Heat Transfer Analysis of Warm Guss Asphalt Concrete for Mini-Trench Overlaying
Abstract
1. Introduction
2. Materials and Methods
2.1. Laboratory Testing
2.1.1. Modified Asphalt Binder
2.1.2. Binder Modified by Sasobit
2.1.3. Thermal Conductivity Test
2.2. Heat Transfer Analysis
2.2.1. Finite element Method of Heat Transfer
Heat Conduction Governing Equation
2.2.2. Boundary Conditions
2.3. Composition and Elements of Analytical Model
2.4. Physical Properties of Materials
2.5. Initial and Boundary Conditions
2.5.1. Initial Conditions
2.5.2. Thermal Load Case
2.5.3. Boundary Conditions
2.5.4. Analysis Method
3. Results
3.1. Thermal Conductivity Test Results
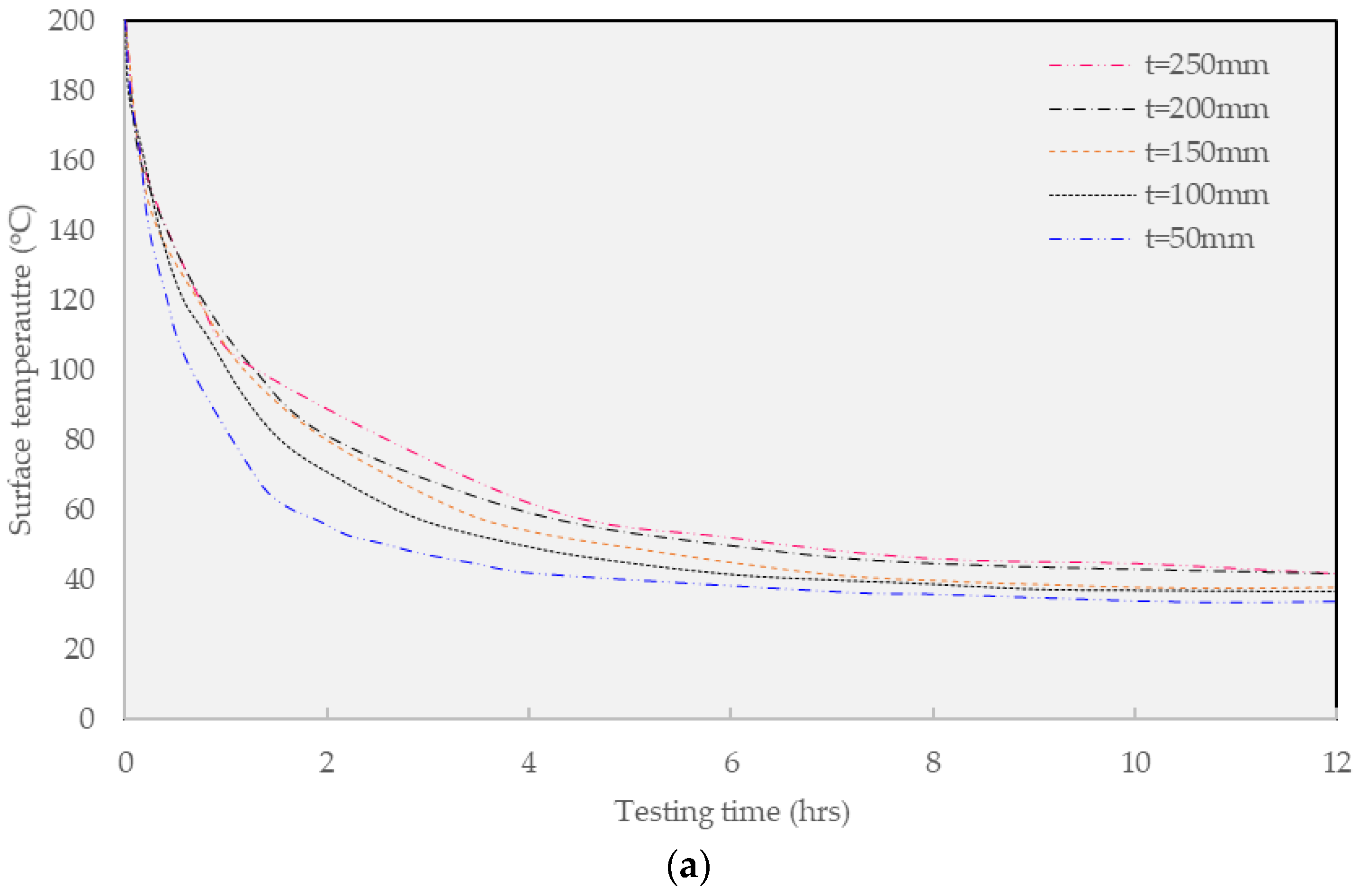
3.2. Overlaying Surface Temperature
3.3. Temperature around Buried Pipes
3.4. Verification of FEM Model
4. Conclusions
- Based on the laboratory test results, the thermal conductivity of the WGA mixture was relatively equivalent to the conventional mixture, and adding a proper content of Sasobit (1%) resulted in a low viscosity for warm application purposes.
