Corrosion Behavior of Nitrided Layer of Ti6Al4V Titanium Alloy by Hollow Cathodic Plasma Source Nitriding
Abstract
1. Introduction
2. Materials and Methods
3. Results
4. Discussion
5. Conclusions
- XRD and TEM results show that the the Ti-N nitriding layer consists of a mixture of TiN, Ti2N, and α-Ti(N) phases. The compound layer consists of the nanocrystalline TiN surface top layer, the crystalline TiN sub-surface layer, the Ti2N interlayer, and the interstitial solid solution α-Ti(N) bottom layer. The compound layer thicknesses of the 0, 1, 2, and 4 h samples were 1.8, 2.5, 4.1, and 6.4 μm, respectively.
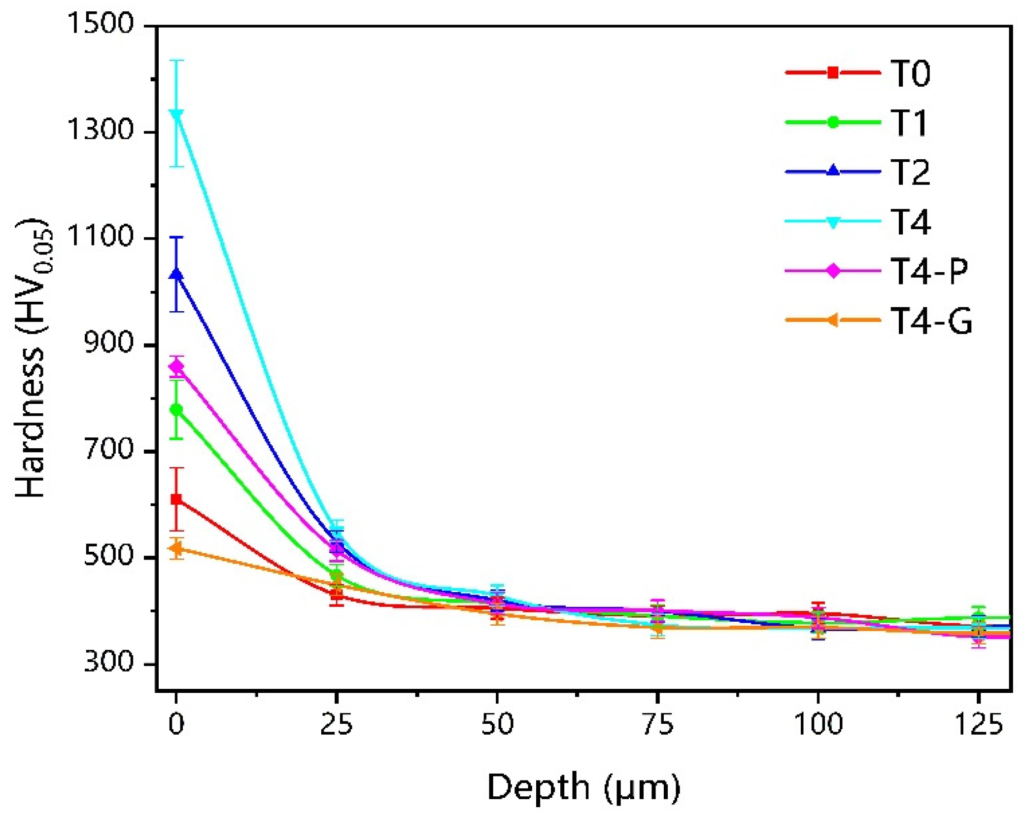
- The thickness of the diffusion layer of the T0 sample was about 25 μm, and that of the remaining samples ranged from 50 μm to 60 μm. The surface hardness increased with the increase in nitriding time. The surface hardness of the T4 sample was 1340 HV0.05 on average, and the surface phase of the T4-P sample was Ti2N with a hardness of 865 HV0.05. The surface hardness of the T4-G sample was 518 HV0.05.
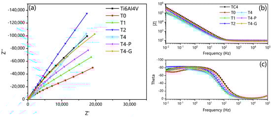
- The polarization results in the human body solution showed that the the Ti-N nitriding layer showed a significant passivation zone, a significant reduction in corrosion rate, and a significant improvement in pitting resistance compared to the untreated Ti6Al4V alloy. The corrosion resistance of the nitriding layer with the Ti2N phase on the surface deteriorated relatively. All Ecorr values of the samples were ranked from smallest to largest as T4-G < Untreated Ti6Al4V < T4-P < T4 < T2 < T1 < T0. The EIS analysis shows that the passivated film on the surface of the TiN nitride layer has higher charge transfer resistance and lower capacitance, which can effectively hinder the penetration and migration of reactive ions. Thus, the corrosion resistance is significantly improved.
