three-dimensional numerical model for seismic analysis of bridge systems with multiple thin-walled partially concrete-filled steel tubular columns. J. Struct. Eng. 2020, 146, 04019164. [Google Scholar] [CrossRef]
- Fei, L.; Yoshiaki, G.; Kawanishi, N. 3-dimentional numerical model for dynamic analysis of partially concrete-filled thin-walled circular steel columns. In Proceedings of the 9th International Conference on Advances in Steel Structures, ICASS, Hong Kong, China, 5–7 December 2018. [Google Scholar]
- Goto, Y.; Ebisawa, T.; Lu, X. Local buckling restraining behavior of thin-walled circular CFT columns under seismic loads. J. Struct. Eng. 2014, 140, 04013105. [Google Scholar] [CrossRef]
- Goto, Y.; Mizuno, K.; Kumar, G.P. Nonlinear finite element analysis for cyclic behavior of thin-walled stiffened rectangular steel columns with in-filled concrete. J. Struct. Eng. 2012, 138, 571–584. [Google Scholar] [CrossRef]
- Goto, Y.; Kumar, G.P.; Kawanishi, N. Nonlinear finite-element analysis for hysteretic behavior of thin-walled circular steel columns with in-filled concrete. J. Struct. Eng. 2010, 136, 1413–1422. [Google Scholar] [CrossRef]
- Wang, J.; Shen, Q.; Wang, F.; Wang, W. Experimental and analytical studies on cfrp strengthened circular thin-walled cfst stub columns under eccentric compression. Thin-Walled Struct. 2018, 127, 102–119. [Google Scholar] [CrossRef]
- Faxing, D.; Lei, F.; Zhiwu, Y.; Gang, L. Mechanical performances of concrete-filled steel tubular stub columns with round ends under axial loading. Thin-Walled Struct. 2015, 97, 22–34. [Google Scholar] [CrossRef]
- Goto, Y.; Ebisawa, T.; Obata, M.; Li, J.; Xu, Y. Ultimate behavior of steel and cft piers in two-span continuous elevated-girder bridge models tested by shake-table excitations. J. Bridge Eng. 2017, 22, 04017001. [Google Scholar] [CrossRef]
- Moradi, M.; Daneshvar, K.; Ghazi-nader, D.; Hajiloo, H. The prediction of fire performance of concrete-filled steel tubes (cfst) using artificial neural network. Thin-Walled Struct. 2021, 161, 107499. [Google Scholar] [CrossRef]
- Hou, C.-C.; Han, L.-H. Life-cycle performance of deteriorated concrete-filled steel tubular (cfst) structures subject to lateral impact. Thin-Walled Struct. 2018, 132, 362–374. [Google Scholar] [CrossRef]
- Gao, S.; Guo, L.; Zhang, S.; Peng, Z. Performance degradation of circular thin-walled cfst stub columns in high-latitude offshore region. Thin-Walled Struct. 2020, 154, 106906. [Google Scholar] [CrossRef]
- Hua, Y.-X.; Han, L.-H.; Wang, Q.-L.; Hou, C. Behaviour of square cfst beam-columns under combined sustained load and corrosion: Experiments. Thin-Walled Struct. 2019, 136, 353–366. [Google Scholar] [CrossRef]
- Liu, Y.; Lyu, F.; Ding, F.; Wang, E.; Xu, Y.; Yuan, T.; Deng, C.; Luo, C. Numerical study on confinement effect and efficiency of concentrically loaded racfrst stub columns. Front. Mater. 2021, 8, 630774. [Google Scholar] [CrossRef]
- Ding, F.; Liao, C.; Wang, E.; Lyu, F.; Xu, Y.; Liu, Y.; Feng, Y.; Shang, Z. Numerical investigation of the composite action of axially compressed concrete-filled circular aluminum alloy tubular stub columns. Materials 2021, 14, 2435. [Google Scholar]
- Xu, Y.; Lyu, F.; Ding, F.; Liu, C.; Wang, E. Analytical modelling of lacfcst stub columns subjected to axial compression. Mathematics 2021, 9, 948. [Google Scholar]