- WGA was found to be superior in terms of traffic opening time compared to conventional HGA materials, as it could shorten the opening time from 30 min to 1 h and 25 min.
- The study found that the time required to open traffic increased as the depth of the WGA mixture overlay increased. Therefore, an overlaying depth of 100 mm was deemed reasonable for practical construction purposes, as it is difficult to conduct traffic blocks for more than 4 h at the site.
- The investigation of the minimum cover thickness of the backfill concrete that protects the buried pipe from the heat source from the above 100 mm guss asphalt layer found that WGA could be used to construct thinner backfill concrete surrounding the landfill pipe, resulting in a cost-effective effect. Additionally, it was found that a conventional HGA mixture must be designed with a concrete thickness of 150 mm to achieve proper covering purposes.
- The accuracy of the simulation is supported by the testbed measurement, as both processes exhibit a comparable trend in the reduction of temperature over time. Nevertheless, the temperature in the measured section was slightly higher than that of the simulated work, particularly during the initial two-hour period, potentially due to fluctuations in temperature in the hot climate of southern Vietnam.
- In summary, the study found that the WGA mixture is a viable option for the mini-trench method due to its low production and compaction temperatures and shorter traffic opening time. However, future research is needed to further evaluate the developed WGA mixture for practical construction purposes, and further adjustments are required to refine the simulation’s thermal regulation capabilities in the field.
Author Contributions
Funding
Institutional Review Board Statement
Informed Consent Statement
Data Availability Statement
Acknowledgments
Conflicts of Interest
References
- Gao, L.; Liu, Y.; Xie, J.; Yang, Z. Cooling Performance and Thermal Radiation Model of Asphalt Mixture with Modified Infrared Powder. Materials 2021, 14, 245. [Google Scholar] [CrossRef]
- Sun, W.; Li, Y.; Zhao, W. A Novel Composite Thermal Insulation System for Concrete Bridge Box Girder and Its Influence. Case Stud. Therm. Eng. 2022, 38, 102130. [Google Scholar] [CrossRef]
- Wei, D.; Du, C.; Lin, Y.; Chang, B. Impact Factors of Hydration Heat of Cemented Tailings Backfill Based on Multi-Index Optimization. Case Stud. Therm. Eng. 2020, 18, 100601. [Google Scholar] [CrossRef]
- Klimenta, D.; Panić, M.; Klimenta, J.; Stojanović, M. FEM-Based Arrhenius Modeling of the Thermal Effects of a Heating Pipeline and Pavements on Underground Power Cables. Energy Rep. 2022, 8, 183–191. [Google Scholar] [CrossRef]
- KICT 2020-042; Development of Technologies and Management Method of Trenching about Aerial Utility Cables for Urban Regeneration. Korea Institute of Civil Engineering and Building Technology: Goyang-si, Republic of Korea, 2020.