Author Contributions
Funding
Institutional Review Board Statement
Informed Consent Statement
Data Availability Statement
Conflicts of Interest
References
- Chen, Q.; Thouas, G.A. Metallic implant biomaterials. Mater. Sci. Eng. R Rep. 2015, 87, 1–57. [Google Scholar] [CrossRef]
- Rodriguez-Contreras, A.; Punset, M.; Calero, J.A.; Gil, F.J.; Ruperez, E.; Manero, J.M. Powder metallurgy with space holder for porous titanium implants: A review. J. Mater. Sci. Technol. 2021, 76, 129–149. [Google Scholar] [CrossRef]
- Balazic, M.; Kopac, J.; Jackson, M.J.; Ahmed, W. Titanium and titanium alloy applications in medicine. Int. J. Nano Biomater. 2007, 1, 3–34. [Google Scholar] [CrossRef]
- Geetha, M.; Singh, A.K.; Asokamani, R.; Gogia, A.K. Ti based biomaterials, the ultimate choice for orthopaedic implants—A review. Prog. Mater. Sci. 2009, 54, 397–425. [Google Scholar] [CrossRef]
- Noumbissi, S.; Scarano, A.; Gupta, S. A literature review study on atomic ions dissolution of titanium and its alloys in implant dentistry. Materials 2019, 12, 368. [Google Scholar] [CrossRef]
- Liang, H.; Shi, B.; Fairchild, A.; Cale, T. Applications of plasma coatings in artificial joints: An overview. Vacuum 2004, 73, 317–326. [Google Scholar] [CrossRef]
- Cordeiro, J.M.; Barão, V.A. Is there scientific evidence favoring the substitution of commercially pure titanium with titanium alloys for the manufacture of dental implants? Mater. Sci. Eng. C 2017, 71, 1201–1215. [Google Scholar] [CrossRef]
- Wilson, J.A.-B.; Banfield, S.; Housden, J.; Olivero, C.; Chapon, P. On the response of Ti–6Al–4V and Ti–6Al–7Nb alloys to a Nitron-100 treatment. Surf. Coat. Technol. 2014, 260, 335–346. [Google Scholar] [CrossRef]
- Fujita, K.; Ijiri, M.; Inoue, Y.; Kikuchi, S. Rapid Nitriding of Titanium Alloy with Fine Grains at Room Temperature. Adv. Mater. 2021, 33, 2008298. [Google Scholar] [CrossRef]
- Hussein, M.A.; Ankah, N.K.; Kumar, A.M.; Azeem, M.A.; Saravanan, S.; Sorour, A.A.; Al Aqeeli, N. Mechanical, Biocorrosion, and Antibacterial Properties of Nanocrystalline TiN Coating for Orthopedic Applications. Ceram. Int. 2020, 46, 18573. [Google Scholar] [CrossRef]
- Lin, N.; Li, D.; Zou, J.; Xie, R.; Wang, Z.; Tang, B. Surface Texture-Based Surface Treatments on Ti6Al4V Titanium Alloys for Tribological and Biological Applications: A Mini Review. Materials 2018, 11, 487. [Google Scholar] [CrossRef]
- Travessa, D.N.; Guedes, G.V.B.; de Oliveira, A.C.; da Silva Sobrinho, A.S.; Roche, V.; Jorge, A.M., Jr. Corrosion performance of the biocompatible β-Ti12Mo6Zr2Fe alloy submitted to laser and plasma-nitriding surface modifications. Corros. Sci. 2022, 209, 110740. [Google Scholar] [CrossRef]
- Guan, J.; Jiang, X.; Xiang, Q.; Yang, F.; Liu, J. Corrosion and tribocorrosion behavior of titanium surfaces designed by electromagnetic induction nitriding for biomedical applications. Surf. Coat. Technol. 2021, 409, 126844. [Google Scholar] [CrossRef]
- Zhang, L.C.; Chen, L.Y.; Wang, L. Surface Modification of Titanium and Titanium Alloys: Technologies, Developments, and Future Interests. Adv. Eng. Mater. 2020, 22, 1901258. [Google Scholar] [CrossRef]