- Lu, D.-R.; Wang, W.-J.; Ding, F.; Liu, X.-M.; Fang, C.-J. The impact of stirrups on the composite action of concrete-filled steel tubular stub columns under axial loading. Structures 2021, 30, 786–802. [Google Scholar]
- Ding, F.; Liu, Y.; Lyu, F.; Lu, D.; Chen, J. Cyclic loading tests of stirrup cage confined concrete-filled steel tube columns under high axial pressure. Eng. Struct. 2020, 221, 111048. [Google Scholar] [CrossRef]
- Ding, F.; Wang, W.; Liu, X.-M.; Wang, L.; Sun, Y. Mechanical behavior of outer square inner circular concrete-filled dual steel tubular stub columns. Steel Compos. Struct. 2021, 38, 305–317. [Google Scholar]
- Susantha, K.; Ge, H.; Usami, T. Uniaxial stress–strain relationship of concrete confined by various shaped steel tubes. Eng. Struct. 2001, 23, 1331–1347. [Google Scholar] [CrossRef]
- Sakino, K.; Nakahara, H.; Morino, S.; Nishiyama, I. Behavior of centrally loaded concrete-filled steel-tube short columns. J. Struct. Eng. 2004, 130, 180–188. [Google Scholar] [CrossRef]
- Ding, F.-X.; Yu, Z.-W.; Bai, Y.; Gong, Y.-Z. Elasto-plastic analysis of circular concrete-filled steel tube stub columns. J. Constr. Steel Res. 2011, 67, 1567–1577. [Google Scholar] [CrossRef]
- Choi, K.; Xiao, Y. Analytical studies of concrete-filled circular steel tubes under axial compression. J. Struct. Eng. 2010, 136, 565–573. [Google Scholar] [CrossRef]
- Lai, M.; Ho, J. A theoretical axial stress-strain model for circular concrete-filled-steel-tube columns. Eng. Struct. 2016, 125, 124–143. [Google Scholar] [CrossRef]
- Lin, S.; Zhao, Y.-G.; Lu, Z.-H. Modified confining stress path dependent analytical model for axially loaded circular normal, high and ultra-high strength concrete-filled steel tube stub columns. Compos. Struct. 2020, 242, 112192. [Google Scholar] [CrossRef]
- Hu, H.-S.; Lin, K.; Shahrooz, B.M.; Guo, Z.-X. Revisiting the composite action in axially loaded circular cfst columns through direct measurement of load components. Eng. Struct. 2021, 235, 112066. [Google Scholar] [CrossRef]
- Tao, Z.; Wang, Z.-B.; Yu, Q. Finite element modelling of concrete-filled steel stub columns under axial compression. J. Constr. Steel Res. 2013, 89, 121–131. [Google Scholar] [CrossRef]
- Han, L.-H.; Yao, G.-H.; Tao, Z. Performance of concrete-filled thin-walled steel tubes under pure torsion. Thin-Walled Struct. 2007, 45, 24–36. [Google Scholar] [CrossRef]
- Nguyen, D.H.; Hong, W.-K.; Ko, H.-J.; Kim, S.-K. Finite element model for the interface between steel and concrete of cfst (concrete-filled steel tube). Eng. Struct. 2019, 185, 141–158. [Google Scholar] [CrossRef]
- Chen, P.; Wang, Y.; Liu, C. Confinement path-dependent analytical model for frp-confined concrete and concrete-filled steel tube subjected to axial compression. Compos. Struct. 2018, 201, 234–247. [Google Scholar] [CrossRef]
- Montuori, R.; Piluso, V.; Tisi, A. Comparative analysis and critical issues of the main constitutive laws for concrete elements confined with frp. Compos. Part B Eng. 2012, 43, 3219–3230. [Google Scholar] [CrossRef]
- Salehi, H.; Burgueño, R. Emerging artificial intelligence methods in structural engineering. Eng. Struct. 2018, 171, 170–189. [Google Scholar] [CrossRef]