- Chen, J.S.; Liao, M.C.; Huang, C.C. Evaluation of Guss Asphalt Applied to Steel Deck Surfacing. In Transportation and Development Institute Congress 2011: Integrated Transportation and Development for a Better Tomorrow; ASCE: Reston, VA, USA, 2011; pp. 462–471. [Google Scholar] [CrossRef]
- Park, T.S.; Cho, D.M. A Study on the Evaluation of Physical Perperties of the Guss Mastic Asphalt Mixture with the Polymer Modifiers. Int. J. Highw. Eng. 2021, 23, 83–90. [Google Scholar] [CrossRef]
- Feng, D.; Wang, D.; Shao, L. Research on the Asphalt Mortar’s Mechanical Performance of the Guss Asphalt Concrete. In Proceedings of the Eighth International Conference of Chinese Logistics and Transportation Professionals (ICCLTP), Chengdu, China, 8–10 October 2008; pp. 4754–4761. [Google Scholar] [CrossRef]
- Jin, J.H. A Study on the Characteristics of Low Carbon Mastic (Guss) Asphalt Concrete Pavement with a 20 °C Lower Transportation and Paving Temperature. J. Korean Asph. Inst. 2021, 11, 224–233. [Google Scholar]
- Xu, X.; Yang, X.; Huang, W.; Xiang, H.; Yang, W. New Damage Evolution Law for Steel-Asphalt Concrete Composite Pavement Considering Wheel Load and Temperature Variation. Materials 2019, 12, 3723. [Google Scholar] [CrossRef]
- Xiao, Z.; Huang, W.; Wu, K.; Nie, G.; Hassan, H.M.Z.; Hu, B. An Experimental Study on Properties of Pre-Coated Aggregates Grouting Asphalt Concrete for Bridge Deck Pavement. Materials 2021, 14, 5323. [Google Scholar] [CrossRef]
- Renken, P.; Büchler, S.; Falchetto, A.C.; Wang, D.; Wistuba, M.P. Warm Mix Asphalt-a German Case Study. Asph. Paving Technol. 2018, 87, 685–714. [Google Scholar] [CrossRef]
- Huang, W.; Sun, M.; Qin, Y. The Influence of the Warm-Mixed Agent on the Performance of Gussasphalt after Superheated Aging. IOP Conf. Ser. Earth Environ. Sci. 2019, 340, 052128. [Google Scholar] [CrossRef]
- Li, T.; Jin, Q.; Jiang, P.; Sun, H.; Ding, Y.; Yan, Z.; Shi, N. Performance Optimization of Modified Gussasphalt Binder Prepared Using Natural Asphalt. Front. Mater. 2022, 9, 840380. [Google Scholar] [CrossRef]
- Butt, A.A. Low Temperature Performance of Wax Modified Mastic Asphalt. Master’s Thesis, Royal Institute of Technology, Stockholm, Sweden, 2009. [Google Scholar]
- Liu, G.; Qian, Z.; Yang, D.; Liu, Y.; Yin, Y. Investigation of Asphalt Concrete Used as the Ballastless Track Substructure in Long-Span Railway Bridges. Case Stud. Constr. Mater. 2022, 17, e01396. [Google Scholar] [CrossRef]
- Amirbayev, Y.; Yelshibayev, A.; Nugmanova, A. Characterization of Asphalt Bitumens and Asphalt Concretes Modified with Carbon Powder. Case Stud. Constr. Mater. 2022, 17, e01554. [Google Scholar] [CrossRef]
- Noroozi, A.G.; Ajalloeian, R.; Bayat, M. Effect of FTC on the Interface between Soil Materials and Asphalt Concrete Using a Direct Shear Test. Case Stud. Constr. Mater. 2022, 17, e01632. [Google Scholar] [CrossRef]
- MOLIT Guide for Asphalt Mixture Production and Construction. Ministry of Land, Infrastructure and Transport. 2015. Available online: https://www.law.go.kr/LSW/eng/engLsSc.do?menuId=1&query=ROAD+ACT&y=23&x=37 (accessed on 15 February 2023).