- Zhang, L.; Shao, M.; Wang, Z.; Zhang, Z.; He, Y.; Yan, J.; Lu, J.; Qiu, J.; Li, Y. Comparison of tribological properties of nitrided Ti-N modified layer and deposited TiN coatings on TA2 pure titanium. Tribol. Int. 2022, 174, 107712. [Google Scholar] [CrossRef]
- Bell, T.; Dong, H.; Sun, Y. Realising the Potential of Duplex Surface Engineering. Tribol. Int. 1998, 31, 127–137. [Google Scholar]
- Martinez, A.; Flamini, D.; Saidman, S. Corrosion resistance improvement of Ti-6Al-4V alloy by anodization in the presence of inhibitor ions. Trans. Nonferrous Met. Soc. China 2022, 32, 1896–1909. [Google Scholar] [CrossRef]
- Kamat, A.M.; Copley, S.M.; Segall, A.E.; Todd, J.A. Laser-Sustained Plasma (LSP) Nitriding of Titanium: A Review. Coatings 2019, 9, 283. [Google Scholar] [CrossRef]
- Jing, Z.; Cao, Q.; Jun, H. Corrosion, wear and biocompatibility of hydroxyapatite bio-functionally graded coating on titanium alloy surface prepared by laser cladding. Ceram. Int. 2021, 47, 24641–24651. [Google Scholar] [CrossRef]
- Gordin, D.; Busardo, D.; Cimpean, A.; Vasilescu, C.; Höche, D.; Drob, S.; Mitran, V.; Cornen, M.; Gloriant, T. Design of a nitrogen-implanted titanium-based superelastic alloy with optimized properties for biomedical applications. Mater. Sci. Eng. C 2013, 33, 4173–4182. [Google Scholar] [CrossRef] [PubMed]
- Padilha Fontoura, C.; Ló Bertele, P.; Machado Rodrigues, M.; Elisa Dotta Maddalozzo, A.; Frassini, R.; Silvestrin Celi Garcia, C.; Tomaz Martins, S.; Crespo, J.d.S.; Figueroa, C.A.; Roesch-Ely, M.; et al. Comparative Study of Physicochemical Properties and Biocompatibility (L929 and MG63 Cells) of TiN Coatings Obtained by Plasma Nitriding and Thin Film Deposition. ACS Biomater. Sci. Eng. 2021, 7, 3683–3695. [Google Scholar] [CrossRef] [PubMed]
- Bai, X.; Xu, L.; Shi, X.; Ren, J.; Xu, L.; Wang, Q.; Li, B.; Liu, Z.; Zheng, C.; Fu, Q. Hydrothermal oxidation improves corrosion and wear properties of multi-arc ion plated titanium nitride coating for biological application. Vacuum 2022, 198, 110871. [Google Scholar] [CrossRef]
- Zhao, C.; Zhu, Y.; Yuan, Z.; Li, J. Structure and tribocorrosion behavior of Ti/TiN multilayer coatings in simulated body fluid by arc ion plating. Surf. Coat. Technol. 2020, 403, 126399. [Google Scholar] [CrossRef]
- Sowińska, A.; Czarnowska, E.; Tarnowski, M.; Witkowska, J.; Wierzchoń, T. Structure and hemocompatibility of nanocrystalline titanium nitride produced under glow-discharge conditions. Appl. Surf. Sci. 2018, 436, 382–390. [Google Scholar] [CrossRef]
- Sun, Y.; Haruman, E. Effect of carbon addition on low-temperature plasma nitriding characteristics of austenitic stainless steel. Vacuum 2006, 81, 114–119. [Google Scholar] [CrossRef]
- Sun, Y. Tribocorrosive behaviour of low temperature plasma-nitrided PH stainless steel sliding against alumina under linear reciprocation with and without transverse oscillations. Wear 2016, 362–363, 105–113. [Google Scholar] [CrossRef]
- Ahmadi, M.; Hosseini, S.; Hadavi, S. Comparison of auxiliary cathode and conventional plasma nitriding of gamma-TiAl alloy. Vacuum 2016, 131, 89–96. [Google Scholar] [CrossRef]