- Falcone, R.; Lima, C.; Martinelli, E. Soft computing techniques in structural and earthquake engineering: A literature review. Eng. Struct. 2020, 207, 110269. [Google Scholar] [CrossRef]
- Lyu, F.; Fan, X.; Ding, F.; Chen, Z. Prediction of the axial compressive strength of circular concrete-filled steel tube columns using sine cosine algorithm-support vector regression. Compos. Struct. 2021, 273, 114282. [Google Scholar] [CrossRef]
- Kheyroddin, A.; Naderpour, H.; Ahmadi, M. Compressive Strength of Confined Concrete in Ccfst Columns. J. Rehabil. Civ. Eng. 2014, 2, 106–113. [Google Scholar]
- Ahmadi, M.; Naderpour, H.; Kheyroddin, A. Ann model for predicting the compressive strength of circular steel-confined concrete. Int. J. Civ. Eng. 2017, 15, 213–221. [Google Scholar]
- Jayalekshmi, S.; Jegadesh, J.S.; Goel, A. Empirical approach for determining axial strength of circular concrete filled steel tubular columns. J. Inst. Eng. (India) Ser. A 2018, 99, 257–268. [Google Scholar] [CrossRef]
- Sarir, P.; Shen, S.-L.; Wang, Z.-F.; Chen, J.; Horpibulsuk, S.; Pham, B.T. Optimum model for bearing capacity of concrete-steel columns with ai technology via incorporating the algorithms of iwo and abc. Eng. Comput. 2019, 37, 797–807. [Google Scholar]
- Güneyisi, E.M.; Gültekin, A.; Mermerdaş, K. Ultimate capacity prediction of axially loaded cfst short columns. Int. J. Steel Struct. 2016, 16, 99–114. [Google Scholar] [CrossRef]
- Mansouri, I.; Chacón, R.; Hu, J.W. Improved predictive model to the cross-sectional resistance of cft. J. Mech. Sci. Technol. 2017, 31, 3887–3895. [Google Scholar] [CrossRef]
- Basarir, H.; Elchalakani, M.; Karrech, A. The prediction of ultimate pure bending moment of concrete-filled steel tubes by adaptive neuro-fuzzy inference system (anfis). Neural Comput. Appl. 2019, 31, 1239–1252. [Google Scholar] [CrossRef]
- Naser, M. Ai-based cognitive framework for evaluating response of concrete structures in extreme conditions. Eng. Appl. Artif. 2019, 81, 437–449. [Google Scholar] [CrossRef]
- Zarringol, M.; Thai, H.-T. Prediction of the load-shortening curve of cfst columns using ann-based models. J. Build. Eng. 2022, 51, 104279. [Google Scholar] [CrossRef]
- Audoux, Y.; Montemurro, M.; Pailhès, J. Non-uniform rational basis spline hyper-surfaces for metamodelling. Comput. Methods Appl. Mech. And Eng. 2020, 364, 112918. [Google Scholar] [CrossRef]
- Hochreiter, S.; Schmidhuber, J. Long short-term memory. Neural Comput. 1997, 9, 1735–1780. [Google Scholar]
- Zhou, S.; Sun, Q.; Wu, X. Impact of d/t ratio on circular concrete-filled high-strength steel tubular stub columns under axial compression. Thin-Walled Struct. 2018, 132, 461–474. [Google Scholar] [CrossRef]
- Zhang, S. Failure modes of short columns of high-strength concrete-filled steel tubes. China Civ. Eng. J. 2004, 37, 1–10. [Google Scholar]
- Zhu, L.; Ma, L.; Bai, Y.; Li, S.; Song, Q.; Wei, Y.; Zhang, L.; Zhang, Z.; Sha, X. Large diameter concrete-filled high strength steel tubular stub columns under compression. Thin-Walled Struct. 2016, 108, 12–19. [Google Scholar] [CrossRef]
- Ekmekyapar, T.; Al-Eliwi, B.J. Experimental behaviour of circular concrete filled steel tube columns and design specifications. Thin-Walled Struct. 2016, 105, 220–230. [Google Scholar] [CrossRef]