- Song, S.; Liang, M.; Wang, L.; Li, D.; Guo, M.; Yan, L.; Zhang, X.; Ding, W. Effects of Different Natural Factors on Rheological Properties of SBS Modified Asphalt. Materials 2022, 15, 5628. [Google Scholar] [CrossRef] [PubMed]
- Wang, C.; Chen, Q.; Fu, H.; Chen, J. Heat Conduction Effect of Steel Bridge Deck with Conductive Gussasphalt Concrete Pavement. Constr. Build. Mater. 2018, 172, 422–432. [Google Scholar] [CrossRef]
- Pan, P.; Wu, S.; Hu, X.; Liu, G.; Li, B. Effect of Material Composition and Environmental Condition on Thermal Characteristics of Conductive Asphalt Concrete. Materials 2017, 10, 218. [Google Scholar] [CrossRef]
- Dinh, B.H.; Park, D.W.; Le, T.H.M. Effect of Rejuvenators on the Crack Healing Performance of Recycled Asphalt Pavement by Induction Heating. Constr. Build. Mater. 2018, 164, 246–254. [Google Scholar] [CrossRef]
- ISO-22007-2; Determination of Thermal Conductivity and Thermal Diffusivity—Part 2: Transient Plane Heat Source (Hot Disc) Method. International Organization for Standardization: Geneva, Switzerland, 2015.
- Liu, P.; Kong, X.; Du, C.; Wang, C.; Wang, D.; Oeser, M. Numerical Investigation of the Temperature Field Effect on the Mechanical Responses of Conventional and Cool Pavements. Materials 2022, 15, 6813. [Google Scholar] [CrossRef]
- Wang, H.; Zhang, Y.; Zhang, Y.; Feng, S.; Lu, G.; Cao, L. Laboratory and Numerical Investigation of Microwave Heating Properties of Asphalt Mixture. Materials 2019, 12, 146. [Google Scholar] [CrossRef]
- Klimczak, M.; Cecot, W. Higher Order Multiscale Finite Element Method for Heat Transfer Modeling. Materials 2021, 14, 3827. [Google Scholar] [CrossRef]
- KS C 8454; Pliable Plastics Conduits, Korea Standard. Korea Standard Association: Seoul, Republic of Korea, 2021.
- Dinh, B.H.; Kim, Y.S.; Kang, G.O. Thermal Conductivity of Steelmaking Slag-Based Controlled Low-Strength Materials over Entire Range of Degree of Saturation: A Study for Ground Source Heat Pump Systems. Geothermics 2020, 88, 101910. [Google Scholar] [CrossRef]
- Lee, S.H.; Vo, H.V.; Park, D.W. Investigation of Asphalt Track Behavior under Cyclic Loading: Full-Scale Testing and Numerical Simulation. J. Test. Eval. 2018, 46, 934–942. [Google Scholar] [CrossRef]
- Luca, J.; Mrawira, D. New Measurement of Thermal Properties of Superpave Asphalt Concrete. J. Mater. Civ. Eng. 2005, 17, 72–79. [Google Scholar] [CrossRef]
- Côté, J.; Konrad, J.M. Thermal Conductivity of Base-Course Materials. Can. Geotech. J. 2005, 42, 61–78. [Google Scholar] [CrossRef]
- Ižvolt, L.; Dobeš, P.; Pitoňák, M. Some Experience and Preliminary Conclusions from the Experimental Monitoring of the Temperature Regime of a Subgrade Structure. WIT Trans. Built Environ. 2014, 135, 267–278. [Google Scholar] [CrossRef]
- Ižvolt, L.; Dobeš, P. Test Procedure Impact for the Values of Specific Heat Capacity and Thermal Conductivity Coefficient. Procedia Eng. 2014, 91, 453–458. [Google Scholar] [CrossRef]
- Xu, X.; Zhang, W.; Fan, C.; Li, G. Effects of Temperature, Dry Density and Water Content on the Thermal Conductivity of Genhe Silty Clay. Results Phys. 2020, 16, 102830. [Google Scholar] [CrossRef]
- Kay, B.D.; Goit, J.B. Temperature-Dependent Specific Heats of Dry Soil Materials. Can. Geotech. J. 1975, 12, 209–212. [Google Scholar] [CrossRef]
- ACI-122R-02 Guide to Thermal Properties of Concrete and Masonry Systems. 2002. Available online: https://www.academia.edu/24030350/ACI_122R_02_Guide_to_Thermal_Properties_of_Concrete_and_Masonry_Systems (accessed on 15 February 2023).