- Yumusak, G.; Leyland, A.; Matthews, A. The effect of pre-deposited titanium-based PVD metallic thin films on the nitrogen diffusion efficiency and wear behaviour of nitrided Ti alloys. Surf. Coat. Technol. 2020, 394, 125545. [Google Scholar] [CrossRef]
- Borisyuk, Y.V.; Oreshnikova, N.; Berdnikova, M.; Tumarkin, A.; Khodachenko, G.; Pisarev, A. Plasma nitriding of titanium alloy Ti5Al4V2Mo. Phys. Procedia 2015, 71, 105–109. [Google Scholar] [CrossRef]
- Mohan, L.; Raja, M.D.; Uma, T.S.; Rajendran, N.; Anandan, C. In-Vitro Biocompatibility Studies of Plasma-Nitrided Titanium Alloy β-21S Using Fibroblast Cells. J. Mater. Eng. Perform. 2016, 25, 1508–1514. [Google Scholar] [CrossRef]
- Venturini, L.F.; Artuso, F.B.; Limberger, I.d.F.; Javorsky, C.d.S. Differences in nitrided layer between classic active screen plasma nitriding and active screen plasma nitriding with hemispherical cathodic cage. Int. Heat Treat. Surf. Eng. 2012, 6, 19–23. [Google Scholar] [CrossRef]
- Lin, K.; Li, X.; Dong, H.; Gu, D. Multistep active screen plasma co-alloying the treatment of metallic bipolar plates. Surf. Eng. 2020, 36, 539–546. [Google Scholar] [CrossRef]
- Nishimoto, A.; Bell, T.E.; Bell, T. Feasibility Study of Active Screen Plasma Nitriding of Titanium Alloy. Surf. Eng. 2010, 26, 74. [Google Scholar] [CrossRef]
- Morgiel, J.; Maj, Ł.; Szymkiewicz, K.; Pomorska, M.; Ozga, P.; Toboła, D.; Tarnowski, M.; Wierzchoń, T. Surface roughening of Ti-6Al-7Nb alloy plasma nitrided at cathode potential. Appl. Surf. Sci. 2022, 574, 151639. [Google Scholar] [CrossRef]
- Szymkiewicz, K.; Morgiel, J.; Maj, Ł.; Pomorska, M.; Tarnowski, M.; Wierzchoń, T. TEM investigations of active screen plasma nitrided Ti6Al4V and Ti6Al7Nb alloys. Surf. Coat. Technol. 2020, 383, 125268. [Google Scholar] [CrossRef]
- Li, Y.; He, Y.; Wang, W.; Mao, J.; Zhang, L.; Zhu, Y.; Ye, Q. Plasma Nitriding of AISI 304 Stainless Steel in Cathodic and Floating Electric Potential: Influence on Morphology, Chemical Characteristics and Tribological Behavior. J. Mater. Eng. Perform. 2018, 27, 948–960. [Google Scholar] [CrossRef]
- Domínguez-Meister, S.; Ibáñez, I.; Dianova, A.; Brizuela, M.; Braceras, I. Nitriding of titanium by hollow cathode assisted active screen plasma and its electro-tribological properties. Surf. Coat. Technol. 2021, 411, 126998. [Google Scholar] [CrossRef]
- Li, Y.; Bi, Y.; Zhang, M.; Zhang, S.; Gao, X.; Zhang, Z.; He, Y. Hollow cathodic plasma source nitriding of AISI 4140 steel. Surf. Eng. 2021, 37, 351–359. [Google Scholar] [CrossRef]
- Shen, H.; Wang, L. Corrosion resistance and electrical conductivity of plasma nitrided titanium. Int. J. Hydrogen Energy 2021, 46, 11084–11091. [Google Scholar] [CrossRef]
- Mohseni, H.; Nandwana, P.; Tsoi, A.; Banerjee, R.; Scharf, T. In situ nitrided titanium alloys: Microstructural evolution during solidification and wear. Acta Mater. 2015, 83, 61–74. [Google Scholar] [CrossRef]
- Li, Y.; Wang, Z.; Shao, M.; Zhang, Z.; Wang, C.; Yan, J.; Lu, J.; Zhang, L.; Xie, B.; He, Y. Characterization and electrochemical behavior of a multilayer-structured Ti–N layer produced by plasma nitriding of electron beam melting TC4 alloy in Hank’s solution. Vacuum 2023, 208, 111737. [Google Scholar] [CrossRef]