- Wang, W.; Ma, H.; Li, Z.; Tang, Z. Size effect in circular concrete-filled steel tubes with different diameter-to-thickness ratios under axial compression. Eng. Struct. 2017, 151, 554–567. [Google Scholar] [CrossRef]
- De Oliveira, W.L.A.; De Nardin, S.; de Cresce El Debs, A.L.H.; El Debs, M.K. Influence of concrete strength and length/diameter on the axial capacity of cft columns. J. Constr. Steel Res. 2009, 65, 2103–2110. [Google Scholar]
- Wang, W.; Tang, Z.; Li, Z.; Ma, H. Bearing capacities of different-diameter concrete-filled steel tubes under axial compression. Adv. Mater. Sci. Eng. 2016, 2016, 7982365. [Google Scholar]
- Xiong, M.-X.; Xiong, D.-X.; Liew, J.R. Axial performance of short concrete filled steel tubes with high-and ultra-high-strength materials. Eng. Struct. 2017, 136, 494–510. [Google Scholar] [CrossRef]
- Huang, C.-S.; Yeh, Y.-K.; Liu, G.-Y.; Hu, H.-T.; Tsai, K.; Weng, Y.; Wang, S.; Wu, M.-H. Axial load behavior of stiffened concrete-filled steel columns. J. Struct. Eng. 2002, 128, 1222–1230. [Google Scholar] [CrossRef]
- Xia, J.; Feng, Y.; Lu, C.; Fei, C.; Xue, X. Lstm-based multi-layer self-attention method for remaining useful life estimation of mechanical systems. Eng. Fail. Anal. 2021, 125, 105385. [Google Scholar] [CrossRef]
- Hou, L.; Xin, L.; Li, S.E.; Cheng, B.; Wang, W. Interactive trajectory prediction of surrounding road users for autonomous driving using structural-lstm network. IEEE Trans. Intell. Transp. 2019, 21, 4615–4625. [Google Scholar] [CrossRef]
- Mathworks, Long Short-Term Memory Networks. 2023. Available online: https://www.mathworks.com/help/deeplearning/ug/long-short-term-memory-networks.html (accessed on 19 April 2023).
- Qin, Y.; Xiang, S.; Chai, Y.; Chen, H. Macroscopic–microscopic attention in lstm networks based on fusion features for gear remaining life prediction. IEEE Trans. Ind. Electron. 2019, 67, 10865–10875. [Google Scholar] [CrossRef]
- Ding, F.X.; Yin, Y.X.; Mao, J.F.; Wang, L.P.; Yu, Y.J.; Luo, L.; Yu, Z.W. Analytical behaviors of concrete-filled circular stainless steel tubular (cfcsst) stub columns under axial loading. Structures 2019, 19, 277–285. [Google Scholar]
- Ding, F.X.; Liu, J.; Liu, X.M.; Yu, Z.W.; Li, D.W. Mechanical behavior of circular and square concrete filled steel tube stub columns under local compression. Thin-Walled Struct. 2015, 94, 155–166. [Google Scholar] [CrossRef]
- Wang, E.; Ding, F.; Wang, L.; Chen, Y.; Sheng, S.; Shen, J.; Lin, Q. Analytical study on the composite behavior of rectangular cfst columns under combined compression and torsion. Case Stud. Constr. Mater. 2022, 16, e01074. [Google Scholar]
- Luo, L.; Ding, F.X.; Wang, L.; Liu, X.M. Plastic hinge and seismic structural measures of terminal stirrup-confined rectangular cft columns under low-cyclic load. J. Build. Eng. 2021, 34, 101908. [Google Scholar] [CrossRef]
















| Author | No. | D (mm) | (mm) | H (mm) | (MPa) | (MPa) |
|---|---|---|---|---|---|---|
| Zhou et al. [45] | 12 | 140.84–262 | 2.11–3.94 | 525–975 | 691, 734 | 42.4, 45.4 |
| Zhang [46] | 11 | 153–474 | 1.54, 9.83 | 306–948 | 290–345 | 77.1 |
| Zhu et al. [47] | 3 | 557.65–559.40 | 16.52–16.54 | 994.85–997.50 | 546 | 31.7 |
| Ekmekyapar and Al-Eliwi [48] | 18 | 114.30 | 2.74–5.90 | 300, 600, 900 | 235–355 | 56.2–107.2 |
| Wang et al. [49] | 12 | 215.9–632.1 | 2.6–11.2 | 657–1890 | 259.8–590.4 | 49.64 |