- Branco, F.A.; Mendes, P.A.; Mirambell, E. Heat of Hydration Effects in Concrete Structures. ACI Mater. J. 1992, 89, 139–145. [Google Scholar] [CrossRef]
- Dinh, B.H.; Go, G.H.; Kim, Y.S. Performance of a Horizontal Heat Exchanger for Ground Heat Pump System: Effects of Groundwater Level Drop with Soil–Water Thermal Characteristics. Appl. Therm. Eng. 2021, 195, 117203. [Google Scholar] [CrossRef]














| Properties | Value | Standard Value |
|---|---|---|
| Penetration (1/10 mm) 25 °C | 87.2 | |
| Softening point (°C) | 68.6 | |
| Ductility at 5 °C (cm/min) | 105 | |
| Thin film oven (160 °C, 300 min) | ||
| Mass loss (%) | 0.05 | |
| Penetration loss | 72 | |
| G*/sinδ; at 76 °C (Original) | 1.72 kPa | Min. 1.0 kPa |
| G*/sinδ at 76 °C (after RTFO) | 2.41 kPa | Min. 2.2 kPa |
| G* × sinδ at 76 °C (after PAV) | 1527 kPa | Max. 5000 kPa |
| Stiffness at −22 °C | 186 MPa | Max. 300 MPa |
| m-value at −22 °C | 0.32 | Min. 0.3 |
| Properties | Properties | Value |
|---|---|---|
| Aggregate | Relative apparent density | 2.67 |
| Water absorption | 0.18% | |
| Aggregate crushed value | 19.5% | |
| Los Angeles abrasion value | 25.8% | |
| Flakiness and elongation index | 12.5% | |
| Mineral Filler | Relative apparent density | 2.36 |
| Moisture content | 0.09% |
| Sieve size (mm) | 16 | 13.2 | 9.5 | 4.75 | 2.36 | 1.18 | 0.6 | 0.3 | 0.15 | 0.075 |
| Gradation (%) | 100 | 100 | 97.6 | 62.5 | 9.1 | 5.1 | 3.3 | 2.7 | 2.0 | 0.8 |
| Properties | Result Value | Standard Value |
|---|---|---|
| Stability (N) | 11,789 | ≥5000 |
| Flow value (1/100 cm) | 29 | 20~40 |
| Warm Case | Content | Hot-Case | Content |
|---|---|---|---|
| 50 mm–160 °C | Warm Guss mastic asphalt concrete & a depth of 50 mm | 50 mm–200 °C | Hot Guss mastic asphalt concrete & a depth of 50 mm |
| 100 mm–160 °C | Warm Guss mastic asphalt concrete & a depth of 100 mm | 100 mm–200 °C | Hot Guss mastic asphalt concrete & a depth of 100 mm |
| 150 mm–160 °C | Warm Guss mastic asphalt concrete & a depth of 150 mm | 150 mm–200 °C | Hot Guss mastic asphalt concrete & a depth of 150 mm |
| 200 mm–160 °C | Warm Guss mastic asphalt concrete & a depth of 200 mm | 200 mm–200 °C | Hot Guss mastic asphalt concrete & a depth of 200 mm |
| 250 mm–160 °C | Warm Guss mastic asphalt concrete & a depth of 250 mm | 250 mm–200 °C | Hot Guss mastic asphalt concrete & a depth of 250 mm |
| Material | Properties | Value | Reference |
|---|---|---|---|
| Asphalt layer & Guss Mastic overlaying | Density, kg/m3 | 2373 | Laboratory experiment results (Section 3.1) and Luca and Mrawira (2005) [31] |
| Thermal Conductivity, W/mK | 1872 | ||
| Specific heat, J/kgK | 1664 | ||
| Subgrade | Density, kg/m3 | 1975 | Côté et al. (2005) [32] Ižvolt et al. (2014) [33,34] |
| Thermal Conductivity, W/mK | 2.5 | ||
| Specific heat, J/kgK | 1005 | ||