- Niu, R.; Li, J.; Wang, Y.; Chen, J.; Xue, Q. Structure and high temperature tribological behavior of TiAlN/nitride duplex treated coatings on Ti6Al4V. Surf. Coat. Technol. 2017, 309, 232–241. [Google Scholar] [CrossRef]
- Zhang, P.; Cheng, Q.; Yi, G.; Wang, W.; Liu, Y. The microstructures and mechanical properties of martensite Ti and TiN phases in a Ti6Al4V laser-assisted nitriding layer. Mater. Charact. 2021, 178, 111262. [Google Scholar] [CrossRef]
- Li, Y.; Wang, L. Study of oxidized layer formed on aluminium alloy by plasma oxidation. Thin Solid Film 2009, 517, 3208–3210. [Google Scholar] [CrossRef]
- McGee, R.C.; She, Y.; Nardi, A.; Goberman, D.; Dardas, Z. Enhancement of Ti-6Al-4V powder surface properties for cold spray deposition using fluidized Gas-Nitriding technique. Mater. Lett. 2021, 290, 129429. [Google Scholar] [CrossRef]
- Morgiel, J.; Szymkiewicz, K.; Tarnowski, M.; Wierzchoń, T. TEM studies of low temperature cathode-plasma nitrided Ti6Al7Nb alloy. Surf. Coat. Technol. 2019, 359, 183–189. [Google Scholar] [CrossRef]
- Fouquet, V.; Pichon, L.; Drouet, M.; Straboni, A. Plasma assisted nitridation of Ti-6Al-4V. Appl. Surf. Sci. 2004, 221, 248–258. [Google Scholar] [CrossRef]
- Czyrska-Filemonowicz, A.; Buffat, P.; Łucki, M.; Moskalewicz, T.; Rakowski, W.; Lekki, J.; Wierzchoń, T. Transmission electron microscopy and atomic force microscopy characterisation of titanium-base alloys nitrided under glow discharge. Acta Mater. 2005, 53, 4367–4377. [Google Scholar] [CrossRef]
- Szymkiewicz, K.; Morgiel, J.; Maj, Ł.; Pomorska, M. (Ti, Al) O2 whiskers grown during glow discharge nitriding of Ti-6Al-7Nb alloy. Materials 2021, 14, 2658. [Google Scholar] [CrossRef]
- Toboła, D.; Morgiel, J.; Maj, Ł. TEM analysis of surface layer of Ti-6Al-4V ELI alloy after slide burnishing and low-temperature gas nitriding. Appl. Surf. Sci. 2020, 515, 145942. [Google Scholar] [CrossRef]
- Szymkiewicz, K.; Morgiel, J.; Maj, Ł.; Pomorska, M.; Tarnowski, M.; Tkachuk, O.; Pohrelyuk, I.; Wierzchoń, T. Effect of nitriding conditions of Ti6Al7Nb on microstructure of TiN surface layer. J. Alloys Compd. 2020, 845, 156320. [Google Scholar] [CrossRef]
- Liu, J.; Suslov, S.; Vellore, A.; Ren, Z.; Amanov, A.; Pyun, Y.-S.; Martini, A.; Dong, Y.; Ye, C. Surface nanocrystallization by ultrasonic nano-crystal surface modification and its effect on gas nitriding of Ti6Al4V alloy. Mater. Sci. Eng. A 2018, 736, 335–343. [Google Scholar] [CrossRef]
- Farokhzadeh, K.; Qian, J.; Edrisy, A. Effect of SPD surface layer on plasma nitriding of Ti–6Al–4V alloy. Mater. Sci. Eng. A 2014, 589, 199–208. [Google Scholar] [CrossRef]
- Lin, L.; Tian, Y.; Yu, W.; Chen, S.; Chen, Y.; Chen, W. Corrosion and hardness characteristics of Ti/TiN-modified Ti6Al4V alloy in marine environment. Ceram. Int. 2022, 48, 34848–34854. [Google Scholar] [CrossRef]
- Gao, C.; Wu, W.; Shi, J.; Xiao, Z.; Akbarzadeh, A. Simultaneous enhancement of strength, ductility, and hardness of TiN/AlSi10Mg nanocomposites via selective laser melting. Addit. Manuf. 2020, 34, 101378. [Google Scholar] [CrossRef]