| de Oliveira et al. [50] | 16 | 114.30 | 3.35 | 342.9–1143.0 | 287.33 | 32.7–105.5 |
| Wang et al. [51] | 4 | 215.4–817.4 | 2.5-9.0 | 657–2460 | 276.0–590.4 | 41.24 |
| Xiong et al. [52] | 16 | 114.3, 219.1 | 3.6–10.0 | 250, 600 | 300–428 | 51.6–193.3 |
| Chen et al. [29] | 9 | 111.0–187.1 | 1.7–5.5 | 333.0–561.3 | 248.3–354.0 | 46.2–95.0 |
| Huang et al. [53] | 3 | 200–300 | 2.0–5.0 | 840 | 265.8–345.7 | 27.2–31.2 |
| Total | 104 | 111.0–817.4 | 1.7–16.54 | 250–2460 | 235.0–734.0 | 27.2–193.3 |
| Number | D (mm) | (mm) | H (mm) | (MPa) | (MPa) |
|---|---|---|---|---|---|
| 1 | 140.84 | 2.37 | 525 | 734 | 42.4 |
| 2 | 151.05 | 2.98 | 562.5 | 691 | 42.4 |
| 3 | 181.8 | 2.17 | 675 | 734 | 45.4 |
| 4 | 262 | 2.16 | 975 | 734 | 45.4 |
| 5 | 153 | 3.64 | 306 | 322 | 77.1 |
| 6 | 235 | 5.66 | 470 | 290 | 77.1 |
| 7 | 280 | 4.0 | 840 | 272.6 | 31.2 |
| 8 | 182.7 | 2.01 | 548.1 | 313 | 46.2 |
| 9 | 628.5 | 6.9 | 1890 | 276 | 41.24 |
| 10 | 114.3 | 3.35 | 571.5 | 287.3 | 58.7 |
| 11 | 114.3 | 3.35 | 342.9 | 287.3 | 88.8 |
| 12 | 114.3 | 3.35 | 571.5 | 287.3 | 88.8 |
| 13 | 114.3 | 3.35 | 800.1 | 287.3 | 88.8 |
| 14 | 220.7 | 4.3 | 657 | 325.1 | 49.64 |
| 15 | 626 | 11.2 | 1890 | 269.1 | 49.64 |
| 16 | 215.9 | 2.6 | 657 | 590.4 | 49.64 |
| 17 | 625.6 | 7.2 | 1890 | 276 | 49.64 |
| 18 | 114.3 | 5.9 | 300 | 355 | 56.2 |
| 19 | 114.3 | 5.9 | 600 | 355 | 56.2 |
| 20 | 114.3 | 2.74 | 900 | 235 | 66.75 |
| Average RMSE * of | Configuration 1 (kN) | Configuration 2 (kN) | Configuration 3 (kN) | Configuration 4 (kN) |
|---|---|---|---|---|
| LSTM | - | 557 | 557 | 557 |
| BP | 920 | 735 | 707 | 735 |
| RF | - | 786 | 649 | 635 |
| SVR | - | 723 | 669 | 694 |
Disclaimer/Publisher’s Note: The statements, opinions and data contained in all publications are solely those of the individual author(s) and contributor(s) and not of MDPI and/or the editor(s). MDPI and/or the editor(s) disclaim responsibility for any injury to people or property resulting from any ideas, methods, instructions or products referred to in the content. |
© 2023 by the authors. Licensee MDPI, Basel, Switzerland. This article is an open access article distributed under the terms and conditions of the Creative Commons Attribution (CC BY) license (https://creativecommons.org/licenses/by/4.0/).
Share and Cite
Fan, X.; Lyu, F.; Fan, J.; Ding, F. Prediction of Axial Compressive Load–Strain Curves of Circular Concrete-Filled Steel Tube Columns Using Long Short-Term Memory Network. Materials 2023, 16, 3285. https://doi.org/10.3390/ma16093285
Fan X, Lyu F, Fan J, Ding F. Prediction of Axial Compressive Load–Strain Curves of Circular Concrete-Filled Steel Tube Columns Using Long Short-Term Memory Network. Materials. 2023; 16(9):3285. https://doi.org/10.3390/ma16093285
Chicago/Turabian StyleFan, Xinyu, Fei Lyu, Jinglin Fan, and Faxing Ding. 2023. "Prediction of Axial Compressive Load–Strain Curves of Circular Concrete-Filled Steel Tube Columns Using Long Short-Term Memory Network" Materials 16, no. 9: 3285. https://doi.org/10.3390/ma16093285
APA StyleFan, X., Lyu, F., Fan, J., & Ding, F. (2023). Prediction of Axial Compressive Load–Strain Curves of Circular Concrete-Filled Steel Tube Columns Using Long Short-Term Memory Network. Materials, 16(9), 3285. https://doi.org/10.3390/ma16093285