| Subbase | Density, kg/m3 | 1898 | Kay et al. (1975) [36] Xu et al.(2020) [35] |
| Thermal Conductivity, W/mK | 1.5 | ||
| Specific heat, J/kgK | 1422 | ||
| Concrete backfills | Density, kg/m3 | 2300 | ACI-122R-02 [37] |
| Thermal Conductivity, W/mK | 1.6 | ||
| Specific heat, J/kgK | 963 | ||
| PVC | Density, kg/m3 | 1380 | |
| Thermal Conductivity, W/mK | 0.2 | ||
| Specific heat, J/kgK | 880 |
| Type | Min. Temp. for Storage and Transportation | Min. Temp. for Installation and Operation | Range of Operating Temp. |
|---|---|---|---|
| 1 | −5 °C | −5 °C | −5 °C~60 °C |
| 2 | −25 °C | −25 °C | −15 °C~60 °C |
| Overlaying Depth | Traffic Opening Time | |||
|---|---|---|---|---|
| Warm Mix Guss Mastic Asphalt | Hot Mix Guss Mastic Asphalt | |||
| 40 °C | 50 °C | 40 °C | 50 °C | |
| 50 mm | 4 h | 2 h | 4 h 40 min | 2 h 30 min |
| 100 mm | 6 h | 3 h 15 min | 7h | 4 h |
| 150 mm | 7 h 45 min | 4 h 5 min | 8 h 40 min | 4 h 40 min |
| 200 mm | 9 h | 4 h 55 min | 10 h | 6 h |
| 250 mm | 10 h 35 min | 5 h 15 min | 12 h 45 min | 6 h 40 min |
| Concrete Cover | Warm Mix Guss Mastic Asphalt | Hot Mix Guss Mastic Asphalt | ||
|---|---|---|---|---|
| Max. Temp. (°C) | Operation Limit | Max. Temp. (°C) | Operation Limit | |
| 250 mm | 38.3 | Lower | 39.6 | Lower |
| 200 mm | 42.4 | Lower | 44.5 | Lower |
| 150 mm | 48.0 | Lower | 51.9 | Lower |
| 100 mm | 57.1 | Lower | 64.1 | Higher |
| 50 mm | 76.8 | Higher | 94.8 | Higher |
Disclaimer/Publisher’s Note: The statements, opinions and data contained in all publications are solely those of the individual author(s) and contributor(s) and not of MDPI and/or the editor(s). MDPI and/or the editor(s) disclaim responsibility for any injury to people or property resulting from any ideas, methods, instructions or products referred to in the content. |
© 2023 by the authors. Licensee MDPI, Basel, Switzerland. This article is an open access article distributed under the terms and conditions of the Creative Commons Attribution (CC BY) license (https://creativecommons.org/licenses/by/4.0/).
Share and Cite
Kim, K.-N.; Kim, Y.-M.; Lee, S.-Y.; Le, T.H.M. Heat Transfer Analysis of Warm Guss Asphalt Concrete for Mini-Trench Overlaying. Materials 2023, 16, 2808. https://doi.org/10.3390/ma16072808
Kim K-N, Kim Y-M, Lee S-Y, Le THM. Heat Transfer Analysis of Warm Guss Asphalt Concrete for Mini-Trench Overlaying. Materials. 2023; 16(7):2808. https://doi.org/10.3390/ma16072808
Chicago/Turabian StyleKim, Kyung-Nam, Yeong-Min Kim, Sang-Yum Lee, and Tri Ho Minh Le. 2023. "Heat Transfer Analysis of Warm Guss Asphalt Concrete for Mini-Trench Overlaying" Materials 16, no. 7: 2808. https://doi.org/10.3390/ma16072808
APA StyleKim, K.-N., Kim, Y.-M., Lee, S.-Y., & Le, T. H. M. (2023). Heat Transfer Analysis of Warm Guss Asphalt Concrete for Mini-Trench Overlaying. Materials, 16(7), 2808. https://doi.org/10.3390/ma16072808