- Li, Q.; Wei, M.; Yang, J.; Zhao, Z.; Ma, J.; Liu, D.; Lan, Y. Effect of Ca addition on the microstructure, mechanical properties and corrosion rate of degradable Zn-1Mg alloys. J. Alloys Compd. 2021, 887, 161255. [Google Scholar] [CrossRef]
- Karimi, S.; Nickchi, T.; Alfantazi, A. Effects of bovine serum albumin on the corrosion behaviour of AISI 316L, Co–28Cr–6Mo, and Ti–6Al–4V alloys in phosphate buffered saline solutions. Corros. Sci. 2011, 53, 3262–3272. [Google Scholar] [CrossRef]
- Jin, J.; He, Z.; Zhao, X. Formation of a protective TiN layer by liquid phase plasma electrolytic nitridation on Ti–6Al–4V bipolar plates for PEMFC. Int. J. Hydrogen Energy 2020, 45, 12489–12500. [Google Scholar] [CrossRef]
- Zhao, Y.; Wu, C.; Zhou, S.; Yang, J.; Li, W.; Zhang, L.-C. Selective laser melting of Ti-TiN composites: Formation mechanism and corrosion behaviour in H2SO4/HCl mixed solution. J. Alloys Compd. 2021, 863, 158721. [Google Scholar] [CrossRef]
- Liu, C.; Revilla, R.I.; Li, X.; Jiang, Z.; Yang, S.; Cui, Z.; Zhang, D.; Terryn, H.; Li, X. New insights into the mechanism of localised corrosion induced by TiN-containing inclusions in high strength low alloy steel. J. Mater. Sci. Technol. 2022, 124, 141–149. [Google Scholar] [CrossRef]
- Ye, Q.; Li, Y.; Zhang, M.; Zhang, S.; Bi, Y.; Gao, X.; He, Y. Electrochemical behavior of (Cr, W, Al, Ti, Si) N multilayer coating on nitrided AISI 316L steel in natural seawater. Ceram. Int. 2020, 46, 22404–22418. [Google Scholar] [CrossRef]
- Toboła, D.; Morgiel, J.; Maj, Ł.; Pomorska, M.; Wytrwal-Sarna, M. Effect of tribo-layer developed during turning of Ti–6Al–4V ELI alloy on its low-temperature gas nitriding. Appl. Surf. Sci. 2022, 602, 154327. [Google Scholar] [CrossRef]
- Jannat, S.; Rashtchi, H.; Atapour, M.; Golozar, M.A.; Elmkhah, H.; Zhiani, M. Preparation and performance of nanometric Ti/TiN multi-layer physical vapor deposited coating on 316L stainless steel as bipolar plate for proton exchange membrane fuel cells. J. Power Sources 2019, 435, 226818. [Google Scholar] [CrossRef]
- Baltatu, M.S.; Vizureanu, P.; Sandu, A.V.; Florido-Suarez, N.; Saceleanu, M.V.; Mirza-Rosca, J.C. New titanium alloys, promising materials for medical devices. Materials 2021, 14, 5934. [Google Scholar] [CrossRef] [PubMed]
- Movassagh-Alanagh, F.; Mahdavi, M. Improving wear and corrosion resistance of AISI 304 stainless steel by a multilayered nanocomposite Ti/TiN/TiSiN coating. Surf. Interfaces 2020, 18, 100428. [Google Scholar] [CrossRef]
- Weicheng, K.; Zhou, Y.; Jun, H. Electrochemical performance and corrosion mechanism of Cr–DLC coating on nitrided Ti6Al4V alloy by magnetron sputtering. Diam. Relat. Mater. 2021, 116, 108398. [Google Scholar] [CrossRef]
- Wang, H.; Zhang, R.; Yuan, Z.; Shu, X.; Liu, E.; Han, Z. A comparative study of the corrosion performance of titanium (Ti), titanium nitride (TiN), titanium dioxide (TiO2) and nitrogen-doped titanium oxides (N–TiO2), as coatings for biomedical applications. Ceram. Int. 2015, 41, 11844–11851. [Google Scholar] [CrossRef]













| Element | Fe | O | C | N | H | V | Al |
|---|---|---|---|---|---|---|---|
| wt. % | ≤0.25 | ≤0.18 | ≤0.05 | ≤0.05 | ≤0.012 | 3.5–4.5 | 5.5–6.75 |
| Sample | Temperature | Heating Up Time | Holding Time | Mechanical Process |
|---|---|---|---|---|
| Ti6Al4V | - | - | - | grinding + polishing |
| T0 | 510 °C | 45 min | 0 h | - |
| T1 | 510 °C | 45 min | 1 h | - |
| T2 | 510 °C | 45 min | 2 h | - |
| T4 | 510 °C | 45 min | 4 h | - |
| T4-P | 510 °C | 45 min | 4 h | polishing |
| T4-G | 510 °C | 45 min | 4 h | grinding + polishing |
| Icorr (A/cm2) | Ecorr (V) | Corrosion Rate (μm/Year) | |
|---|---|---|---|
| Ti6Al4V | 7.565 × 10−8 | −0.608 | 23.8 |
| T0 | 6.483 × 10−7 | −0.264 | 204 |
| T1 | 4.540 × 10−7 | −0.318 | 143 |
| T2 | 7.454 × 10−8 | −0.319 | 23.4 |
| T4 | 7.645 × 10−8 | −0.320 | 24 |
| T4-P | 4.507 × 10−7 | −0.465 | 142 |
| T4-G | 1.497 × 10−7 | −0.646 | 47 |
| Rs | R1 | CPE1 | R2 | CPE2 | Rct | CPEdl | |
|---|---|---|---|---|---|---|---|
| Ti6Al4V | 91.3 | 1.67 × 106 | 2.76 × 10−5 | ||||
| T0 | 105.6 | 76.2 | 2.43 × 10−5 | 446 | 1.13 × 10−5 | 3.98 × 105 | 4.38 × 10−5 |
| T1 | 101.3 | 57.3 | 3.11 × 10−5 | 635 | 1.17 × 10−5 | 1.07 × 106 | 2.66 × 10−5 |
| T2 | 104 | 320.8 | 4.13 × 10−5 | 12,417 | 5.58 × 10−6 | 8.61 × 106 | 2.59 × 10−5 |
| T4 | 94.5 | 6493.0 | 7.43 × 10−5 | 38,371 | 8.85 × 10−6 | 3.10 × 106 | 7.11 × 10−5 |
| T4-P | 93.0 | 350.9 | 3.00 × 10−5 | 1.03 × 106 | 1.28 × 10−5 | ||
| T4-G | 87.3 | 1805.0 | 3.32 × 10−5 | 1.65 × 106 | 7.62 × 10−5 |
Disclaimer/Publisher’s Note: The statements, opinions and data contained in all publications are solely those of the individual author(s) and contributor(s) and not of MDPI and/or the editor(s). MDPI and/or the editor(s) disclaim responsibility for any injury to people or property resulting from any ideas, methods, instructions or products referred to in the content. |
© 2023 by the authors. Licensee MDPI, Basel, Switzerland. This article is an open access article distributed under the terms and conditions of the Creative Commons Attribution (CC BY) license (https://creativecommons.org/licenses/by/4.0/).
Share and Cite
Zhang, L.; Shao, M.; Zhang, Z.; Yi, X.; Yan, J.; Zhou, Z.; Fang, D.; He, Y.; Li, Y. Corrosion Behavior of Nitrided Layer of Ti6Al4V Titanium Alloy by Hollow Cathodic Plasma Source Nitriding. Materials 2023, 16, 2961. https://doi.org/10.3390/ma16082961
Zhang L, Shao M, Zhang Z, Yi X, Yan J, Zhou Z, Fang D, He Y, Li Y. Corrosion Behavior of Nitrided Layer of Ti6Al4V Titanium Alloy by Hollow Cathodic Plasma Source Nitriding. Materials. 2023; 16(8):2961. https://doi.org/10.3390/ma16082961
Chicago/Turabian StyleZhang, Lei, Minghao Shao, Zhehao Zhang, Xuening Yi, Jiwen Yan, Zelong Zhou, Dazhen Fang, Yongyong He, and Yang Li. 2023. "Corrosion Behavior of Nitrided Layer of Ti6Al4V Titanium Alloy by Hollow Cathodic Plasma Source Nitriding" Materials 16, no. 8: 2961. https://doi.org/10.3390/ma16082961
APA StyleZhang, L., Shao, M., Zhang, Z., Yi, X., Yan, J., Zhou, Z., Fang, D., He, Y., & Li, Y. (2023). Corrosion Behavior of Nitrided Layer of Ti6Al4V Titanium Alloy by Hollow Cathodic Plasma Source Nitriding. Materials, 16(8), 2961. https://doi.org/10.3390/ma16082961

